定義
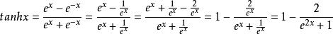
雙曲正切函式(tanh)是雙曲正弦函式(sinh)與雙曲餘弦函式(cosh)的比值,其解析形式為 :
雙曲正切函式
雙曲正切函式
雙曲正切函式考慮不等關係:可知,雙曲正切函式的定義域為實數域。
運算
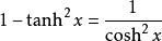
導數
雙曲的導數是雙曲餘弦的平方的倒數,即:
雙曲正切函式積分
雙曲正切函式的不定積分有如下形式 :
雙曲正切函式
雙曲正切函式式中為常數。
泰勒展開
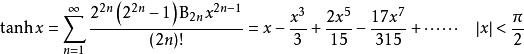
雙曲正切函式的泰勒展開式為 :
雙曲正切函式
雙曲正切函式式中為伯努力數(Bernoulli number)。
反函式
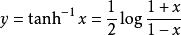
反雙曲正切函式的圖像雙曲正切函式的反函式是反雙曲正切函式,其定義為 :
雙曲正切函式函式的定義域為開區間(-1,1),它在開區間(-1,1)內是單調增加的奇函式,圖形關於原點對稱。
與其他雙曲函式的關係
除了雙曲正切函式的定義式外,雙曲正切函式還有以下式子。
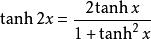
雙曲正切函式1、和角公式:
雙曲正切函式2、差角公式:(和角公式的推導)
雙曲正切函式3、二倍角公式:(和角公式的推導)
雙曲正切函式4、恆等式:
性質
有界性
雙曲正切函式的圖形夾在水平直線y=1及y=-1之間,且當x的絕對值很大時,它的圖形在第一象限內接近於直線y=1,而在第三象限內接近於直線y=-1。
即雙曲正切函式的值域是(-1,1)。
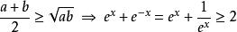
雙曲正切函式證明:
雙曲正切函式
雙曲正切函式
雙曲正切函式當 時,由於 ,則 。
雙曲正切函式
雙曲正切函式
雙曲正切函式當 時,由於 ,則 。
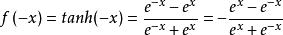
奇偶性
雙曲正切函式是奇函式,它的圖形通過原點且關於原點對稱 。
雙曲正切函式下面是證明:首先明確雙曲正切函式的定義域是 。
雙曲正切函式。
雙曲正切函式而
雙曲正切函式得出,則證明出雙曲正切函式為奇函式。
周期性
雙曲正切函式的圖像無論是雙曲正切函式y=tanhx,還是雙曲正弦函式y=sinhx、雙曲餘弦函式y=coshx,它們都不是周期函式。
單調性
雙曲正切函式雙曲正切函式在區間 內是單調增加的。
證明如下:
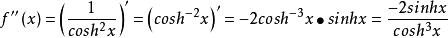
對雙曲正切函式求導。
雙曲正切函式
雙曲正切函式而
雙曲正切函式
雙曲正切函式得出雙曲正切函式的導數為: 。而無論x取何值,雙曲餘弦函式的值始終大於等於1,得出x在 內大於0,單調遞增。
凹凸性
雙曲正切函式的圖像
雙曲正切函式
雙曲正切函式雙曲正切函式在 上是凹函式,在 上是凸函式 。
根據定理:設f(x)在[a,b]上連續,在(a,b)內具有一階和二階導數,那么
雙曲正切函式(1)若在(a,b)內 ,則f(x)在[a,b]上的圖形是凹的。
雙曲正切函式(2)若在(a,b)內 ,則f(x)在[a,b]上的圖形是凸的。
雙曲正切函式則給雙曲餘弦函式二次求導,得
而雙曲餘弦函式恆大於0,而雙曲正弦函式在x<0時,它的值小於0,x>0時,它的值大於0,即得出上述結論。

