簡介
統計量是統計理論中用來對數據進行分析、檢驗的變數。巨觀量是大量微觀量的統計平均值,具有統計平均的意義,對於單個微觀粒子,巨觀量是沒有意義的.相對於微觀量的統計平均性質的巨觀量也叫統計量。需要指出的是,描寫巨觀世界的物理量例如速度、動能等實際上也可以說是巨觀量,但巨觀量並不都具有統計平均的性質,因而巨觀量並不都是統計量。
定義
樣本的已知函式;其作用是把樣本中有關總體的信息匯集起來;是數理統計學中一個重要的基本概念。統計量依賴且只依賴於樣本 x1, x2,… xn;它不含總體分布的任何未知參數。
統計量從樣本推斷總體(見統計推斷)通常是通過統計量進行的。例如 x1, x2,…, xn是從正態總體 N( μ,1)(見常態分配)中抽出的簡單隨機樣本,其中均值(見數學期望) μ是未知的,為了對 μ作出推斷,計算樣本均值。可以證明,在一定意義下,塣包含樣本中有關 μ的全部信息,因而能對 μ作出良好的推斷。這裡只依賴於樣本 x1, x2,…, xn,是一個統計量。
統計量
樣本矩
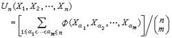
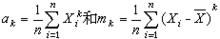
設 x1, x2,…, xn是一個大小為 n的樣本,對自然數 k,分別稱 為 k階樣本原
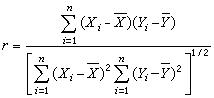
統計量點矩和 k階樣本中心矩,統稱為樣本矩。許多最常用的統計量,都可由樣本矩構造。例如,樣本均值(即 α1)和樣本方差 是常用的兩個統計量,前者反映總體中心位置的信息,後者反映總體分散情況。還有其他常用的統計量,如樣本標準差,樣本變異係數 S/塣,樣本偏度,樣本峰度等都是樣本矩的函式。若( x1, Y1),( x2, Y2),…,( xn, Yn)是從二維總體( x, Y)抽出的簡單樣本,則樣本協方差·及樣本相關係數 也是常用的統計量, r可用於推斷 x和 Y的相關性。
次序統計量
把樣本 X1, x2,…, xn由小到大排列,得到,稱之為樣本 x1, x2,…
統計量, xn的次序統計量。其中最小次序統計量 x⑴最大次序統計量 x(n)稱為極值,在那些如年枯水量、年最大地震級數、材料的斷裂強度等的統計問題中很有用。還有一些由次序統計量派生出來的有用的統計量,如:樣本中位數 是總體分布中心位置的一種度量,若樣本大小 n為奇數,,若 n為偶數,,它容易計算且有良好的穩健性。樣本 p分位數Zp(0< p<1)及極差 x(n)- x⑴也是重要的統計量。其中Zp當時即為中位數,而當時,表示不超過1+ n p的最大整數)。樣本分位數的一個重要套用是構造連續總體分布的非參數性容忍區間(見區間估計)。
U統計量
統計量這是W.霍夫丁於1948年引進的,它在非參數統計中有廣泛的套用。其定義是:設 x1, x2,…, xn,為簡單樣本,m為不超過 n的自然數,為m元對稱函式,則稱 為樣本 x1, x2,…, xn的以為核的 U統計量。樣本均值和樣本方差都是它的特例。從霍夫丁開始,這種統計量的大樣本性質得到了深入的研究,主要套用於構造非參數性的量的一致最小方差無偏估計(見點估計),並在這種估計的基礎上檢驗非參數性總體中的有關假設。
秩統計量
統計量把樣本 X1, X2,…, Xn 按大小排列為,若 則稱 Ri為 xi的秩,全部 n個秩 R1, R2,…, Rn構成秩統計量,它的取值總是1,2,…, n的某個排列。秩統計量是非參數統計的一個主要工具。
還有一些統計量是因其與一定的統計方法的聯繫而引進的。如假設檢驗中的似然比原則所導致的似然比統計量,K.皮爾森的擬合優度(見假設檢驗)準則所導致的Ⅹ統計量,線性統計模型中的最小二乘法所導致的一系列線性與二次型統計量,等等。
完全性
統計量是由樣本加工而成的,在用統計量代替樣本作統計推斷時,樣本中所
統計量含的信息可能有所損失,如果在將樣本加工為統計量時,信息毫無損失,則稱此統計量為充分統計量。例如,從一大批產品中依次抽出 n個,若第 i次抽出的是合格品,則 xi=0,否則 xi=1( i=1,2,…, n)。總體分布取決於整批產品的廢品率 p,可以證明:統計量,即樣本中的廢品個數,包含了( x1, x2,…, xn)中有關 p的全部信息,是一個充分統計量。若取m< n,令 Tm( x1,,則 Tm仍是一個統計量,不過不是充分的。
統計量充分性是數理統計的一個重要基本概念,它是R.A.費希爾在1925年引進的,費希爾提出,並由J.奈曼和P.R.哈爾莫斯在1949年嚴格證明了一個判定統計量充分性的方法,叫因子分解定理。這個定理適用面廣且套用方便,利用它可以驗證很多常見統計量的充分性。例如,若正態總體有已知方差,則樣本均值塣是充分統計量。若正態總體的均值、方差都未知,則樣本均值和樣本方差 S合起來構成充分統計量(塣, S)。一個統計量是否充分,與總體分布有密切關係。
統計量將樣本加工成統計量要求越簡單越好。簡單的程度的大小,主要用統計量的維數來衡量。簡單地講,若統計量 T2是由統計量 T1加工而來(即 T2是 T1的函式),則 T2比 T1簡單。在此意義上,最簡單的充分統計量叫極小充分統計量。這是E.L.萊曼和H.謝菲於1950年提出的。前例中的充分統計量都有極小性。在任何情況下,樣本 x1, x2,…, xn本身就是一個充分統計量,但一般不是極小的。
關於統計量的另一個重要的基本概念是完全性。設 T為一統計量, θ為總體分布參數,若對 θ的任意函式 g( θ),基於 T的無偏估計至多只有一個(以機率1相等的兩個估計量視為相同),則稱 T為完全的。
抽樣分布
統計量的分布叫抽樣分布。它與樣本分布不同,後者是指樣本 x1, x2,…, xn的聯合分布。
統計量統計量的性質以及使用某一統計量作推斷的優良性,取決於其分布。所以抽樣分布的研究是數理統計中的重要課題。尋找統計量的精確的抽樣分布,屬於所謂的小樣本理論(見大樣本統計)的範圍,但是只在總體分布為正態時取得比較系統的結果。對一維正態總體,有三個重要的抽樣分布,即Ⅹ分布、 t分布和 F分布。
統計量
統計量Ⅹ分布 設隨機變數 x1, x2,…, xn是相互獨立且服從標準常態分配 N(0,1),則隨機變數的分布稱為自由度為 n的Ⅹ分布(其密度函式及下文的 t分布、 F分布的密度函式表達式均見機率分布)。這個分布是 F.赫爾梅特於1875年在研究正態總體的樣本方差時得到的。若 x1, x2,…, xn是抽自正態總體 N( μ, σ)的簡單樣本,則變數服從自由度為 n-1的Ⅹ分布。若 x1, x2,…, xn服從的不是標準常態分配,而依次是常態分配 N( μi,1)( i=1,2,…, n),則的分布稱為非中心Ⅹ分布,稱為非中心參數。當 δ=0時即前面所定義的Ⅹ分布。為此,有時也稱它為中心Ⅹ分布。中心與非中心的Ⅹ分布在正態線性模型誤差方差的估計理論中,在正態總體方差的檢驗問題中(見假設檢驗),以及一般地在正態變數的二次型理論中都有重要的套用。
統計量t分布設隨機變數ξ, η獨立,且分別服從常態分配 N( δ,1)及自由度 n的中心Ⅹ分布,則變數的分布稱為自由度 n、非中心參數 δ的非中心 t分布;當 δ=0時稱為中心 t分布。若 x1, x2,…, xn是從正態總體 N( μ, σ)中抽出的簡單樣本,以塣記樣本均值,以記樣本方差,則服從自由度 n-1的 t分布。這個結果是英國統計學家W.S.戈塞特(又譯哥色特,筆名“學生”)於 1908年提出的。 t分布在有關正態總體均值的估計和檢驗問題中,在正態線性統計模型對可估函式的推斷問題中有重要意義, t分布的出現開始了數理統計的小樣本理論的發展 。

