介紹
數論函式的一種,其定義域與值域都是自然數集,只是由於構作函式方法的不同而有別於其他的函式。處處有定義的函式叫做全函式,未必處處有定義的函式叫做部分函式。最簡單又最基本的函式有三個:零函式O(x)=0(其值恆為0);射影函式
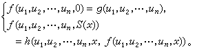
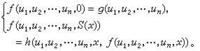
;後繼函式S(x)=x+1。它們合稱初始函式。要想由舊函式作出新函式,必須使用各種運算元。 代入(又名複合或疊置)是最簡單又最重要的造新函式的運算元,其一般形狀是:由一個m元函式ƒ與m個n元函式 g1,g2,…,gm 造成新函式 ƒ (g1(x1,x2,…,xn),g2(x1,x2,…,xn),…,gm(x1,x2,…,xn)),亦可記為ƒ(g1,g2,…,gm)(x1,x2,…,xn)。另一個造新函式的運算元是原始遞歸式。具有n個參數u1,u2,…,un的原始遞歸式為:


由初始函式出發,經過有限次的代入與原始遞歸式而作出的函式叫做原始遞歸函式。由於初始函式顯然是全函式且可計算,故原始遞歸函式都是全函式且可計算。通常使用的數論函式全是原始遞歸函式,可見原始遞歸函式是包括很廣的。但是W.阿克曼證明了,可以作出一個可計算的全函式,它不是原始遞歸的。經過後人改進後,這個函式可寫為如下定義的阿克曼函式:

另一個重要的造新函式的運算元是造逆函式的運算元,例如,由加法而造減法,由乘法造除法等。一般,設已有函式ƒ(u,x),就x解方程ƒ(u,x)=t,可得x=g(u,t)。這時函式g叫做ƒ的逆函式。至於解一般方程ƒ(u,t,x)=0而得x=g(u,t)可以看作求逆函式的推廣。解方程可以看作使用求根運算元。ƒ(u,t,x)=0的最小x根(如果有根的話),記為μx【ƒ(u,t,x)=0】。當方程沒有根時,則認為μx【ƒ(u,t,x)=0】沒有定義。可見,即使ƒ(u,t,x)處處有定義且可計算,但使用求根運算元後所得的函式μx【ƒ(u,t,x)=0】仍不是全函式,可為部分函式。但只要它有定義,那就必然可以計算。這運算元稱為μ運算元。如果ƒ(u,t,x)本身便是部分函式,則 μx【ƒ(u,t,x)=0】的意義是:當ƒ(u,t,n)可計算且其值為0,而x<n時ƒ(u,t,x)均可計算而其值非0,則 μx【ƒ(u,t,x)=0】指n;其他情況則作為無定義。例如,如果ƒ(u,t,x)=0根本沒有根,或者雖然知道有一根為n,但ƒ(u,t,n-1)不可計算,那么 μx【ƒ(u,t,x)=0】都作為沒有定義。在這樣定義後,只要 μx【ƒ(u,t,x)=0】有值便必可計算。由初始函式出發,經過有窮次使用代入、原始遞歸式與 μ運算元而作成的函式叫做部分遞歸函式,處處有定義的部分遞歸函式稱為全遞歸函式,或一般遞歸函式。
原始遞歸函式類里還有一個重要的子類稱為初等函式類,它是由非負整數與變元經過有窮次加、算術減(即|α-b|)、乘、算術除
、疊加Σ、疊乘П而得的函式組成的類。 波蘭人A.格熱高契克把原始遞歸函式類按定義的複雜程度來分類,稱為格熱高契克分層或波蘭分層。
要把遞歸函式套用於謂詞,首先要定義謂詞的特徵函式。謂詞R(x,y)的特徵函式是


可以構造許多原始遞歸的配對函式。
遞歸函式也可以用來處理符號串。處理的辦法是對符號及符號串配以自然數。這方法是K.哥德爾開始引進的,因此稱為哥德爾配數法。例如,在要處理的符號系統{α1,α2,α3,…}中,可以用奇數1,3,5,7,…作為α1,α2,α3,α4,…的配數,符號串
以
為其配數,其中Ps是第s個素數,nij是αij的配數。這種配數稱為哥德爾配數。有了哥德爾配數法,就可以用遞歸函式來描寫、處理有關符號串的謂詞了。
計算
數論函式的一種,其定義域與值域都是自然數集,只是由於構作函式方法的不同而有別於其他的函式。處處有定義的函式叫做全函式,未必處處有定義的函式叫做部分函式。最簡單又最基本的函式有三個:零函式O(x)=0(其值恆為0);射影函式;後繼函式S(x)=x+1。它們合稱初始函式。要想由舊函式作出新函式,必須使用各種運算元。代入(又名複合或疊置)是最簡單又最重要的造新函式的運算元,其一般形狀是:由一個m元函式?與m個n元函式g1,g2,…,gm造成新函式?(g1(x1,x2,…,xn),g2(x1,x2,…,xn),…,gm(x1,x2,…,xn)),亦可記為?(g1,g2,…,gm)(x1,x2,…,xn)。另一個造新函式的運算元是原始遞歸式。具有n個參數u1,u2,…,un的原始遞歸式為:(圖1)
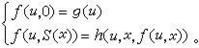
具有一個參數的原始遞歸式可簡寫為:(圖2)
遞歸函式1
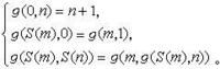
遞歸函式2其特點是,不能由g、h兩函式直接計算新函式的一般值?(u,x),而只能依次計算?(u,0),?(u,1),?(u,2),…;但只要依次計算,必能把任何一個?(u,x)值都算出來。換句話說?只要g,h為全函式且可計算,則新函式f也是全函式且可計算。由初始函式出發,經過有限次的代入與原始遞歸式而作出的函式叫做原始遞歸函式。由於初始函式顯然是全函式且可計算,故原始遞歸函式都是全函式且可計算。通常使用的數論函式全是原始遞歸函式,可見原始遞歸函式是包括很廣的。但是W.阿克曼證明了,可以作出一個可計算的全函式,它不是原始遞歸的。經過後人改進後,這個函式可寫為如下定義的阿克曼函式:(圖3)
遞歸函式3容易看出,這個函式是處處可計算的。任給m,n的值,如果m為0,可由第一式算出;如果m不為0而n為0,可由第二式化歸為求g(m,1)的值,這時第一變目減少了;如果m,n均不為0,根據第三式可先計算g(m,n-1),設為α,再計算g(m-1,α),前者第二變目減少(第一變目不變),後者第一變目減少。極易用歸納法證得,這樣一步一步地化歸,最後必然化歸到第一變目為0,從而可用第一式計算。所以這個函式是處處可計算的。此外又容易證明,對任何一個一元原始遞歸函式?(x),永遠可找出一數α使得?(x)<g(α,x)。這樣,g(x,x)+1便不是原始遞歸函式,否則將可找出一數b使得g(x,x)+1<g(b,x)。令x=b,即得g(b,b)+1<g(b,b),而這是不可能的。
遞歸函式4
遞歸函式5
遞歸函式6可見,即使?(u,t,x)處處有定義且可計算,但使用求根運算元後所得的函式μx【?(u,t,x)=0】仍不是全函式,可為部分函式。但只要它有定義,那就必然可以計算。這運算元稱為μ運算元。如果?(u,t,x)本身便是部分函式,則μx【?(u,t,x)=0】的意義是:當?(u,t,n)可計算且其值為0,而x<n時?(u,t,x)均可計算而其值非0,則μx【?(u,t,x)=0】指n;其他情況則作為無定義。例如,如果?(u,t,x)=0根本沒有根,或者雖然知道有一根為n,但?(u,t,n-1)不可計算,那么μx【?(u,t,x)=0】都作為沒有定義。在這樣定義後,只要μx【?(u,t,x)=0】有值便必可計算。由初始函式出發,經過有窮次使用代入、原始遞歸式與μ運算元而作成的函式叫做部分遞歸函式,處處有定義的部分遞歸函式稱為全遞歸函式,或一般遞歸函式。
原始遞歸函式類里還有一個重要的子類稱為初等函式類,它是由非負整數與變元經過有窮次加、算術減(即|α-b|)、乘、算術除(圖2)、疊加Σ、疊乘П而得的函式組成的類。
波蘭人A.格熱高契克把原始遞歸函式類按定義的複雜程度來分類,稱為格熱高契克分層或波蘭分層。要把遞歸函式套用於謂詞,首先要定義謂詞的特徵函式(圖6)
。謂詞R(x,y)的特徵函式是(圖4):
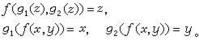
稱謂詞R是遞歸謂詞,若R的特徵函式是遞歸函式;稱自然數子集A為遞歸集,若謂詞x∈A是遞歸謂詞。有了上述定義,就可以用遞歸函式來處理遞歸謂詞和遞歸集。為了處理N×N(其中N為自然數集)的子集,就要建立配對函式,所謂配對函式通常是指由N×N到N的一個函式?(x,y)與它的逆函式g1(z),g2(z)。它們都滿足以下關係:(圖5)
可以構造許多原始遞歸的配對函式。
遞歸函式也可以用來處理符號串。處理的辦法是對符號及符號串配以自然數。這方法是K.哥德爾開始引進的,因此稱為哥德爾配數法。例如,在要處理的符號系統{α1,α2,α3,…}中,可以用奇數1,3,5,7,…作為α1,α2,α3,α4,…的配數,為其配數,其中Ps是第s個素數,nij是αij的配數。這種配數稱為哥德爾配數。有了哥德爾配數法,就可以用遞歸函式來描寫、處理有關符號串的謂詞了。
運用
C++語言
(一)
目的:將1號和2號從A移到B
調用函式:hanoi(2,'A','C','B')。
在hanoi(2,'A','C','B')中遞歸調用如下:
A-->C----hanoi(1,'A','B','C')
A-->B----hanoi(1,'A','C','B')
C-->B----hanoi(1,'C','A','B')
(二)
目的:將3號從A移到C
調用函式:hanoi(1,'A','B','C')
A-->C
(三)
目的:將1號和2號從B移到C
調用函式:hanoi(2,'B','A','C')
在hanoi(2,'B','A','C')中遞歸遞歸如下:
B-->A----hanoi(1,'B','C','A')
B-->C----hanoi(1,'B','A','C')
A-->C----hanoi(1,'A','B','C')
總共調用了7次函式,
只要hanoi()的第一個參數大於1,它就會在內部調用自身3次,“直到第一個參數=1,然後調用printf()”。
hanoi(n,...)調用hanoi(1,...)的次數為2的n次方減去一。
【pascal語言】
functiondo(x:integer);
begin
ifx<=1thenexit(0)
elseifx>1thenexit(do(x-1)+10)
end;
【C++語言】用遞歸法計算1+2+。。。N的值。
#include<iostream.h>
intfn(inti);
voidmain()
{
intN;
cout<<"\n輸入一個正整數:";
cin>>N;
cout<<"\n1+2+...+"<<N<<"的結果是:"<<fn(N)<<"\n";
} //遞歸函式的定義
intfn(inti)
{
if(i==1)
return1;
else
returni+fn(i-1);
}
正確寫出如何快速正確的寫出遞歸函式?寫一個遞歸函式是非常程式化的東西,只要按照一定的規則來寫,就可以很容易地寫出遞歸函式。寫遞歸函式有三步:
①寫出疊代公式;
②確定遞歸終止條件;
③將①②翻譯成代碼。以求n!為例:
①寫出疊代公式:n!的疊代公式為
②確定遞歸終止條件:1!=1就是遞歸終止條件
③將①②翻譯成代碼:將疊代公式等號右邊的式子寫入return語句中,即return(fact(n-1))*n;將1!=1翻譯成判斷語句:if(n==1)return1;按照先測試,後遞歸的原則寫出代碼。longfact(intn){if(n==1)return1;return(fact(n-1))*n;}下面再舉一個例子,希望能幫助大家進一步體會這一原則
寫一個函式,求:f(n)=1+2+3+……+n的值
①寫出疊代公式:疊代公式為②確定遞歸終止條件:f(1)=1就是遞歸終止條件
③將①②翻譯成代碼:將疊代公式等號右邊的式子寫入return語句中,即return(Sum(n-1))+n;將1!=1翻譯成判斷語句:if(n==1)return1;按照先測試,後遞歸的原則寫出代碼。longSum(intn){if(n==1)return1;return(Sum(n-1))+n;}
Oracle用法
Oraclestartwithconnectby用法
oracle中connectbyprior遞歸算法
Oracle中startwith...connectbyprior子句用法connectby是結構化查詢中用到的,其基本語法是:
select...fromtablenamestartwith條件1
connectby條件2
where條件3;
例:
select*fromtable
startwithorg_id='HBHqfWGWPy'
connectbypriororg_id=parent_id;
簡單說來是將一個樹狀結構存儲在一張表里,比如一個表中存在兩個欄位:
org_id,parent_id那么通過表示每一條記錄的parent是誰,就可以形成一個樹狀結構。
用上述語法的查詢可以取得這棵樹的所有記錄。
其中:
條件1是根結點的限定語句,當然可以放寬限定條件,以取得多個根結點,實際就是多棵樹。
條件2是連線條件,其中用PRIOR表示上一條記錄,比如CONNECTBYPRIORorg_id=parent_id就是說上一條記錄的org_id是本條記錄的parent_id,即本記錄的父親是上一條記錄。
條件3是過濾條件,用於對返回的所有記錄進行過濾。
簡單介紹如下:
早掃描樹結構表時,需要依此訪問樹結構的每個節點,一個節點只能訪問一次,其訪問的步驟如下:
第一步:從根節點開始;
第二步:訪問該節點;
第三步:判斷該節點有無未被訪問的子節點,若有,則轉向它最左側的未被訪問的子節,並執行第二步,否則執行第四步;
第四步:若該節點為根節點,則訪問完畢,否則執行第五步;
第五步:返回到該節點的父節點,並執行第三步驟。
總之:掃描整個樹結構的過程也即是中序遍歷樹的過程。

