發展
法蘭西斯·韋達(Franccedil ois Viète)曾在他對三角法研究的第一本著作《套用於三角形的數學法則》中提出正切定理。現代的中學課本已經甚少提及,例如由於中華人民共和國曾經對前蘇聯和其教育學的批判,在1966年至1977年間曾經將正切定理刪除出中學數學教材。不過在沒有計算機的輔助求解三角形時,此定理可比餘弦定理更容易利用對數來運算投影等問題。
內容
對三角形ABC
正切定理(1)
正切定理(2)
正切定理(3)
證明
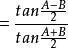
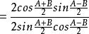
正切定理由正弦定理,
正切定理(和差化積)
正切定理(1)式得證。
同理,可證得(2)(3)兩式。
正切定理
