概述
三角函式: 正弦, 餘弦, 正切, 正割, 餘割, 餘切三角函式在複數中有較為重要的套用。在物理學中,三角函式也是常用的工具。
它有六種基本函式(初等基本表示):
函式名分別是:正弦、餘弦、正切、餘切、正割、餘割
基本函式
少用函式
除六個基本函式,歷史上還有下面六個函式:歷史
隨著認識到相似三角形在它們的邊之間保持相同的比率,就有了在三角形的邊的長度和三角形的角之間應當有某種標準的對應的想法。就是說對於任何相似三角形,(比如)斜邊和剩下的兩個邊的比率都是相同的。如果斜邊變為兩倍長,其他邊也要變為兩倍長。三角函式表達的就是這些比率。
研究三角函式的有尼西亞的喜帕恰斯(公元前180-125年)、埃及的托勒密(公元90-180年)、Aryabhata(公元476-550年),Varahamihira、婆羅摩笈多、花拉子密、Abū al-Wafā' al-Būzjānī、歐瑪爾·海亞姆、婆什迦羅第二、Nasir al-Din al-Tusi、Ghiyath al-Kashi(14世紀)、Ulugh Beg(14世紀)、約翰·繆勒(1464)、Rheticus和 Rheticus 的學生 Valentin Otho。
Madhava of Sangamagramma(約1400)以無窮級數的方式做了三角函式的分析的早期研究。歐拉的《無窮微量解析入門》(Introductio in Analysin Infinitorum)(1748)對建立三角函式在歐洲的分析處理做了最主要的貢獻,他定義三角函式為無窮級數,並表述了歐拉公式,還有使用接近現代的簡寫 sin.、cos.、tang.、cot.、sec. 和 cosec.。
直角三角定義
坐標系在直角三角形中僅有銳角三角函式的定義。
1.一個銳角的正弦是它的對邊與斜邊的比值。在圖中,sinA = 對邊/斜邊 = a/h。
2.一個銳角的餘弦是它的鄰邊與斜邊的比值。在圖中,cosA= 鄰邊/斜邊 = b/h。
3.一個銳角的正切是它的對邊與鄰邊的比值。在圖中,tanA = 對邊/鄰邊 = a/b。
直角坐標系中
設α是平面直角坐標系xOy中的一個象限角,
函式
函式| 函式名 | 定義 | 函式名 | 定義 |
| 正弦 | ![]() | 餘弦 | ![]() |
| 正切 | ![]() | 餘切 | ![]() |
| 正割 | ![]() | 餘割 | ![]() |
單位圓定義
單位圓六個三角函式也可以依據半徑為一中心為原點的單位圓來定義。單位圓定義在實際計算上沒有大的價值;實際上對多數角它都依賴於直角三角形。但是單位圓定義的確允許三角函式對所有正數和負數輻角都有定義,而不只是對於在 0 和 π/2 弧度之間的角。它也提供了一個圖像,把所有重要的三角函式都包含了。根據勾股定理,單位圓的等式是:
。圖像中給出了用弧度度量的一些常見的角。逆時針方向的度量是正角,而順時針的度量是負角。設一個過原點的線,同 x 軸正半部分得到一個角 θ,並與單位圓相交。這個交點的 x 和 y 坐標分別等於 cos θ 和 sin θ。圖像中的三角形確保了這個公式;半徑等於斜邊且長度為1,所以有 sin θ = y/1 和 cos θ = x/1。單位圓可以被視為是通過改變鄰邊和對邊的長度,但保持斜邊等於 1的一種查看無限個三角形的方式。對於大於 2π 或小於 −2π 的角度,可直接繼續繞單位圓鏇轉。在這種方式下,正弦和餘弦變成了周期為 2π的周期函式:對於任何角度 θ 和任何整數 k。
周期函式的最小正周期叫做這個函式的“基本周期”(primitive period)。正弦、餘弦、正割或餘割的基本周期是全圓,也就是 2π 弧度或 360 度;正切或餘切的基本周期是半圓,也就是 π 弧度或 180 度。上面只有正弦和餘弦是直接使用單位圓定義的,其他四個三角函式可以定義為:
在正切函式的圖像中,在角 kπ 附近變化緩慢,而在接近角 (k 1/2)π 的時候變化迅速。正切函式的圖像在 θ = (k 1/2)π 有垂直漸近線。這是因為在 θ 從左側接進 (k 1/2)π 的時候函數接近正無窮,而從右側接近 (k 1/2)π 的時候函式接近負無窮。另一方面,所有基本三角函式都可依據中心為 O 的單位圓來定義,類似於歷史上使用的幾何定義。特別是,對於這個圓的弦 AB,這裡的 θ 是對向角的一半,sin(θ) 是 AC (半弦),這是印度的 Aryabhata(AD 476–550)介入的定義。cos(θ) 是水平距離 OC,versin(θ) = 1 − cos(θ) 是 CD。tan(θ) 是通過 A 的切線的線段 AE 的長度,所以這個函式才叫正切。cot(θ) 是另一個切線段 AF。 sec(θ) = OE 和 csc(θ) = OF 是割線(與圓相交於兩點)的線段,所以可以看作 OA 沿著 A 的切線分別向水平和垂直軸的投影。DE 是 exsec(θ) = sec(θ) − 1 (正割在圓外的部分)。通過這些構造,容易看出正割和正切函式在 θ 接近 π/2 (90 度)的時候發散,而餘割和餘切在 θ 接近零的時候發散。
級數定義
關其他級數可見於: 這裡的: 是n次上/下數, 是n次伯努利數, (下面的)是n次歐拉數。
在這種形式的表達中,分母是相應的階乘,分子稱為“正切數”,它有一個組合解釋:它們枚舉了奇數勢的有限集合的交錯排列(alternatingpermutation)。sec x
在這種形式的表達中,分母是對應的階乘,而分子叫做“正割數”,有組合解釋:它們枚舉偶數勢的有限集合的交錯排列。
cot x
從複分析的一個定理得出,這個實函式到複數有一個唯一的解析擴展。它們有同樣的泰勒級數,所以複數上的三角函式是使用上述泰勒級數來定義的。
與指數函式和複數的聯繫
可以從上述的級數定義證明正弦和餘弦函式分別是復指數函式在它的自變數為純虛數時候的虛數和實數部分:
這裡的i2=−1。還有對於純實數x,
函
函式複平面中的三角函式
![]() | ![]() | ![]() |
| sin(z) | cos(z) | tan(z) |
![]() | ![]() | ![]() |
| cot(z) | sec(z) | csc(z) |
微分方程定義
正弦和餘弦函式都滿足微分方程
函式就是說,每個都是它自己的二階導數的負數。在由所有這個方程的解的二維向量空間V中,正弦函式是滿足初始條件y(0)=0和y′(0)=1的唯一解,而餘弦函式是滿足初始條件y(0)=1和y′(0)=0的唯一解。因為正弦和餘弦函式是線性無關的,它們在一起形成了V的基。這種定義正弦和餘弦函式的方法本質上等價於使用歐拉公式。(參見線性微分方程)。很明顯這個微分方程不只用來定義正弦和餘弦函式,還可用來證明正弦和餘弦函式的三角恆等式。進一步的,觀察到正弦和餘弦函式滿足
函式正切函式是非線性微分方程
函式滿足初始條件y(0)=0的唯一解。有一個非常有趣的形象證明,證明了正切函式滿足這個微分方程。
弧度的重要性
弧度通過測量沿著單位圓的路徑的長度而指定一個角,並構成正弦和餘弦函式的特定輻角。特別是,只有映射弧度到比率的那些正弦和餘弦函式才滿足描述它們的經典微分方程。如果正弦和餘弦函式的弧度輻角是正比於頻率的
函式
函式
函式這意味著使用度的正弦的二階導數不滿足微分方程
函式但滿足
函式對餘弦也是類似的。
這意味著這些正弦和餘弦是不同的函式,因此只有它的輻角是弧度的條件下,正弦的四階導數才再次是正弦。
等式
三角函式之間存在很多恆等式,其中最常用的是畢達哥拉斯恆等式,它聲稱對於任何角,正弦的平方加上餘弦的平方總是1。這可從斜邊為1的直角三角形套用勾股定理得出。用符號形式表示,畢達哥拉斯恆等式為:
函式
函式在某些情況下裡面的括弧可以省略。
另一個關鍵的聯繫是和差公式,它根據兩個角度自身的正弦和餘弦而給出它們的和差的正弦和餘弦。它們可以用幾何的方法使用托勒密的論證方法推導出來;還可以用代數方法使用歐拉公式得出。
函式
函式這些等式還可以用來推導積化和差恆等式,以前曾用它把兩個數的積變換成兩個數的和而像對數那樣使運算更加快速。
微積分
三角函式的積分和導數可參見導數表、積分表和三角函式積分表。下面是六個基本三角函式的導數和積分的列表。
![]() | ![]() | ![]() |
![]() | ![]() | ![]() |
![]() | ![]() | ![]() |
![]() | ![]() | ![]() |
![]() | ![]() | ![]() |
![]() | ![]() | ![]() |
![]() | ![]() | ![]() |
利用函式方程定義三角函式
在數學分析中,可以利用基於和差公式這樣的性質的函式方程來定義三角函式。例如,取用給定此種公式和畢達哥拉斯恆等式,可以證明只有兩個實函式滿足這些條件。即存在唯一的一對實函式sin和cos使得對於所有實數x和y,下列方程成立:
函式
函式
函式並滿足附加條件
函式從其他函式方程開始的推導也是可能的,這種推導可以擴展到複數。作為例子,這個推導可以用來定義伽羅瓦域中的三角學。
三角函式公式總結
1.萬能公式
令tan(a/2)=t
sina=2t/(1+t^2)
cosa=(1-t^2)/(1+t^2)
tana=2t/(1-t^2)
2.輔助角公式
asint+bcost=(a^2+b^2)^(1/2)sin(t+r)
cosr=a/[(a^2+b^2)^(1/2)]
sinr=b/[(a^2+b^2)^(1/2)]
tanr=b/a
3.三倍角公式
sin(3a)=3sina-4(sina)^3
cos(3a)=4(cosa)^3-3cosa
tan(3a)=[3tana-(tana)^3]/[1-3(tana^2)]
4.積化和差
sina*cosb=[sin(a+b)+sin(a-b)]/2
cosa*sinb=[sin(a+b)-sin(a-b)]/2
cosa*cosb=[cos(a+b)+cos(a-b)]/2
sina*sinb=-[cos(a+b)-cos(a-b)]/2
5.積化和差
sina+sinb=2sin[(a+b)/2]cos[(a-b)/2]
sina-sinb=2sin[(a-b)/2]cos[(a+b)/2]
cosa+cosb=2cos[(a+b)/2]cos[(a-b)/2]
cosa-cosb=-2sin[(a+b)/2]sin[(a-b)/2]
計算
生成三角函式表
有計算機之前,人們通常通過對計算到多個有效數字的三角函式表的內插來計算三角函式的值。這種表格在人們剛剛產生三角函式的概念的時候就已經有了,它們通常是通過從已知值(比如sin(π/2)=1)開始並重複套用半角和和差公式而生成。
現代計算機使用了各種技術。一個常見的方式,特別是在有浮點單元的高端處理器上,是組合多項式或有理式逼近(比如切比雪夫逼近、最佳一致逼近和Padé逼近,和典型用於更高或可變精度的泰勒級數和羅朗級數)和範圍簡約與表查找—首先在一個較小的表中查找最接近的角度,然後使用多項式來計算修正。在缺乏硬體乘法器的簡單設備上,有叫做CORDIC算法的一個更有效的算法(和相關技術),因為它只用了移位和加法。出於性能的原因,所有這些方法通常都用硬體來實現。
對於非常高精度的運算,在級數展開收斂變得太慢的時候,可以用算術幾何平均來逼近三角函式,它自身通過複數橢圓積分來逼近三角函式。
精確三角函式常數
最後對於一些簡單的角度,使用畢達哥拉斯定理可以很容易手工計算三角函式的值,像下面例子這樣。事實上,π/60弧度(3°)的任何整數倍的正弦、餘弦和正切都可以手工計算。
考慮等腰直角三角形,兩個角都是π/4弧度(45°)。鄰邊b和對邊a的長度相等;我們可以選擇a=b=1。π/4弧度(45°)的角的正弦、餘弦和正切可以通過畢達哥拉斯定理來計算:
函式所以:
函式要確定π/3弧度(60度)和π/6弧度(30度)角的三角函式,我們可以從邊長為1的等邊三角形開始。它所有的角都是π/3弧度(60度)。把它等分為二,我們便得到一個角是π/6弧度(30度)和一個角是π/3弧度(60度)的直角三角形。這個三角形中,最短的邊=1/2、第二短的邊=(√3)/2而斜邊=1。得出:
| 函式名 | ![]() | ![]() | ![]() | ![]() | ![]() | ![]() | ![]() |
| sin | 0 | ![]() | ![]() | ![]() | ![]() | ![]() | 1 |
| cos | 1 | ![]() | ![]() | ![]() | ![]() | ![]() | 0 |
| tan | 0 | ![]() | ![]() | 1 | ![]() | ![]() | ![]() |
| cot | ![]() | ![]() | ![]() | 1 | ![]() | ![]() | 0 |
| sec | 1 | ![]() | ![]() | ![]() | 2 | ![]() | ![]() |
| csc | ![]() | ![]() | 2 | ![]() | ![]() | ![]() | 1 |
反三角函式
由於三角函式屬於周期函式,而不是單射函式,所以嚴格來說並沒有反函式。因此要定義其反函式必須先限制三角函式的定義域,使得三角函式成為雙射函式。基本的反三角函式定義為:
| 反三角函式 | 定義 | 值域 |
![]() | ![]() | ![]() |
![]() | ![]() | ![]() |
![]() | ![]() | ![]() |
![]() | ![]() | ![]() |
![]() | ![]() | ![]() |
![]() | ![]() | ![]() |
對於反三角函式,符號sin−1和cos−1經常用於arcsin和arccos。使用這種符號的時候,反函式可能跟三角函式的倒數混淆。使用“arc-”前綴的符號避免了這種混淆,儘管“arcsec”可能偶爾跟“arcsecond”混淆。
正如正弦和餘弦那樣,反三角函式也可以根據無窮級數來定義。例如,
函式這些函式也可以通過證明它們是其他函式的原函式來定義。例如反正弦函式,可以寫為如下積分:
函式可以在反三角函式條目中找到類似的公式。使用複對數,可以把這些函式推廣到複數輻角上:
函式
函式
函式性質和套用
三角函式,正如其名稱那樣,在三角學中是十分重要的,主要是因為下列兩個結果。
正弦定理
正弦定理聲稱對於邊長為a,b和c而相應角為A,B和C的三角形,有:
函式也可表示為:
函式其中R是三角形的外接圓半徑。
利薩茹曲線,一種三角基的函式形成的圖像。
函式也可表示為:
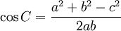
函式這個定理也可以通過把三角形分為兩個直角三角形來證明。餘弦定理用於在一個三角形的兩個邊和一個角已知時確定未知的數據。
如果這個角不是兩條邊的夾角,那么三角形可能不是唯一的(邊-邊-角)。要小心餘弦定理的這種歧義情況。
正切定理
正切定理:
函式周期函式
諧波數目遞增的方波的加法合成的動畫。三角函式在一般周期函式的研究中也很有用。這些函式有作為圖像的特徵波模式,在描述循環現象比如聲波或光波的時候是很有用的。每一個信號都可以記為不同頻率的正弦和餘弦函式的(通常是無限的)和;這是傅立葉分析的基礎想法,這裡的三角級數可以用來解微分方程的各種邊值問題。例如,方波可以寫為傅立葉級數
函式在右邊的動畫中,可以看到只用少數的項就已經形成了非常準確的估計。
三角函式的套用
一元三次方程的解是三個不相等的實根時,可用三角函式知識求出方程的解。
一元三次方程aX^3+bX^2+cX+d=0,(a,b,c,d∈R,且a≠0)
重根判別式:A=b^2-3ac;B=bc-9ad;C=c^2-3bd。
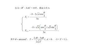
總判別式:Δ=B^2-4AC。
盛金公式4例:一建築物的樓頂要建一個儲水池,按施工的設計要求,這個儲水池的長、寬、高之和為70.5dm(為了減少占用樓頂面積,取長>高>寬),滿儲水量為10082.44(dm)^3,立體對角線為1903.17dm,問:如何施工才能達到設計要求?
解:設取長、寬、高分別為X⑴、X⑵、X⑶,依題意:
X⑴+X⑵+X⑶=70.5
X⑴·X⑵·X⑶=10082.44
X⑴^2+X⑵^2+X⑶^2=1903.17。
解這個方程組。
根據韋達定理,得一元三次方程:
X^3-70.5X^2+1533.54X-10082.44=0
a=1,b=-70.5,c=1533.54,d=-10082.44。
A=369.63;B=-17372.61;C=219308.8716,
Δ=-22444974.63<0。
根據盛金判別法,此方程有三個不相等的實根。
套用盛金公式4求解。
θ=90°。
把有關值代入盛金公式④,得:
X⑴=12.4(dm);X⑵=34.6(dm);X⑶=23.5(dm)。
經檢驗,結果正確。
因為取長>高>寬,
所以,應取長為34.6dm;高為23.5dm;寬為12.4dm來進行施工。
盤點高中數學名詞
| 高中是大學的過渡階段,學好高中數學,才能為學好大學數學打好基礎,那我們盤點下高中數學中有哪些名詞吧。 |





































































































