詳細介紹
表示
首先要理解,函式是發生在集合之間的一種對應關係。然後,要理解發生在A、B之間的函式關係不止且不止一個。最後,要重點理解函式的三要素。
函式的對應法則通常用解析式表示,但大量的函式關係是無法用解析式表示的,可以用圖像、表格及其他形式表示 。
概念
在一個變化過程中,發生變化的量叫變數(數學中,常常為x,而y則隨x值的變化而變化),有些數值是不隨變數而改變的,我們稱它們為常量。
自變數(函式):一個與它量有關聯的變數,這一量中的任何一值都能在它量中找到對應的固定值。
因變數(函式):隨著自變數的變化而變化,且自變數取唯一值時,因變數(函式)有且只有唯一值與其相對應。
函式值:在y是x的函式中,x確定一個值,y就隨之確定一個值,當x取a時,y就隨之確定為b,b就叫做a的函式值 。
映射定義
函式[數學函式]
函式[數學函式]
函式[數學函式]設A和B是兩個非空集合,如果按照某種對應關係 ,對於集合A中的任何一個元素a,在集合B中都存在唯一的一個元素b與之對應,那么,這樣的對應(包括集合A,B,以及集合A到集合B的對應關係f)叫做集合A到集合B的映射(Mapping),記作 。其中,b稱為a在映射f下的象,記作: ; a稱為b關於映射f的原象 。集合A中所有元素的象的集合記作f(A)。
則有:定義在非空數集之間的映射稱為函式。(函式的自變數是一種特殊的原象,因變數是特殊的象)
幾何含義
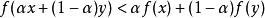
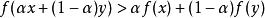
函式與不等式和方程存在聯繫(初等函式)。令函式值等於零,從幾何角度看,對應的自變數的值就是圖像與X軸的交點的橫坐標;從代數角度看,對應的自變數是方程的解。另外,把函式的表達式(無表達式的函式除外)中的“=”換成“<”或“>”,再把“Y”換成其它代數式,函式就變成了不等式,可以求自變數的範圍 。
集合論
函式[數學函式]
函式[數學函式]
函式[數學函式]
函式[數學函式]
函式[數學函式]如果X到Y的二元關係 ,對於每個 ,都有唯一的 ,使得 ,則稱f為X到Y的函式,記做: 。
函式[數學函式]當 時,稱f為n元函式 。
元素
輸入值的集合 X被稱為 f的定義域;可能的輸出值的集合 Y被稱為 f的 值域。函式的值域是指定義域中全部元素通過映射 f得到的實際輸出值的集合。注意,把對應域稱作值域是不正確的,函式的值域是函式的對應域的子集。
計算機科學中,參數和返回值的數據類型分別確定了子程式的定義域和對應域。因此定義域和對應域是函式一開始就確定的強制進行約束。另一方面,值域是和實際的實現有關 。
分類
單射 滿射 雙射
函式[數學函式]
函式[數學函式]
函式[數學函式]
函式[數學函式]單射函式,將不同的變數映射到不同的值。即:對於所有 和 ,當 時有 。
滿射函式,其值域即為其對映域。即:對映射f的對映域中之任意y,都存在至少一個x滿足 y=f(x)。
雙射函式,既是單射的又是滿射的。也叫一一對應。雙射函式經常被用於表明集合X和Y是等勢的,即有一樣的基數。如果在兩個集合之間可以建立一個一一對應,則說這兩個集合等勢 。
象和原象
函式[數學函式]元素在 的象就是f(x),他們所取的值為0 。
圖象
函式[數學函式]函式 f的圖象是平面上點對 的集合,其中x取定義域上所有成員的。函式圖象可以幫助理解證明一些定理。
如果 X和 Y都是連續的線,則函式的圖象有很直觀表示注意兩個集合 X和 Y的二元關係有兩個定義:一是三元組( X, Y, G),其中 G是關係的圖;二是索性以關係的圖定義。用第二個定義則函式 f等於其圖象 。
發展歷史
函式的由來
中文數學書上使用的“函式”一詞是轉譯詞。是我國清代數學家李善蘭在翻譯《代數學》(1859年)一書時,把“function”譯成“函式”的。
中國古代“函”字與“含”字通用,都有著“包含”的意思。李善蘭給出的定義是:“凡式中含天,為天之函式。”中國古代用天、地、人、物4個字來表示4個不同的未知數或變數。這個定義的含義是:“凡是公式中含有變數x,則該式子叫做x的函式。”所以“函式”是指公式里含有變數的意思。我們所說的方程的確切定義是指含有未知數的等式。但是方程一詞在我國早期的數學專著《九章算術》中,意思指的是包含多個未知量的聯立一次方程,即所說的線性方程組。
早期概念
十七世紀伽俐略在《兩門新科學》一書中,幾乎全部包含函式或稱為變數關係的這一概念,用文字和比例的語言表達函式的關係。1637年前後笛卡爾在他的解析幾何中,已注意到一個變數對另一個變數的依賴關係,但因當時尚未意識到要提煉函式概念,因此直到17世紀後期牛頓、萊布尼茲建立微積分時還沒有人明確函式的一般意義,大部分函式是被當作曲線來研究的。
1673年,萊布尼茲首次使用“function”(函式)表示“冪”,後來他用該詞表示曲線上點的橫坐標、縱坐標、切線長等曲線上點的有關幾何量。與此同時,牛頓在微積分的討論中,使用 “流量”來表示變數間的關係 。
十八世紀
1718年約翰·柏努利在萊布尼茲函式概念的基礎上對函式概念進行了定義:“由任一變數和常數的任一形式所構成的量。”他的意思是凡變數x和常量構成的式子都叫做x的函式,並強調函式要用公式來表示。
1748年,歐拉在其《無窮分析引論》一書中把函式定義為:“一個變數的函式是由該變數的一些數或常量與任何一種方式構成的解析表達式。”他把約翰·貝努利給出的函式定義稱為解析函式,並進一步把它區分為代數函式和超越函式,還考慮了“隨意函式”。不難看出,歐拉給出的函式定義比約翰·貝努利的定義更普遍、更具有廣泛意義。
1755年,歐拉給出了另一個定義:“如果某些變數,以某一種方式依賴於另一些變數,即當後面這些變數變化時,前面這些變數也隨著變化,我們把前面的變數稱為後面變數的函式。”
十九世紀
1821年,柯西從定義變數起給出了定義:“在某些變數間存在著一定的關係,當一經給定其中某一變數的值,其他變數的值可隨著而確定時,則將最初的變數叫自變數,其他各變數叫做函式。”在柯西的定義中,首先出現了自變數一詞,同時指出對函式來說不一定要有解析表達式。不過他仍然認為函式關係可以用多個解析式來表示,這是一個很大的局限。
1822年傅立葉發現某些函式可以用曲線表示,也可以用一個式子表示,或用多個式子表示,從而結束了函式概念是否以唯一一個式子表示的爭論,把對函式的認識又推進了一個新層次。
函式[數學函式]
函式[數學函式]1837年狄利克雷突破了這一局限,認為怎樣去建立 與 之間的關係無關緊要,他拓廣了函式概念,指出:“ 對於在某區間上的每一個確定的x值,y都有一個確定的值,那么y叫做x的函式。”這個定義避免了函式定義中對依賴關係的描述,以清晰的方式被所有數學家接受。這就是人們常說的 經典函式定義。
等到康托創立的集合論在數學中占有重要地位之後,奧斯瓦爾德維布倫用“集合”和“對應”的概念給出了近代函式定義,通過集合概念把函式的對應關係、定義域及值域進一步具體化了,且打破了“變數是數”的極限,變數可以是數,也可以是其它對象 。
現代概念
1914年豪斯道夫(F.Hausdorff)在《集合論綱要》中用不明確的概念“序偶”來定義函式,其避開了意義不明確的“變數”、“對應”概念。庫拉托夫斯基(Kuratowski)於1921年用集合概念來定義“序偶”使豪斯道夫的定義很嚴謹了。
函式[數學函式]1930 年新的現代函式定義為“ 若對集合M的任意元素x,總有集合N確定的元素y與之對應,則稱在集合M上定義一個函式,記為f 。 元素 x稱為 自變數 , 元素 y稱為 因變數 ” 。
函式定義
傳統定義
一般的,在一個變化過程中,假設有兩個變數x、y,如果對於任意一個x都有唯一確定的一個y和它對應,那么就稱x是自變數,y是x的函式。x的取值範圍叫做這個函式的定義域,相應y的取值範圍叫做函式的值域 。
近代定義
函式[數學函式]
函式[數學函式]
函式[數學函式]
函式[數學函式]設A,B是非空的數集,如果按照某種確定的對應關係f,使對於集合A中的任意一個數x,在集合B中都有唯一確定的數 和它對應,那么就稱映射 為從集合A到集合B的一個函式,記作 或 。
函式[數學函式]
函式[數學函式]
函式[數學函式]
函式[數學函式]其中x叫作自變數, 叫做x的函式,集合 叫做函式的定義域,與x對應的y叫做函式值,函式值的集合 叫做函式的值域, 叫做對應法則。其中,定義域、值域和對應法則被稱為 函式三要素
函式[數學函式]定義域,值域,對應法則稱為函式的三要素。一般書寫為 。若省略定義域,一般是指使函式有意義的集合 。
編程
函式過程中的這些語句用於完成某些有意義的工作——通常是處理文本,控制輸入或計算數值。通過在程式代碼中引入函式名稱和所需的參數,可在該程式中執行(或稱調用)該函式。
類似過程,不過函式一般都有一個返回值。它們都可在自己結構裡面調用自己,稱為遞歸。
大多數程式語言構建函式的方法裡都含有函式關鍵字(或稱保留字) 。
表示方法
解析式法
用含有數學關係的等式來表示兩個變數之間的函式關係的方法叫做解析式法。這種方法的優點是能簡明、準確、清楚地表示出函式與自變數之間的數量關係;缺點是求對應值時往往要經過較複雜的運算,而且在實際問題中有的函式關係不一定能用表達式表示出來 。
函式[數學函式]列表法
用列表的方法來表示兩個變數之間函式關係的方法叫做列表法。這種方法的優點是通過表格中已知自變數的值,可以直接讀出與之對應的函式值;缺點是只能列出部分對應值,難以反映函式的全貌。如下所示 :
| x | 1 | 2 | 3 | 4 |
| y=2x | 2 | 4 | 6 | 8 |
圖像法
把一個函式的自變數x與對應的因變數y的值分別作為點的橫坐標和縱坐標,在直角坐標系內描出它的對應點,所有這些點組成的圖形叫做該函式的圖象。這種表示函式關係的方法叫做圖象法。這種方法的優點是通過函式圖象可以直觀、形象地把函式關係表示出來;缺點是從圖象觀察得到的數量關係是近似的 。
語言敘述法
使用語言文字來描述函式的關係 。
函式的特性
有界性
設函式f(x)在區間X上有定義,如果存在M>0,對於一切屬於區間X上的x,恆有|f(x)|≤M,則稱f(x)在區間X上有界,否則稱f(x)在區間上無界 。
單調性
設函式f(x)的定義域為D,區間I包含於D。如果對於區間上任意兩點x及x,當x<x時,恆有f(x)<f(x),則稱函式f(x)在區間I上是單調遞增的;如果對於區間I上任意兩點x及x,當x<x時,恆有f(x)>f(x),則稱函式f(x)在區間I上是單調遞減的。單調遞增和單調遞減的函式統稱為單調函式 。
奇偶性
函式[數學函式]設 為一個實變數實值函式,若有f(-x)= - f(x),則 f(x)為奇函式。
幾何上,一個奇函式關於原點對稱,亦即其圖像在繞原點做180度鏇轉後不會改變。
奇函式的例子有x、sin(x)、sinh(x)和erf(x)。
函式[數學函式]設 f( x)為一實變數實值函式,若有 ,則 f(x)為偶函式。
幾何上,一個偶函式關於 y軸對稱,亦即其圖在對 y軸映射後不會改變。
偶函式的例子有| x|、 x、cos( x)和cosh( x)。
偶函式不可能是個雙射映射 。
周期性
函式[數學函式]
函式[數學函式]設函式f(x)的定義域為D。如果存在一個正數T,使得對於任一 有 ,且f(x+T)=f(x)恆成立,則稱f(x)為周期函式,T稱為f(x)的周期,通常我們說周期函式的周期是指最小正周期。周期函式
函式的定義域 D 為至少一邊的無界區間,若D為有界的,則該函式不具周期性。並非每個周期函式都有最小正周期,例如狄利克雷函式。
周期函式有以下性質:
(1)若T(T≠0)是f(x)的周期,則-T也是f(x)的周期。
(2)若T(T≠0)是f(x)的周期,則nT(n為任意非零整數)也是f(x)的周期。
函式[數學函式](3)若T1與T2都是f(x)的周期,則 也是f(x)的周期。
(4)若f(x)有最小正周期T*,那么f(x)的任何正周期T一定是T*的正整數倍。
(5)T*是f(x)的最小正周期,且T1、T2分別是f(x)的兩個周期,則T1/T2∈Q(Q是有理數集)
(6)若T1、T2是f(x)的兩個周期,且T1/T2是無理數,則f(x)不存在最小正周期。
(7)周期函式f(x)的定義域M必定是雙方無界的集合 。
連續性
在數學中,連續是函式的一種屬性。直觀上來說,連續的函式就是當輸入值的變化足夠小的時候,輸出的變化也會隨之足夠小的函式。如果輸入值的某種微小的變化會產生輸出值的一個突然的跳躍甚至無法定義,則這個函式被稱為是不連續的函式(或者說具有不連續性)。
設 f是一個從實數集的子集射到 的函式:f在中的某個點 c處是連續的若且唯若以下的兩個條件滿足:
f在點 c上有定義。 c是其中的一個聚點,並且無論自變數 x在中以什麼方式接近 c, f( x) 的極限都存在且等於 f( c)。我們稱函式到處連續或處處連續,或者簡單的連續,如果它在其定義域中的任意點處都連續。更一般地,我們說一個函式在它定義域的子集上是連續的當它在這個子集的每一點處都連續。
不用極限的概念,也可以用下面所謂的方法來定義實值函式的連續性。
仍然考慮函式。假設 c是 f的定義域中的元素。函式 f被稱為是在 c點連續若且唯若以下條件成立:
對於任意的正實數,存在一個正實數δ> 0 使得對於任意定義域中的δ,只要 x滿足c - δ< x < c + δ,就有成立 。
凹凸性
函式[數學函式]
函式[數學函式]
函式[數學函式]
函式[數學函式]設函式 在 上連續。如果對於 上的兩點 ,恆有
函式[數學函式],
函式[數學函式]
函式[數學函式]
函式[數學函式]
函式[數學函式]那么稱第一個不等式中的 是區間 上的凸函式;稱第二個不等式中的 為嚴格凸函式。
同理如果恆有
函式[數學函式],
函式[數學函式]
函式[數學函式]
函式[數學函式]
函式[數學函式]那么稱第一個不等式中的 是區間 上的凹函式;稱第二個不等式中的 為嚴格凹函式 。
複合函式
函式[數學函式]
函式[數學函式]
函式[數學函式]
函式[數學函式]
函式[數學函式]
函式[數學函式]
函式[數學函式]
函式[數學函式]
函式[數學函式]設函式 的定義域為 ,函式 在D上有定義(D是構成複合函式的定義域,它可以是 定義域的一個非空子集),且 ,則函式 稱為由函式 和函式 構成的複合函式,它的定義域為D,變數 稱為中間變數。
函式[數學函式]
函式[數學函式]並不是任何兩個函式都可以複合成一個複合函式,若D為空集,則 和函式 不能複合 。
反函式
函式[數學函式]
函式[數學函式]
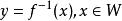
函式[數學函式]一般地,設函式 ,值域是W,對於每一個屬於W的y,有唯一的x屬於D,使得f(x)=y,這時變數x也是變數y的函式,稱為y=f(x)的反函式,記作 。而習慣上y=f(x)的反函式記為 。
習慣上只有一一對應的函式才有反函式。而若函式是定義在其定義域D上的單調增加或單調減少函式,則其反函式在其定義域W上單調增加或減少。原函式與反函式之間關於y=x對稱 。
分段函式
在自變數的不同變化範圍內,對應法則用不同解析式子來表示的一個函式,稱為分段函式 。分段函式的定義域是各段定義域的並集 。
多項式函式
常函式
x取定義域內任意數時,都有 y=C (C是常數),則函式y=C稱為常函式,
其圖象是平行於x軸的直線或直線的一部分 。
一次函式
函式[數學函式]
函式[數學函式]在某一個變化過程中,設有兩個變數x和y,如果可以寫成 (k為一次項係數,b為常數),那么我們就說y是x的 一次函式,其中x是自變數,y是因變數。特別的,當b=0時( ),稱y是x的 正比例函式。
基本性質:
1、在正比例函式時,x與y的商一定(x≠0)。在反比例函式時,x與y的積一定。
在y=kx+b(k,b為常數,k≠0)中,當x增大m時,函式值y則增大km,反之,當x減少m時,函式值y則減少km。
2、當x=0時,b為一次函式圖像與y軸交點的縱坐標,該點的坐標為(0,b);當y=0時,一次函式圖像與x軸相交於(﹣b/k)
3、當b=0時,一次函式變為正比例函式。當然正比例函式為特殊的一次函式。
4、在兩個一次函式表達式中:
當兩個一次函式表達式中的k相同,b也相同時,則這兩個一次函式的圖像重合;
當兩個一次函式表達式中的k相同,b不相同時,則這兩個一次函式的圖像平行;
當兩個一次函式表達式中的k不相同,b不相同時,則這兩個一次函式的圖像相交;
當兩個一次函式表達式中的k不相同,b相同時,則這兩個一次函式圖像交於y軸上的同一點(0,b);
當兩個一次函式表達式中的k互為負倒數時,則這兩個一次函式圖像互相垂直。
5、兩個一次函式(y1=k1x+b1,y2=k2x+b2)相乘時(k≠0),得到的的新函式為二次函式,
該函式的對稱軸為-(k2b1+k1b2)/(2k1k2);
當k1,k2正負相同時,二次函式開口向上;
當k1,k2正負相反時,二次函式開口向下。
二次函式與y軸交點為(0,b2b1)。
6、兩個一次函式(y1=ax+b,y2=cx+d)之比,得到的新函式y3=(ax+b)/(cx+d)為反比例函式,漸近線為x=-b/a,y=c/a。
7、當平面直角坐標系中兩直線平行時,其函式解析式中k的值(即一次項係數)相等;當平面直角坐標系中兩直線垂直時,其函式解析式中k的值互為負倒數(即兩個k值的乘積為-1)。
圖像:
一次函式的圖像如右圖所示,一次函式y=kx+b(k≠0)圖像是直線,過(0,b)和(-b/k,0)兩點。特別地,當b=0時,圖像過原點。
一次函式和方程的聯繫與區別:
1、一次函式和一元一次方程有相似的表達形式。
2、一次函式表示的是一對(x,y)之間的關係,它有無數對解;一元一次方程表示的是未知數x的值,最多只有1個值 。
3、一次函式與x軸交點的橫坐標就是相應的一元一次方程的根。
一次函式和不等式:
從函式的角度看,解不等式的方法就是尋求使一次函式y=kx+b的值大於(或小於)0的自變數x的取值範圍的一個過程;
從函式圖像的角度看,就是確定直線y=kx+b在x軸上(或下)方部分所有的點的橫坐標所構成的集合。
對應一次函式y=kx+b,它與x軸交點為(-b/k,0)。
當k>0時,不等式kx+b>0的解為:x>- b/k,不等式kx+b<0的解為:x<- b/k;
當k<0的解為:不等式kx+b>0的解為:x<- b/k,不等式kx+b<0的解為:x>- b/k 。
二次函式
函式[數學函式]
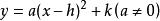
函式[數學函式]一般地,自變數x和因變數y之間存在如下關係: ,則稱y為x的 二次函式。二次函式的定義域為實屬域R。常數項c決定拋物線與y軸交點。拋物線與y軸交於(0,c)
二次函式還有以下兩種表示方式:
函式[數學函式]頂點式: ;
函式[數學函式]交點式(與x軸):
從右圖可見二次函式圖像是軸對稱圖形。
函式性質
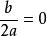
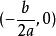
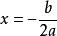
1、二次函式是拋物線,但拋物線不一定是二次函式。開口向上或者向下的拋物線才是二次函式。拋物線是軸對稱圖形。對稱軸為直線x = -b/2a。對稱軸與拋物線唯一的交點為拋物線的頂點P。特別地,當b=0時,拋物線的 對稱軸是y軸(即直線x=0)
函式[數學函式]
函式[數學函式]
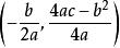
函式[數學函式]2、拋物線有一個頂點P,坐標為 ,當 時,P在y軸上;當 時,P在x軸上。
函式[數學函式]
函式[數學函式]
函式[數學函式]
函式[數學函式]
函式[數學函式]3、二次項係數a決定拋物線的開口方向和大小。當a>0時,拋物線向上開口;當a<0時,拋物線向下開口。|a|越大,則拋物線的開口越小。當a>0時,函式在 處取得最小值 ;在 上是減函式,在 上是增函式;函式的值域是 相反不變。
4、一次項係數b和二次項係數a共同決定對稱軸的位置。當a與b同號時(即ab>0),對稱軸在y軸左;當a與b異號時(即ab<0),對稱軸在y軸右。
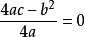
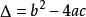
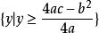
函式[數學函式]5、令 ,有以下性質:
函式[數學函式]
函式[數學函式]Δ>0,拋物線與x軸有2個交點,分別為: 和 。
函式[數學函式]Δ= 0,拋物線與x軸有1個交點,為 。
Δ<0,拋物線與x軸沒有交點,x的取值為虛數 。
三次函式
函式[數學函式]
函式[數學函式]形如 (a≠0,b,c,d為常數)的函式叫做三次函式(cubics function)。 三次函式的圖象是一條曲線——回歸式拋物線(不同於普通拋物線) 。
四次函式
函式[數學函式]定義:形如 的函式叫做四次函式 。
五次函式
函式[數學函式]一般的,自變數x和因變數y存在如下關係: 的函式,稱y為x的五次函式。其中,a、b、c、d、e分別為五次、四次、三次、二次、一次項係數,f為常數,a≠0 。
基本初等函式
基本初等函式包括冪函式、指數函式、對數函式、三角函式、反三角函式和常數函式。
冪函式
冪函式的圖像冪函式是形如y=x 的函式,a可以是自然數、有理數,也可以是任意實數或複數 。
指數函式
指數函式的圖像
函式[數學函式]
函式[數學函式]指數函式是形如y=a (a>0 ,a≠1)的函式,定義域為 ,值域為 ,a>1 時是嚴格單調增加的函式,0<a<1時函式單調減少,圖像過定點(0,1) 。
對數函式
函式[數學函式]
函式[數學函式]
函式[數學函式],稱a為底 ,定義域為 ,值域為 。a>1 時是嚴格單調增加的,0<a<1時是嚴格單減的。不論a為何值,對數函式的圖形均過點(1,0),對數函式與指數函式互為反函式。
函式[數學函式]
函式[數學函式]以10為底的對數稱為常用對數,簡記為 。在科學技術中普遍使用的是以e為底的對數,即自然對數,記作 。
三角函式
三角函式是數學中屬於初等函式中的超越函式的一類函式。它們的本質是任意角的集合與一個比值的集合的變數之間的映射。通常的三角函式是在平面直角坐標系中定義的,其定義域為整個實數域。另一種定義是在直角三角形中,但並不完全。現代數學把它們描述成無窮數列的極限和微分方程的解,將其定義擴展到複數系。
由於三角函式的周期性,它並不具有單值函式意義上的反函式。
三角函式在複數中有較為重要的套用。在物理學中,三角函式(Trigonometric)也是常用的工具。
它有六種基本函式:正弦函式,餘弦函式,正切函式,餘切函式,正割函式和餘割函式 。
反三角函式
反三角函式包括反正弦函式,反餘弦函式,反正切函式,反餘切函式,反正割函式和反餘割函式 。
常數函式
常數函式(也稱常值函式)是指值不發生改變(即是常數)的函式。例如,我們有函式 f(x)=4,因為 f映射任意的值到4,因此 f是一個常數。更一般地,對一個函式 f: A→B,如果對 A內所有的 x和 y,都有 f(x)=f(y),那么, f是一個常數函式 。
複變函數
定義
複變函數是定義域為複數集合的函式。
複數的概念起源於求方程的根,在二次、三次代數方程的求根中就出現了負數開平方的情況。在很長時間裡,人們對這類數不能理解。但隨著數學的發展,這類數的重要性就日益顯現出來。複數的一般形式是:a+bi,其中i是虛數單位。
以複數作為自變數的函式就叫做複變函數,而與之相關的理論就是複變函數論。解析函式是複變函數中一類具有解析性質的函式,複變函數論主要就研究複數域上的解析函式,因此通常也稱複變函數論為解析函式論 。
複變函數的發展簡況
複變函數論產生於十八世紀。1774年,歐拉在他的一篇論文中考慮了由複變函數的積分導出的兩個方程。而比他更早時,法國數學家達朗貝爾在他的關於流體力學的論文中,就已經得到了它們。因此,後來人們提到這兩個方程,把它們叫做“達朗貝爾-歐拉方程”。到了十九世紀,上述兩個方程在柯西和黎曼研究流體力學時,作了更詳細的研究,所以這兩個方程也被叫做“柯西-黎曼條件”。
複變函數論的全面發展是在十九世紀,就象微積分的直接擴展統治了十八世紀的數學那樣,複變函數這個新的分支統治了十九世紀的數學。當時的數學家公認複變函數論是最豐饒的數學分支,並且稱為這個世紀的數學享受,也有人稱讚它是抽象科學中最和諧的理論之一。
為複變函數論的創建做了最早期工作的是歐拉、達朗貝爾,法國的拉普拉斯也隨後研究過複變函數的積分,他們都是創建這門學科的先驅。
後來為這門學科的發展作了大量奠基工作的要算是柯西、黎曼和德國數學家維爾斯特拉斯。二十世紀初,複變函數論又有了很大的進展,維爾斯特拉斯的學生,瑞典數學家列夫勒、法國數學家彭加勒、阿達瑪等都作了大量的研究工作,開拓了複變函數論更廣闊的研究領域,為這門學科的發展做出了貢獻。
複變函數論在套用方面,涉及的面很廣,有很多複雜的計算都是用它來解決的。比如物理學上有很多不同的穩定平面場,所謂場就是每點對應有物理量的一個區域,對它們的計算就是通過複變函數來解決的。
比如俄國的茹柯夫斯基在設計飛機的時候,就用複變函數論解決了飛機機翼的結構問題,他在運用複變函數論解決流體力學和航空力學方面的問題上也做出了貢獻。
複變函數論不但在其他學科得到了廣泛的套用,而且在數學領域的許多分支也都套用了它的理論。它已經深入到微分方程、積分方程、機率論和數論等學科,對它們的發展很有影響 。
複變函數的內容
複變函數論主要包括單值解析函式理論、黎曼曲面理論、幾何函式論、留數理論、廣義解析函式等方面的內容。
如果當函式的變數取某一定值的時候,函式就有一個唯一確定的值,那么這個函式解就叫做單值解析函式,多項式就是這樣的函式。
複變函數也研究多值函式,黎曼曲面理論是研究多值函式的主要工具。由許多層面安放在一起而構成的一種曲面叫做黎曼曲面。利用這種曲面,可以使多值函式的單值枝和枝點概念在幾何上有非常直觀的表示和說明。對於某一個多值函式,如果能作出它的黎曼曲面,那么,函式在離曼曲面上就變成單值函式。
黎曼曲面理論是複變函數域和幾何間的一座橋樑,能夠使我們把比較深奧的函式的解析性質和幾何聯繫起來。關於黎曼曲面的研究還對另一門數學分支拓撲學有比較大的影響,逐漸地趨向於討論它的拓撲性質。
複變函數論中用幾何方法來說明、解決問題的內容,一般叫做幾何函式論,複變函數可以通過共形映象理論為它的性質提供幾何說明。導數處處不是零的解析函式所實現的映象就都是共形映象,共形映象也叫做保角變換。共形映象在流體力學、空氣動力學、彈性理論、靜電場理論等方面都得到了廣泛的套用。
留數理論是複變函數論中一個重要的理論。留數也叫做殘數,它的定義比較複雜。套用留數理論對於複變函數積分的計算比起線積分計算方便。計算實變函式定積分,可以化為複變函數沿閉迴路曲線的積分後,再用留數基本定理化為被積分函式在閉合迴路曲線內部孤立奇點上求留數的計算,當奇點是極點的時候,計算更加簡潔。
把單值解析函式的一些條件適當地改變和補充,以滿足實際研究工作的需要,這種經過改變的解析函式叫做廣義解析函式。廣義解析函式所代表的幾何圖形的變化叫做擬保角變換。解析函式的一些基本性質,只要稍加改變後,同樣適用於廣義解析函式。
廣義解析函式的套用範圍很廣泛,不但套用在流體力學的研究方面,而且象薄殼理論這樣的固體力學部門也在套用。因此,自2002年來這方面的理論發展十分迅速。
從柯西算起,複變函數論已有170多年的歷史了。它以其完美的理論與精湛的技巧成為數學的一個重要組成部分。它曾經推動過一些學科的發展,並且常常作為一個有力的工具被套用在實際問題中,它的基礎內容已成為理工科很多專業的必修課程。2002年,複變函數論中仍然有不少尚待研究的課題,所以它將繼續向前發展,並將取得更多套用 。
常用函式
實函式
實函式(Real function),指定義域和值域均為實數域的函式。實函式的特性之一是可以在坐標上畫出圖形。
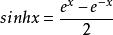
雙曲函式
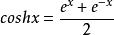
函式[數學函式]雙曲正弦:
函式[數學函式]雙曲餘弦:
函式[數學函式]雙曲正切:
函式[數學函式]雙曲餘切:
隱函式
函式[數學函式]若能由方程F(x,y)=0 確定y為x的函式y=f(x),即 ,就稱y是x的隱函式。
而此處方程F(x,y )= 0 並非函式。
多元函式
多元函式( n-元函式)是指輸入值為 n-元組的函式。或者說,若一函式的輸入值域為 n個集合的笛卡爾積的子集,這函式就是 n-元函式。
其他
此外經常用到的函式還有高斯函式,階梯函式和脈衝函式。
![函式[數學函式] 函式[數學函式]](/img/f/c49/nBnauM3X0MDM5EDN3UTO2IDN0UTMyITNykTO0EDMwAjMwUzL1kzLxYzLt92YucmbvRWdo5Cd0FmLyE2LvoDc0RHa.jpg)
