簡介
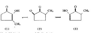
甲基環戊烯醇酮三種異構體甲基環戊烯醇酮(簡稱MCP),學名2一羥基3甲一環戊烯一2一酮一1.分子式CHO,其結構式有3種互變異構體,其中結構式(1)更具代表性。
MCP是一種天然物質。存在於槭樹、掬術(山毛舉科)、菸草和焙烤的咖啡中。l912年.Meyerfeld首先從掬術乾餾得到的焦木酸中分離出來,後經鑑定是3一甲基環戊二酮[1,2]。在通常情況下可以發生互變異構形成甲基環戊烯醇酮。
由於MCP的結構具有雙功能團的作用,分子內有一個給質子基團(OH)和一個接收質子的基團(-O),且兩基團中心距離小於3×10m,能形成氫鍵,引起電子振動.致使MCP能提高人的味覺和嗅覺細胞對香氣的敏感性,這就是所謂的梅拉德效應。因此,不但MCP本身具有一種令人愉快的甜香氣味,而且對食品和菸草等產品具有良好的增香效果。
性質
物理性質
外觀:白色粉狀結晶。
感官特性:堅果樣甜香味,具有槭樹或獨活草似氣味。在稀釋溶液時呈槭糖一樣的甘草風味。味甘且回香,有韻味,令人愉快和興奮。
熔點:104~108℃
溶解性:能溶於沸水、乙醇、丙酮、苯丙醇、乙二醇、丙三醇和氯仿中,微溶於乙醚。能升華,常壓蒸餾會分解。
化學性質
氧化性:長期裸露在空氣中,則逐漸變黃,用適當的溶劑進行重結晶,可以除去黃色。但即使被氧化發黃,也不影響其套用效果。
化學反應:由於MCP兼具羰基和羥基兩種基團的環烯烴.所以它具有烯烴、羰基和羥基化台物的多重化學性質,遇三氧化鐵形成絡合物顯藍紫色,能參與酯化、加成、取代和開環反應,容易發生烯醇式互變異構。
製備
甲基環戊烯醇酮合成此種甜味劑,截至21世紀初,國外已有近20種方法.但有工業化價值的只有異戊二烯法、草酸酯法和5甲基糠醇法等。
中國一般採用由戊二酸二乙酯和草酸二乙酯經克萊遜縮合、甲基化和脫羧反應製得:
己二酸二酯在鹼性催化劑如醇鈉、氫化鈉等存在下,先發生馱克曼(Dieckman)耦合,環化為2一乙酯基環戊酮,然後與甲基化試劑卣代烷如碘代甲烷、溴代甲烷或氯甲烷發生取代反應,生成2一甲基一2一甲酯基一環戊酮。將所得中間體取代環戊酮純化後,與氯氣進行氧氯化反應,生成5,5-二氯一2甲基一2一甲酯基環戊酮,最後經酸性水解脫羧,可得目的產物MCP。
套用
MCP的感官性能好,廣泛套用於糕點、飲料、糖果、菸草、牙膏及醫藥行業,特別是對咖啡型食品和菸草的增香和定香作用尤為顯著。中國《食品添加劑衛生標準》(GB2760-2003)規定為允許使用的食用香料。在做食品添加劑用途時,執行標準為《食品添加劑甲基環戊烯醇酮》(QB/T2641-2004)。
一般在生產後期加入,單獨溶解成稀釋溶液或溶於其他香精加入食品中使用。
還可以用於洗滌劑、化妝品等產品中。
安全性
危險性質:毒性GRAS(FEMA)。
半數致死量(LD50):1400mg/kg(鴿子,經口)。
使用限量(mg/kg):軟飲料11;冷飲5.6;糖果18;焙烤食品13;布丁類14;膠姆糖8.0~15;糖漿10。即每公斤食物的允許添加甲基環戊烯醇酮的上限為5-18mg。
安全信息:RTECS號GY7298000
海關編碼:29144090
儲存
貯存:避光密封,應貯存於陰涼、乾燥、通風的倉庫內,避免雜氣污染,遠離火源。
包裝規格:內襯聚乙烯塑膠袋。
相關事件
2012年5月,江蘇媒體曝光南京市場上有商家出售一種名為“肉寶王”的紅燒肉添加劑,這種添加劑在紅燒肉中使用,會使肉味更香,讓人越吃越上癮。南京工商部門對“肉寶王”進行了詳查後發現,其成分中含有甲基環戊烯醇酮等成分,南京食品安全委員會辦公室稱,產品檢驗報告表明,該添加劑符合輕工行業標準(QB/T2640-2004)。
盤點食物中添加的人造香精
| 現代食品工業在追求食品更長的保存時間和更低成本的過程中會使食品自身的風味大大損失,為了讓食品更加可口,人們開發出了形形色色的香精來彌補食品的缺陷。 |

