概念
代數數論 是引申代數數的話題,關於代數整數的研究,主要的研究目標是為了更一般地解決不定方程的問題,而為了達到此目的,這個領域與代數幾何之間的關聯尤其緊密。
簡單的說就是一種方程解的趨向研究,研究的是解的存在性特殊值和分布,而對解本身的定值不一般不做研究。相關的高維導數高維方程原理,實變函式,高維幾何,泛函分析中皆有涉及。
屬於數學系專有課程,一般本科學一些,研究生學一些。
介紹
代數數論主要起源於費馬大定理的研究。法國數學家P.de費馬在學習與翻譯丟番圖的《算術》一書時,在書邊上寫下了著名的"大定理",即方程xn +yn =zn (n>2)沒有xyz≠0的整數解。他說他已得到了這個結果的證明,由於地方太小而未寫下。可是直到現在,三百多年來經過許多數學家的努力,這個“大定理”還沒有能夠得到證明。
容易看出,這個結果的證明,可以歸結到n=4以及n為奇素數的情形。費馬本人給出了n=4的證明,L.歐拉與A.-M.勒讓德證明了n=3的情形,P.G.L.狄利克雷證明了n=5的情形。雖然對於許多奇素數,人們已經證明了這個結果,但始終沒有得到一個一般的證明。
E.E.庫默爾是努力證明費馬大定理的數學家之一。他利用n次本原單位根
把方程xn +yn =zn 寫成
,他以為在分圓域
中,“整數”也象普通整數一樣,可以惟一地分解成素數的乘積。在這個前提下,庫默爾給出費馬大定理的證明。不久,他自己發現他的假定是錯誤的,即在分圓域中,“整數”分解成素數的乘積不具有惟一性。這個發現使庫默爾引入“理想數”的概念,他隨之證明了,每個“理想數”可以惟一地分解成素因子的乘積,因而就建立了分圓域上的數論。J.W.R.戴德金把庫默爾的工作系統化並推廣到一般的代數數域,為代數數論奠定了基礎。
C.F.高斯關於二元二次型的深入研究也引起了二次數域算術的研究。
有理數域Q上的有限擴張K稱為有限次的代數數域,K對Q的次數n=【K:Q】就是指K作為Q上線性空間的維數。K中每個元素都是一個次數不超過n的有理係數多項式
(1)
的根。因為乘一非零整數後,多項式的根不變,所以不妨假定(1)是整係數多項式。如果K中元素α使一個首項係數為1(即α0=1)的整係數多項式(1)為零,那么α就稱為一代數整數。K中全體代數整數組成一個具有單位元素的交換整環OK。對於環OK中的理想A、B定義乘法:
即由A、B中元素之積的有限和組成的集合,顯然,AB也是OK的理想。一個理想P稱為素理想,就是指由αβ∈P必有α∈P或β∈P。可以證明,在代數整數環OK中,每個非零理想A都可以惟一地分解成素理想的乘積,即A=P1P2…Pt,其中Pi(i=1,2,…,t)是素理想。在通常的整數環Z中,每個理想都是由一非負整數的倍數所組成,因之,非零理想與正整數是一一對應的。由此可見,關於理想分解的定理正是通常整數的因子分解定理的一個推廣。
OK的全體非零理想組成一乘法半群,OK就是這個乘法半群的單位元素。為了方便,引入分式理想的概念。如果K的一個子集合A是一個有限生成的OK模,那么A就稱為一分式理想。顯然,理想全是分式理想。由K中任一元素α的整數倍rα(r∈OK)組成的集合也是分式理想,它們稱為主分式理想。對於分式理想可以同樣地定義乘法。可以證明,K中全體非零的分式理想在乘法下成一群,而且每個分式理想A都可以惟一地表成素理想方冪的乘積
這個群稱為K的理想群,記為IK。
環OK中可逆元素稱為單位。全體單位組成一乘法群,記為UK。顯然,K中非零元素α生成的主理想(α)=OK的充分必要條件是α∈UK。下面的正合列是基本的:
, (2)
其中K* 表示K中全體非零元素組成的乘法群,而φ把K* 中元素映射到它生成的主理想,
CK稱為K的理想類群,其元素是理想類。按定義IK,中兩個理想A、B屬於同一類,若且唯若有α∈K* 使A=αB。代數數論中一個基本的事實是:CK為一有限阿貝爾群,hK=|CK|稱為K的類數。當hK=1,即每個理想都是主理想,OK為一主理想環,從而因子分解惟一性定理成立。在一定意義上,理想類群CK與類數hK反映了代數數域K在算術上的複雜性。直到現在,類群結構的研究與類數的計算,始終是代數數論中重要問題之一。即使是二次域類數的計算也是很困難的,近年來一個值得注意的進展是:A.貝克和H.M.斯塔爾克各自獨立地於1966年和1967年確定出類數是 1的全部虛二次域
它們分別是d=1,2,3,7,11,19,43,67,163等9個。
正合列(2)的另一端是單位群UK,它的結構已被狄利克雷完全決定。他證明了UK=HK×VK,式中HK為K中全部單位根組成的有限群,VK是一秩為r1+r2-1的自由阿貝爾群,r1為K到實數域R同構的個數,2r2為K到複數域C 同構(非實的)個數。VK的一組基稱為基本單位組。具體算出基本單位組是代數數論中又一個重要的問題。基本單位組與類數有密切的聯繫。
整數環中一個素數p 在OK中生成一個理想pOK,一般地,它不一定是OK中的素理想。研究素數p 在OK中的素理想分解的規律,是代數數論中一個中心問題。下面把這個問題放在一個更廣的形式下來討論。
設L是代數數域K上的一個l次擴張,L當然仍是一個代數數域。它的代數整數環為OL,顯然,
且OL為OK的一個有限生成模。
如果OL是OK上一自由模(秩一定是l),那么在OL中就有l個元素r1,r2,…,rl構成OL的一組基,即
這樣的元素組r1,r2,…,rl稱為OL對於OK的一組整基。當OK是主理想環時,由主理想環上有限生成模的結構定理可知,OL對於OK一定有整基。特別地,代數整數環OK對於整數環Z一定有整基。在一般的情況下,整基不一定存在。
設P是OK中一個素理想。POL是OL中一個理想,它在OL中有素理想分解
(3)
因為代數整數環是戴德金環,素理想都是極大理想,即代數整數環對於素理想的商環是域。對於(3),可以證明Qi∩OK=P,i=1,2,…,g。因而OK/P可以看作OL/Qi的子域。令
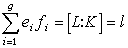
它稱為Qi對於P的剩餘次數,ei稱為Qi對於P的分歧指數。於是有
(4)
如果在(3)中有某個ei>1,即POL被素理想Qi的平方整除,就說P在L中分歧,而Qi就稱為在K上分歧。否則就稱為非分歧。如果OK中所有的素理想在L中都是非分歧的,L就稱為K的一個非分歧擴張。
判別式與差積是刻畫分歧的兩個重要概念。令Tr表示有限擴張L到K的跡。對於L中任意l個元素v1,v2,…,vl,可知det│Tr(vi,vj)│=0的充分必要條件是v1,v2,…,vl,在K上線性相關。在OL中取l個在K上線性無關的元素v1,v2,…,vl,作
對於OL中所有可能的線性無關的元素組v1,v2,…,vl,det│Tr(vi,vj)│在OK中生成一個理想Δ(L/K),它稱為L對於K的判別式。可以證明,OK中素理想P在L中分歧,若且唯若P|Δ(L/K)。由此可知,K中分歧的素理想只有有限多個,且L為非分歧擴張的充分必要條件是:Δ(L/K)=OK。利用判別式可以證明,有理數域上沒有次數大於1的非分歧擴張。
在L中定義C={v∈L│Tr(vOL)嶅OK},顯然C 是L的一個分式理想,且C叾OL。令 δ(L/K)=C-1 ,它是OL中一個理想,稱為L對於K的差積。可以證明,OL中素理想Q在K上分歧,若且唯若Q|δ(K/L)。差積與判別式有密切聯繫。
研究代數數域的算術性質與代數性質之間的聯繫,是代數數論的一個重要的方面。
設L/K是一伽羅瓦擴張,g=g(L/K)是伽羅瓦群。可以證明,在分解式(3)中,素理想Q1,Q2,…,Qg在伽羅瓦群g下是可遷的,因而有

即對於OK中素理想P有
且Q1,Q2,…,Qg有相同的剩餘次數ƒ。公式(4) 就成為l=eƒg。 令 D1為Q1在g中的穩定子群,即
,顯然【g:D1】=g,|D1|=eƒ。令 岧=OL/Q1,噖=OK/P,於是D1中每個元素誘導出岧/噖的一個自同構。可以證明,
是一滿同態。令K1為這個同態的核,顯然,【D1:K1】=ƒ,│K1│=e,D1稱為Q1的分解群,K1稱為Q1的惰性群。對Qi相應地有子群Di與Ki, 在g中它們分別與D1與K1共軛。當 P非分歧時,
(因噖、岧是有限域)。由伽羅瓦基本定理,相應地有一串域
是L的一個最大的域,P在其中不分歧。當P分歧時,群K1還可進一步細分,即定義所謂高階分歧群。這是由D.希爾伯特建立的一套重要的理論,稱為希爾伯特分歧理論。
對於代數數域上的阿貝爾擴張,有很深刻的結果,即所謂類域論。
書籍
基本信息
中文名:代數數論
作者:馮克勤
圖書分類:教育/科技
出版社:科學出版社
書號:7-03-008190-0
發行時間:2000年7月
地區:大陸
語言:簡體中文
內容介紹
本書為《中國科學院研究生教學叢書》之一.
代數數論是研究代數數域和代數整數的一門學問.本書的主要內容是經典代數數論.全書共分三部分:第一、二部分為代數理論和解析理論,全面介紹了19世紀代數數論的成就;第三部分為局部域理論,簡要介紹了20世紀代數數論的一些內容.附錄中給出了本書用到的近世代數的基本知識和進一步學習代數數論的建議.每節末附有習題.
本書的讀者對象是大學數學系教師和高年級學生,也可作為研究生教材使用.
作者介紹
馮克勤,清華大學教授.1941年出生,1968年中國科學技術大學數學系研究生畢業.1973至2000年在中國科學技術大學數學系和研究生院(北京)任教,2000年後到清華大學數學系工作.從事代數數論和代數編碼理論研究.出版專著《分圓函式域》、《代數數論簡史》等,出版大學生和研究生教材《整數與多項式》、《近世代數引論》、《交換代數基礎》、《代數數論》和《代數與通信》等,主編叢書《走向數學》.
目錄
第一部分代數理論
1代數數域和代數整數環
![]() |
| 代數數論 |
1.1代數數域
1.2代數整數環
2整數環中的素理想分解
2.1分解的存在唯一性
2.2分歧指數,剩餘類域次數和分裂次數
2.3伽羅瓦擴域中的素理想分解
2.4Kronecker-Weber定理
3理想類群和單位群
3.1類群和類數
3.2Dirichlet單位定理
第二部分解析理論
4ζ(s),L(s,χ)和ζΚ(s)
4.1Dirichlet級數的一般理論
4.2Riemannzeta函式ζ(s)和DirichletL-函式L(s,χ)
4.3Dedekindzeta函式ζΚ(s)
5密度問題
5.1Dirichlet密度
5.2AbelL-函式,Чебтарёь密度定理
6Abel數域的類數公式
6.1Hasse類數公式
6.2二次域的類數公式
6.3分圓域的類數公式,Kummer的結果
第三部分局部域理論
7賦值和賦值域
7.1從例子談起:p進賦值
7.2賦值和賦值域
7.3離散賦值域
7.4分歧指數和剩餘類域次數
8完備化和賦值的擴充
8.1完備賦值域
8.2Hensel引理、牛頓逼近和牛頓折線
8.3賦值的擴充(完備情形)
8.4不分歧擴張和完全分歧擴張
8.5數域和它的局部化
9套用舉例
9.1關於費馬猜想的Kummer定理(第2種情形)
9.2有限域上多項式的零點
9.3有理數域上的二次型
9.4p進分析
9.5組合數學
結語:20世紀的數論:皇后與僕人
附錄Α關於群、環、域的一些知識
附錄Β進一步學習的建議


