積分
分劃的參數趨於零時的極限,叫做這個函式在這個閉區間上的定積分。
不定積分(Indefinite integral)即已知導數求原函式。若F′(x)=f(x),那么[F(x)+C]′=f(x).(C∈R).也就是說,把f(x)積分,不一定能得到F(x),因為F(x)+C的導數也是f(x)(C是任意常數)。所以f(x)積分的結果有無數個,是不確定的。我們一律用F(x)+C代替,這就稱為不定積分。即如果一個導數有原函式,那么它就有無限多個原函式。
定積分 (definite integral)定積分就是求函式f(X)在區間[a,b]中圖線下包圍的面積。即由y=0,x=a,x=b,y=f(X)所圍成圖形的面積。這個圖形稱為曲邊梯形,特例是曲邊三角形。
概念
定積分其中:a叫做積分下限,b叫做積分上限,區間[a,b]叫做積分區間,函式f(x)叫做被積函式,x叫做積分變數,f(x)dx叫做被積表達式,∫叫做積分號。
之所以稱其為定積分,是因為它積分後得出的值是確定的,是一個數,而不是一個函式。
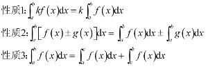
基本性質
定積分②:代數和的積分等於積分的代數和。
③:定積分的可加性:如果積分區間[a,b]被c分為兩個子區間[a,c]與(c,b]則有(見右圖)
④Risch算法
⑤如果在區間[a,b]上,f(x)≥0,則∫_a^b(f(x)dx)≥0
公式
牛頓—萊布尼茨公式定積分與不定積分看起來風馬牛不相及,但是由於一個數學上重要的理論的支撐,使得它們有了本質的密切關係。把一個圖形無限細分再累加,這似乎是不可能的事情,但是由於這個理論,可以轉化為計算積分。這個重要理論就是大名鼎鼎的牛頓-萊布尼茲公式,它的內容是:
如果f(x)是[a,b]上的連續函式,並且有F′(x)=f(x),那么
公式用文字表述為:一個定積分式的值,就是原函式在上限的值與原函式在下限的值的差。
正因為這個理論,揭示了積分與黎曼積分本質的聯繫,可見其在微積分學以至更高等的數學上的重要地位,因此,牛頓-萊布尼茲公式也被稱作微積分基本定理。
黎曼積分
定積分的正式名稱是黎曼積分。用黎曼自己的話來說,就是把直角坐標繫上的函式的圖象用平行於y軸的直線把其分割成無數個矩形,然後把某個區間[a,b]上的矩形累加起來,所得到的就是這個函式的圖象在區間[a,b]的面積。實際上,定積分的上下限就是區間的兩個端點a,b.
我們可以看到,定積分的本質是把圖象無限細分,再累加起來,而積分的本質是求一個函式的原函式。它們看起來沒有任何的聯繫,那么為什麼定積分要寫成積分的形式呢?
分點問題
定積分是把函式在某個區間上的圖象[a,b]分成n份,用平行於y軸的直線把其分割成無數個矩形,再求當n→+∞時所有這些矩形面積的和。習慣上,我們用等差級數分點,即相鄰兩端點的間距Δx是相等的。但是必須指出,即使Δx不相等,積分值仍然相同。我們假設這些“矩形面積和”S=f(x1)Δx1+f(x2)Δx2+……f[x(n-1)]Δx(n-1),那么當n→+∞時,Δx的最大值趨於0,所以所有的Δx趨於0,所以S仍然趨於積分值.
換元法與分部積分法
定積分的換元法
設函式f(x)在區間[a,b]上連續;函式g(t)在區間[m,n]上是單值的且有連續導數;當t在區間[m,n]上變化時,x=g(t)的值在[a,b]上變化,且g(m)=a,g(n)=b;則有定積分的換元公式:
定積分定積分的分部積分法
設u(x)、v(x)在區間[a,b]上具有連續導數u'(x)、v'(x),則有(uv)'=u'v+uv',分別求此等式兩端在[a,b]上的定積分,並移向得:
定積分上式即為定積分的分部積分公式。
套用
1,解決求曲邊圖形的面積問題
例:求由拋物線y²=4x與直線y=2x-4圍成的平面圖形D的面積S.
2,求變速直線運動的路程
做變速直線運動的物體經過的路程s,等於其速度函式v=v(t)(v(t)≥0)在時間區間[a,b]上的定積分。
3,變力做功
某物體在變力F=F(x)的作用下,在位移區間[a,b]上做的功等於F=F(x)在[a,b]上的定積分。
定理.
定理1:設f(x)在區間[a,b]上連續,則f(x)在[a,b]上可積。
定理2:設f(x)區間[a,b]上有界,且只有有限個間斷點,則f(x)在[a,b]上可積。
定理3:設f(x)在區間[a,b]上單調,則f(x)在[a,b]上可積。
經濟套用數學
| 經濟套用數學是高等學校財經類專業的必學內容。此任務主要對微積分的基本知識進行概述講解。提供給剛入門此專業的學生。希望對他們有所幫助。 |
盤點高中數學名詞
| 高中是大學的過渡階段,學好高中數學,才能為學好大學數學打好基礎,那我們盤點下高中數學中有哪些名詞吧。 |

