數論函式
正文
以正整數為定義域的函式ƒ(n),例如數列{αn}、階乘n!、冪nλ等都是數論函式。重要的數論函式 設n的標準分解式為
。 ①麥比烏斯函式

② 歐拉函式φ(n) 表示與 n互素且不超過n的正整數的個數,易證
,
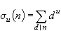
。關於歐拉函式,有一個迄今尚未解決的猜想:不存在複合數n使得φ(n)|n-1。這個猜想是1932年由D.H.萊默爾提出來的。1962年,柯召和孫琦證明了這樣的複合數存在,n至少是12個不同的奇素數的乘積;1980年,G.L.科恩和P.哈吉斯用計算機改進到 n至少是14個不同的奇素數的積。 ③除數函式

σ1(n)=σ(n),正整數n滿足σ(n)=2n時,n就叫做完全數。 ④曼格爾德特函式



狄利克雷卷積 設ƒ1(n)和ƒ2(n)是兩個數論函式,則
叫做ƒ1(n)和ƒ2(n)的狄利克雷卷積,記為ƒ1(n)*ƒ2(n)=ƒ(n)。顯然,ƒ(n)也是一個數論函式, 且有

這裡ƒ3(n)也是一個數論函式。狄利克雷卷積是研究數論函式的重要概念。可以證明:全體ƒ(1)≠0的數論函式ƒ(n),對於狄利克雷乘積*組成一個阿貝爾群。 積性函式和完全積性函式 若(m,n)=1,有ƒ(mn)=ƒ(m)ƒ(n),稱數論函式ƒ(n)為積性函式;若對任意正整數m、n,都有ƒ(mn)=ƒ(m)ƒ(n),則稱數論函式 ƒ(n)為完全積性函式,例如墹(n)、nλ是完全積性函式,μ(n)、φ(n)、σu(n)是積性函式,但不是完全積性函式。曼格爾德特函式Λ(n)是非積性函式。積性函式有下列性質:①若ƒ(n)是一個非恆等於0的積性函式,則有ƒ(1)=1和
②若ƒ1(n)和ƒ2(n)都是積性函式,則ƒ1(n)*ƒ2(n)也是積性函式;③若ƒ1(n)*ƒ2(n)和ƒ2(n)是積性函式,則ƒ1(n)也是積性函式。 麥比烏斯反演公式 設n為正整數,若
則有
反之亦然。這就是著名的麥比烏斯反演公式,它還有乘積表達式。
則
麥比烏斯反演公式是R.戴德金1857年給出的,它有多種推廣形式,在數論和組合數學中都很有用。例如由
,用麥比烏斯反演公式立即可得
。因為nu是積性函式,所以
也是積性函式,於是容易求得σu(n)的表達式。以素數 p為模,把多項式xp
-x分解為不可約多項式之積,設其素因式的次數為m,已知m|n,反之,任一個m(m|n)次不可約多項式一定是該式的因式,設φn表示對模p的n次不可約多項式的個數,故有
由麥比烏斯反演公式得
,故得φn>0,即知道元素個數為pn的有限域存在。