定義
正弦電流
正弦電流
正弦電流按正弦規律隨時間變化的交變電流,其表達式為 。式中 為振幅,ω為角頻率, 為初相位。正弦電流有三要素:
正弦電流(1) 是正弦電流所能達到的最大值。
(2)ω為正弦電流的相位隨時間變化的速度。
正弦電流(3) 為正弦電流在t=0時的相角。
相關參量
相位、初相和相位差
正弦電流
正弦電流
正弦電流
正弦電流上述公式中(ωt+ )稱為正弦量的相位,它是表示正弦量變化進程的物理量。例如:當相位ωt+ =90°,e= 當(ωt+ )=180°時,e=0,如此等等。
正弦電流公式中 稱為正弦量的初相角。它是t=0時的相位角,簡稱初相。
正弦電流在交流電路中經常要進行同頻率正弦量之間相位的比較(比如電壓和電流之間)。同頻率正弦量的相位之差稱為相位差,用△ 表示。在上右圖中,電壓u與電流i的相位差為:
△Φ=(ωt+Φu)-(ωt+Φi)=Φu-Φi
如果兩同頻率正弦量的初相相等,相位差為零,我們稱它們同相,即它們同時達到正或負的最大值,同時到達零值;如果它們的相位差等於±π(180°),則稱它們是反相,即它們在任意瞬時方向總是相反的;稱在本個周期內先達到最大值的正弦量比後到達同方向最大值的正弦量超前,或稱後者滯後於前者。在上右圖中u超前於i,即u比i先到達最大值。
瞬時值、最大值、有效值
正弦電流正弦交流電電動勢波形圖,如右圖所示,其表達式為:
正弦電流
正弦電流
正弦電流=
Em表示為最大值、ω為電角度、e為瞬時值、t表示時間。
有效值的定義為:如果交流電和直流電分別通過同一電阻,兩者在相同的時間內所消耗的電能相等(或所產生的焦耳熱相同),則此直流電的數值就叫做交流電有效值的數值。
正弦交流電的電動勢、電壓、電流的有效值分別以E、U、I表示。通常所說的交流電的電動勢、電壓、電流的大小均值它的有效值。交流電電氣設備上標的額定值以及交流電儀表所指示的數值也均為有效值。
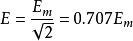
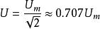
正弦交流電的有效值與最大值之間的關係為:
正弦電流電壓、電流也都有瞬時值、最大值、有效值,其關係為:
正弦電流
正弦電流頻率和周期及角頻率
如下右圖所示為一正弦交流電動勢的波形圖,由圖可以得知:正弦交流電由零值增加到正最大值,然後又逐漸減少至零,然後改變方向又由零值逐漸增加到反方向的最大值,最後減少到零。
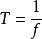
正弦電流正弦交流電這樣循環變化一周所需的時間叫做周期,用字母“T”表示。單位是秒(S),常用的還有毫秒(ms)、微秒(μs)。
交流電在1秒鐘內完成周期性變化的次數,叫做交流電的頻率,用“f”表示,單位是赫茲,簡稱赫,用“Hz”表示。頻率的常用單位還有千赫(KHz)、兆赫(MHz)。
周期和頻率都是描述交流電變化快慢的物理量,兩者的關係為:
正弦電流
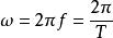
正弦電流電動勢交變一周期,電角度就改變2π弧度,而所需時間為T,所以電角速度(角頻率)與頻率的關係為: 。我國電流系統中,交流電的頻率是50Hz,則周期T=1/f=0.02s,角頻率ω=2πf=314弧度/秒。美國、日本、西歐國家頻率是60Hz。
表示套用
在工程上,常用正弦電流及電壓的有效值表示其大小。它指的是一個與周期電流平均熱效應相等的直流電流的量值。電工設備的額定電流、電壓,交流測量儀表的電流、電壓示值等都是有效值。但電工設備的耐壓值卻不是有效值而是電壓的最大值(振幅值)。
正弦電流是最簡單又最基本的交變電流。電力系統中套用的大多是正弦電流。在電子技術中也常遇到其他形式的交變電流。
正弦交變電流的圖象
正弦電流ω=2 f
f 是頻率,單位Hz。得出頻率可知周期T,T=1/f
非正弦電流
不按正弦規律隨時間變化的交變電流叫非正弦電流。
有關公式
有關公式:
正弦電流
正弦電流
正弦電流瞬時電動勢 =
正弦電流
正弦電流
正弦電流瞬時電壓 =
正弦電流
正弦電流
正弦電流瞬時電流 =
正弦電流
正弦電流
正弦電流, , 分別是電動勢,電壓,電流的峰值。而 e,u,i 這幾個量都是瞬時值。
正弦電流
正弦電流電流通過電阻 R 時, ; 。
不按正弦規律隨時間變化的交變電流叫非正弦電流。

