生物統計
正文
生物統計發展簡況 最早提出生物統計思想的是比利時數學家L.A.J.凱特萊,他試圖把統計學的理論套用於解決生物學、醫學和社會學中的問題。1866年,G.J.孟德爾揭示了遺傳的基本規律,這是最早運用數理統計於生物實驗的一個成功的範例(見孟德爾定律)。1889年,F.高爾頓在《自然的遺傳》一書中,通過對人體身高的研究指出,子代的身高不僅與親代的身高相關,而且有向平均值“回歸”的趨勢,由此提出了“回歸”和“相關”的概念和算法,從而奠定了生物統計的基礎。高爾頓的學生K.皮爾遜進一步把統計學套用於生物研究,提出了實際測定數與理論預期數之間的偏離度指數即卡方差(x2)的概念和算法,這在屬性的統計分析上起了重要作用。1899年,他創辦了《生物統計》雜誌,還建立了一所數理統計學校。他的學生W.S.戈塞特對樣本標準差作了許多研究,並於1908年以“Student”的筆名將t-檢驗法發表於《生物統計》雜誌上。此後,t-檢驗法就成了生物統計學中的基本工具之一。英國數學家R.A.費希爾指出,只注意事後的數據分析是不夠的,事先必須作好實驗設計。他使實驗設計成了生物統計的一個分支。他的學生G.W.斯奈迪格把變異來源不同的均方比值稱為F值,並指出當F值大於理論上 5%機率水準的F值時,該項變異來源的必然性效應就從偶然性變數中分析出來了,這就是“方差分析法”。上述這些方法對於農業科學、生物學特別是遺傳學的研究,起了重大的推動作用,20世紀20年代以來,各種數理統計方法陸續創立,它們在實驗室、田間、飼養和臨床實驗中得到廣泛套用並日益擴大到整個工業界。70年代,隨著計算機的普及,使本來由於計算量過大而不得不放棄的統計方法又獲得了新的生命力,套用更為廣泛,並在現代科技中占有十分重要的地位。
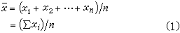
個體與總體參數 一個觀測對象(如一個7歲男孩)的某些性狀(如身高等)的量度結果,稱為一個個體。來源相同的各個個體(如各個 7歲男孩的身高值)之間的差異稱為個體變異。總體是通過統計所欲了解的對象,其中的個體可以是有限的也可以是無限的。觀測數據可以是計數的(離散的)(如單位面積中的昆蟲數),也可以是計量的(如身高、體重、血壓、肺活量等)。總體最基本的參數有兩類:表示水平的稱為位置參數或型值,如平均數、中位數、率等;反映個體差異大小的稱為分散度參數,如標準差、極差等。總體參數是一個客觀存在但通常卻又是未知的常數。只能用樣本去估計它。這樣做自然會有誤差。
樣本平均數,即

。 率 反映事物或現象出現的機會或頻度,常用百分率或小數表示。如:感染率、死亡率、男嬰率等。若以P代表陽性率,則陰性率Q=1-P。若將男嬰記作x=1,女嬰記作x=0,則n個嬰兒的性別指標的均數塣=(∑x/n=P就是男嬰率。可見,率可以看成是個體取值為1或0的計數數據的均數。這種樣本的率P也是對應的總體率P的無偏估計。總體的率又稱為機率。
中位數 是數據按大小排列後位於中央的數值。對於分布不對稱的指標(如機體內、外環境中的有害物質濃度等)往往會有少數特大值,此時,中位數比均數更具代表性,也更穩定。當n為偶數時,則取中央兩數的均數。
眾數 即最常出現的數值。如正常妊娠天數的眾數為280天。
極差 即最大值與最小值之差。是用於表示數據分散度的簡單指標。
方差 比極差更全面地反映個體差異的大小。若總體中有N個個體,則總體的方差為
(2)
(3)
(4)
表示。 變異係數 即
(5)
塣=(22+24+27)/3=24.3(克) 


機率 表示客觀事物可能發生的程度。它是實際觀察到的率(如男嬰率)的總體均值或期望值。它的通用符號是P。常用小數或分數表示其大小。例如用0《P《1表示機率的取值範圍為0~1:假定P(男嬰)=22/43=0.512表示生男嬰的機率為22/43或0.512,即略大於1/2。這一理論值是根據反覆多次的大樣本統計結果歸納出來的。機率可以從量的方面來說明總體的性質。所謂“小機率事件”是指實際上不大可能發生的事件。
為充分地了解一個總體,就須知道個體的取值範圍,以及出現的各種可能值的機率,即機率分布,簡稱分布。
常態分配 一種理想的對稱型分布。有些生物學指標遠非常態分配,而是呈左右不對稱的所謂偏態,但當樣本增大時,它們的均數卻趨向常態分配。這一性質有重要的實用價值。
直方圖 一種根據頻數表繪製的圖,它以橫軸上的長方形的面積表示各組的頻數,長方形在橫軸上的邊長相當於組距(圖1)。
生物統計
生物統計
生物統計
生物統計
(6)
當樣本含量增大時,不論原始數據是不是常態分配,它的大多數統計指標均趨向常態分配,從而可以進一步化為標準常態分配,再根據μ 的界值來作出推斷(表1)。
正常範圍 生物界的正常範圍常用於診斷、鑑別和分類。制定正常範圍需要一些先決條件:原始數據必須來自同一總體;樣本對總體的代表性要好;儀器、試劑和方法都沒有偏性。理想的界限應有較高的靈敏度與特異度。前者是對異常者的識別率=1-假陽性率;後者是對正常者的識別率=1-假陰性率。當尚未掌握異常者的情況時,可暫將特異度定在0.95(即95%的正常者為此範圍所覆蓋)的水平;待掌握了異常者的數據分布後,再酌情修改界限以便兼顧靈敏度與特異度這兩個方面。
抽樣 為了估計總體的參數(如均數、率、標準差等)而從其中抽出一部分個體組成供分析的樣本稱為抽樣。抽樣方法應能防止主、客觀因素造成偏性(即系統誤差),保證樣本對總體的代表性。簡單隨機抽樣是以抽籤或相當於抽籤的方式從總體中抽取個體組成樣本。其要點是:總體中每個個體被抽中的機會必須均等。系統抽樣是將總體劃分為時間或空間順序相等的n個部分,再機械地取每一部分的第K個個體組成樣本,K是一次隨機抽定的。例如,欲抽查十分之一學生的成績,可從0到9這10個整數中隨機地抽定一個數,假設為3,則凡學生證號最後一個數是 3者均為被抽中的對象。分層抽樣是事先將總體分為不同的層次(如地區、年齡、性別等),再分別從各層次中按適當比例抽樣。用此法可以從層間差異較大的總體中獲取代表性較好的樣本。整群抽樣是以群體為單位進行抽樣,凡抽中的單位就全面調查。此法便於實施,但抽樣誤差較大,一般不可沿用基於簡單隨機抽樣的普通公式計算抽樣誤差。此外,還可以分階段地、混合地使用上述方法。如兩階段抽樣、多階段抽樣、分層整群抽樣、多階段等機率抽樣等。
用樣本統計量去估計總體參數難免會有抽樣誤差,它的大小與個體變異(標準差)的大小成正比;與樣本含量的平方根成反比。表示抽樣誤差大小的統計指標是標準誤

(7)
差異的顯著性 兩個或兩組數據相比,總會有或大或小的差異。問題是這種差異僅僅是抽樣誤差的反映呢還是由於它們來自不同的總體?即是否存在著實質性差異?用統計學的術語來說,就是要判斷數據間的差異是否“顯著”。用統計方法來推斷差異的性質稱為差異的顯著性檢驗。顯著性檢驗的方法很多,基本步驟大體如下:先假定數據均來自同一總體,即假設要比較的數據並無實質性差異,稱為零假設;根據原始數據計算因抽樣誤差而出現此種程度差異的機率P;若P甚小,則根據“小機率事件實際上不大可能發生”這一原理否定零假設,認為“差異顯著”,即這種差異從統計學的角度來看是有意義的;反之,若P不算小,就不否定零假設,認為“差異不顯著”,即不能排除抽樣誤差範圍內的波動。正確地運用顯著性檢驗,可使實驗或調查的結論建立在更科學、穩妥的基礎之上,避免簡單化和絕對化。
顯著性水準 機率的大小只能相對而言,在生物學數據的差異顯著性檢驗中,已習慣用α=0.05為小機率的上限。有時,為嚴格起見,也規定α=0.01。稱α為顯著性水準,它是當零假設正確時卻錯誤地將其否定(第Ⅰ類錯誤)的機率。但也不是α 定得愈小愈好。倘若零假設是不對的卻未能否定,它(第Ⅱ類錯誤)的機率β 將因α規定得愈小而愈大。增大樣本可以減小出現第Ⅰ或第Ⅱ類錯誤的機率。
兩個計數數據的比較 最簡單的差異顯著性檢驗是比較按零假設系“來自同一總體”的兩個計數α與b。
(8)
例如,用“714”試治喘息型氣管炎,與用氨茶鹼進行比較:在每名患者身上交替使用這兩種藥各一療程。半數患者先服甲藥,另一半先服乙藥。結果16名患者用氨茶鹼效果較好(α=16),5名用“714”較好(b=5)。
將上述結果代入(8)式

凡用標準常態分配統計量U進行的顯著性檢驗,均可稱為U檢驗。
兩個均數的比較 也可用U檢驗:
(9)
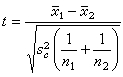
t檢驗是根據統計量t的機率分布(稱為t分布,見表2而進行的顯著性檢驗。
生物統計
(10)

(11)
表示顯著性水準為α、自由度為υ的t臨界值,可從表 3中查得。若按(10)式算得的t的絕對值大於
,則P<d,有顯著性差異。 例如,在一塊小區田裡選20兜長勢均勻的禾苗作試驗,隨機抽取其中10兜噴以粗製“920”溶液,其餘噴水作對照。三日後,測量禾苗淨增長度,結果如表2。由(11)式

生物統計
(13)
=(α1+1)(n1+2),α1是第 1組的陽性數,
=1-
,余類推。自由度υ=n1+n2-2。 例如,甲組n1=23,其中兩個呈“+”反應,乙組n2=77,全為“-”反應。現在來檢驗差異的顯著性。
=(2+1)/(23+2)=0.120,
=1-0.120=0.880;
=(0+1)/(77+2)=0.013,
=1-0.013=0.987。代入(13) 式得t=1.65,υ=23+77-2=98,接近100,由表3知
,P>0.05,故無顯著性差異。 置信限 由樣本估計總體,難免會有抽樣誤差,這就產生了統計量的可信程度和可信範圍的問題。如果我們將統計量塣(或P)看成為一個個體,塣的總體均數為μ,標準差為σm=σ/
;而且不論x的分布是否正態,只要n不是很小,塣就近似常態分配,亦即U=(塣-μ)/σm近似標準常態分配。於是下式
(14)
(15)
的機會──稱為置信水準──是95%,所以稱(15)式為95%置信區間,它的上、下限就是置信限。 例如按表4中數據可算出161名7歲男孩的身高均值塣=115.01(厘米),標準差s=4.63,標準誤由(7)式得
。由 (15)式得 7歲男孩身高總體均數μ 的95%置信限為【114.95,115.73】。
生物統計
(16)
的值。 方差分析 也是基本的統計分析方法之一,較常用於分析實驗數據。用於檢驗多組均數間差異的顯著性和多因素的單獨效應與互動影響的顯著性等。基本思路:常態分配數據的變差,可分為未能控制與未能解釋的“誤差”和來源明確與能夠解釋的“效應”這兩大部分。後者還可以進一步劃分成各種不同因素及其互動影響所引起的效應。
按一個因素的不同水平分組的數據結構:
觀測值=平均效應+該水平(組)效應+誤差 (17)
當檢驗K組數據間的差異顯著性時,零假設相當於“各組效應均為零”;當零假設被否定時備選假設相當於“在K種處理(水平)中至少有一種的效應不為零”。一般用離均差平方和(記作SS)來衡量數據間的變異,再除以自由度(υ)則稱為均方,記作MS=SS/υ,它反映了平均的變異程度。設每組各有n個數據,則K組共有N=nK個。它們的總變異
,xij表示第i組的第j個數據;各組之間的變異
,塣i是第i組的均數;組內變異(即誤差)
。三者之間有以下關係: SST=SSB+SSW(18)
它們的自由度也同樣可加:(nK-1)=(K-1)+(nK-K)(19)
組間均方 MSB=SSB/(K-1)與組內均方 MSW=SSW/(nK-K)之比F=MSB/MSW (20)
可用來檢驗組間差異的顯著性。F的界值可從F值表中查得。用於方差分析的軟體可以列印出包含 F及相應的尾部機率P值的表格(表6)。
生物統計
生物統計按兩個因素分組的數據結構:
觀測值=均數+行效應+列效應+互動影響+誤差 (21)
其中“均數”指平均效應,行效應指按第1因素分組的組效應,列效應指按第2因素分組的組效應。互動影響的含義:當數據按兩個以上的因素分組時,如果這些因素的效應並不是彼此獨立的,即一個因素的效應隨另一因素的水平不同而異,則稱這兩個因素之間存在著互動影響。例如在三種病型的患者身上試用 4種藥物後的血壓改變如表7所示。其中每個數據代表一個病人的用藥結果。
生物統計
生物統計只有進行了重複實驗,即兩因素的各種不同水平的搭配均有兩個以上數據,才有可能算出互動影響項的變異。這是在設計時應該想到的。
上述內容不難推廣到三個以上因素的方差分析。
理論的驗證──x2檢驗 生物科學注重實驗、調查。歸納得來的理論、演繹得來的假說,還須經過實踐來驗證。由於個體差異大是生物學數據的固有特點,所以這種驗證也只能是統計的。
統計量x2 是 V個獨立標準常態分配統計量的平方和,它的分布與自由度V有關(表9,圖4)。
生物統計
生物統計
(22)其中的理論數可按欲檢驗的生物學理論或零假設計算,自由度 V=x2中蘊含獨立統計量的個數。對於普通的只有一行K格的單向表──1×K表,因受合計的約束, V=K-1
而雙向的有r行c列的r×c表,則因受行合計與列合計的約束,V=(r-1)(c-1)
對計算結果的分析可參照差異的顯著性檢驗。例如番茄的真實紫莖、缺刻葉植株AACC與真實綠莖、馬鈴薯葉植株aacc雜交,子2代得如下結果(株數):
紫莖缺刻葉 紫莖馬鈴薯葉 綠莖缺刻葉 綠莖馬鈴薯葉
24790 83 34
或0.5625:0.1875:0.1875:0.0625子2代總株數為247+90+83+34=454;理論頻數是總株數與構成比的乘積,故得255.375:85.125:85.125:28.375,代入(22)式: x2=
=2.37>1.72,故P>0.5,高度吻合。衡量吻合度不能用小樣。 列聯表 即按兩種指標分成r行c列的所謂r×c表,常用於衡量指標間的聯繫或獨立性,為此亦可用(22)式。
例如根據表10中數據分析血型與白血病病型間有無聯繫。零假設是“二者沒有聯繫”。括弧中數據是根據零假設計算的理論頻數=行合計×列合計÷總計。代入(22)式得x2=1.84,V=行數-1×列數-1=(2-1)×(4-1)=3。查表3,
=2.37>1.84,P>0.5,故不能否定零假設。即不能認為血型與白血病病型有聯繫。 |
|
直線回歸是用簡單的直線方程尲=α+bx來擬合依變數y(尲表示它的估計值)受自變數x影響的情形。式中的α與b可以在有回歸功能鍵的計算器上直接得出,但需按說明書將成對的觀測數據(x,y)輸入。計算程式的原理在於使
極小化。若自變數不止一個,則有尲=b0+b1x1+b2x2+…,稱為多元回歸,可用於預測、判別與指標的綜合等。一般的微電腦常有計算多元回歸係數bi等的程式。 直線相關係數r=bSx/Sy(其中b為回歸係數,Sx、Sy分別為x與y的標準差),其絕對值反映兩個指標相關的程度。r的取值範圍是-1到+1。它也可以在計算器上直接得出。
機率單位分析法 主要用於處理生物對化學或物理刺激的反應曲線。是一種以劑量的對數為自變數,以反應率的機率單位為依變數,從而使S型曲線直線化而便於分析的一種方法,可用於測定藥物、毒物或物理因素對機體作用的強度和分析它們的聯合作用。
無分布法 大多數統計分析方法都建立在“數據為常態分配”這一基本假定之上,而許多生物學數據遠非常態分配,採用無分布法可以繞過這一困難。這類方法往往比較直觀,而且計算簡便。有時,一部分(或全部)觀測結果並不能直接用數據表示,只能用反映大小或程度的等級或秩次表示。例如,觀測結果是“-”,“±”,“+”及“++”以上,排序後的等級便是1,2,3,4……。許多很有效的無分布法就是基於數據或觀測結果的大小順序的。由於無分布法通常並不涉及數據分布的參數(如平均數),所以有時也稱為非參數方法。
生存分析 許多生物現象的動態觀察結果都比一次性的橫斷面觀察更能說明問題。例如:惡性腫瘤患者接受手術治療的效果,要看他們術後經過一段時間的生存率,或者有必要描繪出在不同條件下的生存率曲線(以時間為橫軸,生存率為縱軸),以便進行分析與比較;器官移植的效果,要看異體器官在體內正常工作和不被排斥的時間等。生存分析的用途是廣泛的。
多元分析 又稱多指標或多變數分析,是對多個觀測指標同時進行綜合性分析,所以比普通的一元統計分析更為全面、有效。這是40年代就已出現的一系列好方法。由於涉及較深的數學知識和很複雜的計算,妨礙了它們的普及,隨著計算機和統計軟體包的日益完善,預料多元分析不久將會成為生物科學研究的常規武器。多重回歸是指多個自變數和一個因變數的回歸;而多元回歸是指不止一個因變數的回歸。但二者常被混淆使用。它們可用於預測、指標的綜合或自變數的篩選。判別分析是利用形如多重回歸方程的判別函式來進行個體種類的判斷或診斷。聚類分析是將許多個體或指標按它們的相似程度來歸類。對個體進行聚類稱為Q型聚類;對指標進行聚類稱為R型聚類。Q型聚類和判別分析是數量分類學的兩種基本方法。趨勢面是以地理上的經、緯度為自變數的高次方程,可用於繪製研究對象在地理上的分布密度的等高線圖,亦可用於預測。主成分分析的目的在於將許多彼此相關的指標變換成少數幾個彼此獨立的綜合指標,而且它們包含了原來那些指標的幾乎全部統計信息。因子分析的計算程式與主成分分析類似,但它不是研究指標的變換,而是分析個體間的內在聯繫,此法為心理學家所首創,也可用於研究複雜的疾病。
統計模型 幾乎所有的統計方法都有一個數學模型作為背景。除了上述方法之外,在生物科學研究中用處較大的還有:捉放捉模型,用於個體總數的估計;對數線性模型,用於多維列聯表(即按多個指標分組的計數資料)的分析;Logit模型,既可用來同時排除多個混雜因素的影響,又可用於處理定量的混雜變數與危險因子。如果所有指標都是定性的,Logit模型就成了對數線性模型的一個特例。
參考書目
楊紀珂等:《現代生物統計》,安徽教育出版社,合肥,1985。
湯旦林:《醫用統計基礎》,人民衛生出版社,北京, 1989。
C.C.Li,Introduction to Experimental Statistics,McGraw-Hill Book Co.,New York,1964.
P.Armitage, Statistical Methods in Medical Research,Blackwell Seientific Publications,Oxford,1977.


