研究歷史
正弦正弦是股與弦的比例,餘弦是餘下的那條直角邊與弦的比例。
正弦=股長/弦長
勾股弦放到圓里。弦是圓周上兩點連線。最大的弦是直徑。 把直角三角形的弦放在直徑上,股就是∠A所對的弦,即正弦,勾就是餘下的弦——餘弦。按現代說法,正弦是直角三角形的對邊與斜邊之比。
現代正弦公式是:sin = 直角三角形的對邊比斜邊。
如圖,斜邊為r,對邊為y,鄰邊為a。斜邊r與鄰邊a夾角Ar的正弦sinA=y/r,無論a,y,r為何值,正弦值恆大於0小於1,即0<1。
三角函式
三角函式三角函式在複數中有較為重要的套用。在物理學中,三角函式也是常用的工具。
在RT△ABC中,如果銳角A確定,那么角A的對邊與鄰邊的比便隨之確定,這個比叫做角A 的正切,記作tanA
即tanA=角A 的對邊/角A的鄰邊
同樣,在RT△ABC中,如果銳角A確定,那么角A的對邊與斜邊的比便隨之確定,這個比叫做角A的正弦,記作sinA
即sinA=角A的對邊/角A的斜邊
同樣,在RT△ABC中,如果銳角A確定,那么角A的鄰邊與斜邊的比便隨之確定,這個比叫做角A的餘弦,記作cosA
即cosA=角A的鄰邊/角A的斜邊
正弦函式

平方和關係
(sinα)^2 +(cosα)^2=1
積的關係
sinα = tanα × cosα(即sinα / cosα = tanα )
cosα = cotα × sinα (即cosα / sinα = cotα)
tanα = sinα × secα (即 tanα / sinα = secα)
倒數關係
tanα × cotα = 1
sinα × cscα = 1
cosα × secα = 1
商的關係
sinα / cosα = tanα = secα / cscα
和角公式
sin ( α ± β ) = sinα · cosβ ± cosα · sinβ
sin ( α + β + γ ) = sinα · cosβ · cosγ + cosα · sinβ · cosγ + cosα · cosβ · sinγ - sinα · sinβ · sinγ
cos ( α ± β ) = cosα cosβ ∓ sinβ sinα
tan ( α ± β ) = ( tanα ± tanβ ) / ( 1 ∓ tanα tanβ )
倍角半角公式
sin ( 2α ) = 2sinα · cosα = 2 / ( tanα + cosα )
sin ( 3α ) = 3sinα - 4sin & sup3 ; ( α ) = 4sinα · sin ( 60 + α ) sin ( 60 - α )
sin ( α / 2 ) = ± √( ( 1 - cosα ) / 2)
由泰勒級數得出
sinx = [ e ^ ( ix ) - e ^ ( - ix ) ] / ( 2i )
級數展開
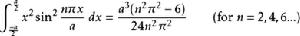
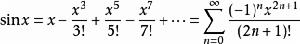
sin x = x - x3 / 3! + x5 / 5! - ... ( - 1 ) k - 1 * x 2 k - 1 / ( 2k - 1 ) ! + ... ( - ∞ < x < ∞ )
導數
( sinx ) ' = cosx
( cosx ) ' = ﹣ sinx
正弦定理
特定正弦函式與橢圓的關係

半徑為r的圓柱上與一斜平面相交得到一橢圓,該斜平面與水平面的夾角為α,截取一個過橢圓短徑的圓。以該圓和橢圓的某一交點為起始轉過一個θ角。則橢圓上的點與圓上垂直對應的點的高度可以得到
f(c)=rtanαsin(c/r)
r:圓柱半徑
α:橢圓所在面與水平面的角度
c:對應的弧長(從某一個交點起往某一個方向移動)
以上為證明簡要過程,則橢圓(x*cosα)^2+y^2=r^2的周長與f(c)=rtanαsin(c/r)的正弦曲線在一個周期內的長度是相等的,而一個周期T=2πr,正好為一個圓的周長。
正弦定理
正弦定理(TheLawofSines)是三角學中的一個基本定理,它指出“在任意一個平面三角形中,各邊和它所對角的正弦值的比相等且等於外接圓的直徑”,即a/sinA=b/sinB=c/sinC=2r=D(r為外接圓半徑,D為直徑)。
早在公元2世紀,正弦定理已為古希臘天文學家托勒密(C.Ptolemy)所知.中世紀阿拉伯著名天文學家阿爾·比魯尼(al—Birunj,973一1048)也知道該定理。但是,最早清楚地表述並證明該定理的是13世紀阿拉伯數學家和天文學家納綏爾丁。在歐洲,猶太數學家熱爾松在其《正弦、弦與弧》中陳述了該定理:“在一切三角形中,一條邊與另一條邊之比等於其對角的正弦之比”,但他沒有給出清晰的證明。15世紀,德國數學家雷格蒙塔努斯在《論各種三角形》中給出了正弦定理,但簡化了納綏爾丁的證明。1571年,法國數學家韋達(F.Viete,1540一1603)在其《數學法則》中用新的方法證明了正弦定理,之後,德國數學家畢蒂克斯(B.Pitiscus,1561—1613)在其《三角學》中沿用韋達的方法來證明正弦定理。
單位圓
圖像中給出了用弧度度量的某個公共角。逆時針方向的度量是正角而順時針的度量是負角。設一個過原點的線,同 x 軸正半部分得到一個角 θ,並與單位圓相交。這個交點的 y 坐標等於 sin θ。在這個圖形中的三角形確保了這個公式;半徑等於斜邊並有長度 1,所以有了 sin θ = y/1 。單位圓可以被認為是通過改變鄰邊和對邊的長度並保持斜邊等於 1 查看無限數目的三角形的一種方式。
對於大於 2π 或小於 −2π 的角度,簡單的繼續繞單位圓鏇轉。在這種方式下,正弦變成了周期為 2π的周期函式:對於任何角度 θ 和任何整數 k。
級數
正弦正弦函式(藍色)被對中心為原點的全圓的它的5次泰勒級數(粉紅色)緊密逼近。
微分方程
正弦由於正弦的導數是餘弦,餘弦的導數是負的正弦,因此正弦函式滿足微分方程這就是正弦的微分方程定義。
正弦積分






恆等變換
用其他三角函式的表示| 函式 | | | | | | |
| | | | | | | |
兩角和的正弦
二倍角公式
三倍角公式
半角公式
和差化積公式
萬能公式數學術語
正弦正弦函式﹑餘弦函式﹑正切函式﹑餘切函式﹑正割函式與餘割函式合稱為三角函式。
拉普拉斯變換
正弦函式的拉普拉斯變換為:


