簡介
標準差為非負數值,與測量資料具有相同單位。一個總量的標準差或一個隨機變數的標準差,及一個子集合樣品數的標準差之間,有所差別。
標準計算公式:
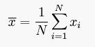
假設有一組數值X1,X2,X3,......XN(皆為實數),其平均值為μ,公式如圖1。
標準差也被稱為標準偏差,或者實驗標準差
簡單來說,標準差是一組數據平均值分散程度的一種度量。一個較大的標準差,代表大部分數值和其平均值之間差異較大;一個較小的標準差,代表這些數值較接近平均值。
例如,兩組數的集合{0,5,9,14}和{5,6,8,9}其平均值都是7,但第二個集合具有較小的標準差。
標準差可以當作不確定性的一種測量。例如在物理科學中,做重複性測量時,測量數值集合的標準差代表這些測量的精確度。當要決定測量值是否符合預測值,測量值的標準差占有決定性重要角色:如果測量平均值與預測值相差太遠(同時與標準差數值做比較),則認為測量值與預測值互相矛盾。這很容易理解,因為如果測量值都落在一定數值範圍之外,可以合理推論預測值是否正確。
標準差套用於投資上,可作為量度回報穩定性的指標。標準差數值越大,代表回報遠離過去平均數值,回報較不穩定故風險越高。相反,標準差數值越小,代表回報較為穩定,風險亦較小。
例如,A、B兩組各有6位學生參加同一次語文測驗,A組的分數為95、85、75、65、55、45,B組的分數為73、72、71、69、68、67。這兩組的平均數都是70,但A組的標準差為18.71分,B組的標準差為2.37分(此數據是在R統計軟體中運行獲得),說明A組學生之間的差距要比B組學生之間的差距大得多。
如是總體(即估算總體方差),根號內除以n(對應excel函式:STDEVP);
如是抽樣(即估算樣本方差),根號內除以(n-1)(對應excel函式:STDEV);
因為我們大量接觸的是樣本,所以普遍使用根號內除以(n-1)。
公式意義
所有數減去其平均值的平方和,所得結果除以該組數之個數(或個數減一,即變異數),再把所得值開根號,所得之數就是這組數據的標準差。深藍區域是距平均值小於一個標準差之內的數值範圍。在常態分配中,此範圍所占比率為全部數值之68%。根據常態分配,兩個標準差之內(深藍,藍)的比率合起來為95%。根據常態分配,正負三個標準差之內(深藍,藍,淺藍)的比率合起來為99%。
計算公式
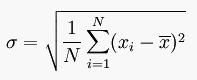
假設有一組數值 x1, ..., xN (皆為實數),其平均值為:
此組數值的標準差為:

計算公式
一隨機變數X 的標準差定義為:

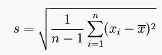
須注意並非所有隨機變數都具有標準差,因為有些隨機變數不存在期望值。 如果隨機變數 X 為 x1,...,xN 具有相同機率,則可用上述公式計算標準差。從一大組數值當中取出一樣本數值組合 x1,...,xn ,常定義其樣本標準差:

函式
Excel中有STDEV、STDEVP;STDEVA,STDEVPA四個函式,分別表示樣本標準差、總體標準差;包含邏輯值運算的樣本標準差、包含邏輯值運算的總體標準差(excel用的是“標準偏差”字樣)。在計算方法上的差異是:樣本標準差^2=(樣本方差/(數據個數-1));總體標準差^2=(總體方差/(數據個數))。
函式的excel分解:
⑴stdev()函式可以分解為(假設樣本數據為A1:E10這樣一個矩陣):
stdev(A1:E10)=sqrt(DEVSQ(A1:E10)/(COUNT(A1:E10)-1))
⑵stdevp()函式可以分解為(假設總體數據為A1:E10這樣一個矩陣):
stdev(A1:E10)=sqrt(DEVSQ(A1:E10)/(COUNT(A1:E10)))
同樣的道理stdeva()與stdevpa()也有同樣的分解方法。
外匯術語
標準差指統計上用於衡量一組數值中某一數值與其平均值差異程度的指標。標準差被用來評估價格可能的變化或波動程度。標準差越大,價格波動的範圍就越廣,股票等金融工具表現的波動就越大。在excel中調用函式
“STDEV“
估算樣本的標準偏差。標準偏差反映相對於平均值(mean)的離散程度。
離散度
標準差標準差是反應一組數據離散程度最常用的一種量化形式,是表示精密確的最要指標。說起標準差首先得搞清楚它出現的目 的。我們使用方法去檢測它,但檢測方法總是有誤差的,所以檢測值並不是其真實值。檢測值與真實值之間的差距就是評價檢測方法最有決定性的指標。但是真實值 是多少,不得而知。因此怎樣量化檢測方法的準確性就成了難題。這也是臨床工作質控的目的:保證每批實驗結果的準確可靠。
雖然樣本的真實值是不可能知道的,但是每個樣本總是會有一個真實值的,不管它究竟是多少。可以想像,一個好的檢測方法,基檢測值應該很緊密的分散在真實值周圍。如何不緊密,那距真實值的就會大,準確性當然也就不好了,不可能想像離散度大的方法,會測出準確的結果。因此,離散度是評價方法的好壞的 最重要也是最基本的指標。
一組數據怎樣去評價和量化它的離散度呢?人們使用了很多種方法:
1.極差 最直接也是最簡單的方法,即最大值-最小值(也就是極差)來評價一組數據的離散度。這一方法在日常生活中最為常見,比如比賽中去掉最高最低分就是極差的具體套用。
2.離均差的平方和 由於誤差的不可控性,因此只由兩個數據來評判一組數據是不科學的。所以人們在要求更高的領域不使用極差來評判。其實,離散度就是數據偏離平均值的程度。因此將數據與均值之差(我們叫它離均差)加起來就能反映出一個準確的離散程度。和越大離散度也就越大。
但是由於偶然誤差是成常態分配的,離均差有正有負,對於大樣本離均差的代數和為零的。為了避免正負問題,在數學有上有兩種方法:一種是取絕對 值,也就是常說的離均差絕對值之和。而為了避免符號問題,數學上最常用的是另一種方法--平方,這樣就都成了非負數。因此,離均差的平方和成了評價離散度 一個指標。
3.方差(S2) 由於離均差的平方和與樣本個數有關,只能反應相同樣本的離散度,而實際工作中做比較很難做到相同的樣本,因此為了消除樣本個數的影響,增加可比性,將標準差求平均值,這就是我們所說的方差成了評價離散度的較好指標。
我們知道,樣本量越大越能反映真實的情況,而算數均值卻完全忽略了這個問題,對此統計學上早有考慮,在統計學中樣本的均差多是除以自由度(n-1),它是意思是樣本能自由選擇的程度。當選到只剩一個時,它不可能再有自由了,所以自由度是n-1。
4.標準差(SD) 由於方差是數據的平方,與檢測值本身相差太大,人們難以直觀的衡量,所以常用方差開根號換算回來這就是我們要說的標準差。
在統計學中樣本的均差多是除以自由度(n-1),它是意思是樣本能自由選擇的程度。當選到只剩一個時,它不可能再有自由了,所以自由度是n-1。
5.變異係數(CV) 標準差能很客觀準確的反映一組數據的離散程度,但是對於不同的檢目,或同一項目不同的樣本,標準差就缺乏可比性了,因此對於方法學評價來說又引入了變異係數CV。
與平均值的關係
標準差與平均值的關係
一組數據的平均值及標準差常常同時做為參考的依據。在直覺上,如果數值的中心以平均值來考慮,則標準差為統計分布之一"自然"的測量。較確切的敘述為:假設x1,...,xn為實數,定義其公式
使用微積分,不難算出σ(r)在下面情況下具有唯一最小值。
套用舉例
標準差是方差的算術平方根。
標準差能反映一個數據集的離散程度。平均數相同的,標準差未必相同。
例如,A、B兩組各有6位學生參加同一次語文測驗,A組的分數為95、85、75、65、55、45,B組的分數為73、72、71、69、68、67。這兩組的平均數都是70,但A組的標準差為17.08分,B組的標準差為2.16分,說明A組學生之間的差距要比B組學生之間的差距大得多。
與標準偏差區別
標準偏差與標準差的區別標準差(Standard Deviation)各數據偏離平均數的距離(離均差)的平均數,它是離差平方和平均後的方根。用σ表示。因此,標準差也是一種平均數。標準差是方差的算術平方根。
標準差能反映一個數據集的離散程度。平均數相同的,標準差未必相同。
例如,A、B兩組各有6位學生參加同一次語文測驗,A組的分數為95、85、75、65、55、45,B組的分數為73、72、71、69、68、67。這兩組的平均數都是70,但A組的標準差為17.08分,B組的標準差為2.16分,說明A組學生之間的差距要比B組學生之間的差距大得多。
標準偏差(Std Dev,Standard Deviation) - 統計學名詞。一種量度數據分布的分散程度之標準,用以衡量數據值偏離算術平均值的程度。標準偏差越小,這些值偏離平均值就越少,反之亦然。標準偏差的大小可通過標準偏差與平均值的倍率關係來衡量。
套用實例
選基金
在投資基金上,一般人比較重視的是業績,但往往買進了近期業績表現最佳的基金之後,基金表現反而不如預期,這是因為所選基金波動度太大,沒有穩定的表現。衡量基金波動程度的工具就是標準差(StandardDeviation)。標準差是指基金可能的變動程度。標準差越大,基金未來淨值可能變動的程度就越大,穩定度就越小,風險就越高。
基金的算法另外,標準差也可以用來判斷基金屬性。據晨星統計,今年以來股票基金的平均標準差為5.14,積配型基金的平均標準差為5.04;保守配置型基金的平均標準差為4.86;普通債券基金平均標準差為2.91;貨幣基金平均標準差則為0.19;由此可見,越是積極型的基金,標準差越大;而如果投資人持有的基金標準差高於平均值,則表示風險較高,投資人不妨在觀賞奧運比賽的同時,也檢視一下手中的基金。
企業中的套用
資本結構指的是企業各種資金來源的比例關係,是企業籌資活動的結果。最優資本結構是指能使企業資本成本最低且企業價值最大的資本結構;產權比率,即借入資本與自有資本的構成比例,是反映企業資本結構的重要變數。企業的資產由債務性資金和權益性資金組成,但其風險等級和收益率各不相同。根據投資組合理論,投資的多樣化可以分散掉一定的風險,因此資金提供者需要決定投資於債務性資金和權益性資金的比例。以便在權衡風險和收益的情況下保證其利益的最大化。理論探索而外部資金提供者利益的最大化也就是企業價值的最大化,這一投資比例對於企業融資而言也就是企業的最優資本結構比例。假定某企業的資金通過發行債券和股票兩種方式獲得,並且都屬於風險性資產。σ其中債券的收益率為rD,風險通過標準差σD來衡量;股票的收益率為rE,風險為σE;股票和債券的相關係數為pDE,協方差為COV(rD,rE);債券所占的比重為wD,股票所占比重為WE(WD+WE=1)。根據投資組合理論,企業外部投資者對該企業投資所獲的期望收益率為E(rp)=WDE(rD)+wEE(rE),方差為
1、企業債務性資金和權益性資金完全正相關,即相關係數pDE為1。企業外部投資者獲得的期望收益率為E(rp)=wDE(rD)+wEE(rE),風險標準差為σ=wDσD+wEσE,也就是組合的標準差等於各個部分標準差的加權平均值,通過投資組合不可能分散掉投資風險。根據投資組合理論,投資組合的不同比例對於投資者而言是無差異的。
⒉企業債務性資金和權益性資金完全負相關,即其相關係數為-1。投資者獲得的報酬率的期望值及其方差分別為。根據投資組合理論,只有當投資比例大於σE/(σD+σE)時其投資組合才是有效的。對於企業籌資而言,也即企業的權益性資金的比例大幹σE/(σD+σE),企業的籌資比例才是有效的,而且當組合比例為σE/(σD+σE)時,企業的籌資組合風險為零。
⒊企業債務性資金和權益性資金的相關係數大於-1小於1。理論上,一個企業的兩種籌資方式之間的相關程度較高,一方面兩種籌資方式都承擔系統風險,另一方面它們也承擔相同的公司風險。因此從實踐來看,企業的不同籌資方式間的相關程度不可能是完全的正相關和負相關。對於一個企業而言,債務性資金對企業有固定的要求權,權益性資金對企業只有剩餘要求權,因此債務性資金的波動不可能像權益性資金的波動那么大。同時企業的風險會同時影響企業的債務性資金和權益性資金,因此企業的債務性資金和權益性資金的相關係數不可能為負數。企業不同的籌資方式間的相關係數一般在0-1之間。
那么究竟在什麼比例下企業的價值才會達到最大呢?根據投資組合理論,當E(r1)>E(r2),且時,才能出現r1,優於r2。可見,決定企業資本結構的直接因素主要是不同籌資方式的收益率和風險以及它們之間的相關係數。

