定義
雙曲函式的定義示意圖
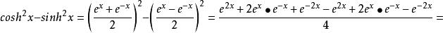
雙曲餘弦函式從原點發出的射線與單位雙曲線(方程:)相交於點(cosh a,sinh a)。這裡的a為射線、雙曲線和x軸圍成的面積的兩倍。對於雙曲線上位於x軸下方的點,這個面積被認為是負值。其中,cosh a就是a的雙曲餘弦函式。
雙曲餘弦函式經過複雜的計算可以推出: 。
性質
定義域與值域
雙曲餘弦函式和雙曲正弦函式的圖像
雙曲餘弦函式
雙曲餘弦函式雙曲餘弦函式的定義域為 。 值域為[1, )。當x=0時,取到最小值1。
奇偶性
雙曲餘弦函式在定義域內是偶函式。 可以證明。
雙曲餘弦函式取x的負值。又得:
雙曲餘弦函式
雙曲餘弦函式根據加法交換律,可得出 。根據偶函式的定義,可知該函式是偶函式。它關於y軸對稱。
單調性
雙曲餘弦函式
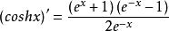
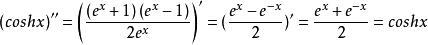
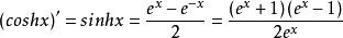
雙曲餘弦函式雙曲餘弦函式y=cosh x,在區間 內它是單調減少的,在區間 內它是單調增加的。cosh 0=1是該函式的最小值。
可以用導數證明。
雙曲餘弦函式
雙曲餘弦函式
雙曲餘弦函式
雙曲餘弦函式
雙曲餘弦函式
雙曲餘弦函式
雙曲餘弦函式由於分母是永遠大於0的,而分子中 也是永遠大於0。只有 在x=0時是等於0。在x<0時。 <0。在x>0時。 >0。得出當x<0時,雙曲餘弦函式的導數永遠小於0。當x>0時,雙曲餘弦函式的導數永遠大於0。那么它在 內單調遞減的,在 內單調遞增。在x=0時,最小值為1。無最大值。
周期性
無論是雙曲餘弦函式y=cosh x,還是雙曲正弦函式y=sinh x、雙曲正切函式y=tanh x,它們都不是周期函式。
凹凸性
雙曲餘弦函式由於
雙曲餘弦函式那么雙曲餘弦函式的二階導數為
雙曲餘弦函式可見雙曲餘弦函式的二階導數是它本身。而雙曲餘弦函式的值域是[1, )。那么雙曲餘弦函式的二階導數在實數集R上恆大於0。
雙曲餘弦函式圖像而根據函式凹凸性的判定方法(定理):
設f(x)在[a,b]上連續,在(a,b)內具有一階導數和二階導數,那么:
雙曲餘弦函式(1)若在(a,b)內, ,則f(x)在[a,b]上的圖形是凹的。
雙曲餘弦函式(2)若在(a,b)內, ,則f(x)在[a,b]上的圖形是凸的。
根據上面的函式凹凸性判斷定理。得出那么無論是在那個單調區間,雙曲餘弦函式都是凹函式
高數中套用
導數
雙曲餘弦函式雙曲餘弦函式的導數是雙曲正弦函式。即
雙曲餘弦函式也可以轉化為
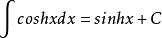
不定積分
雙曲餘弦函式其中,C為常數。可見,雙曲餘弦函式的不定積分,除去常數C,也是雙曲正弦函式。
雙曲餘弦函式另有公式 (這裡,大寫的C為常數)
雙曲餘弦函式另外,關於雙曲餘弦函式還有如下的公式:
(其中,C為任意常數)泰勒展開式
雙曲餘弦函式的泰勒展開式為:
雙曲餘弦函式即:
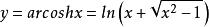
雙曲餘弦函式反函式
雙曲餘弦函式的反函式是反雙曲餘弦函式。它記作arcoshx。根據反函式的定義,它的定義原本應該是:
反雙曲餘弦函式圖像
雙曲餘弦函式其中,x滿足條件: 。
反雙曲餘弦函式的圖像原本有x軸上方的一支和x軸下方的一支。即且這兩支關於x軸對稱。但是,這樣子會造成一個自變數x對應兩個函式值,不符合函式的定義。
為了符合函式的定義,一般取x軸上方的那一支。因而得到了反雙曲餘弦函式的定義式。
雙曲餘弦函式
雙曲餘弦函式
雙曲餘弦函式
雙曲餘弦函式雙曲餘弦的反函式,即反雙曲餘弦函式y=arcoshx的定義域為[ ),它在區間[ )上是單調增加的。
圖像
懸鏈線如上圖。它是一條有點像拋物線(二次)但不是拋物線的曲線。因這條曲線與兩端固定的繩子(或鐵鏈)在均勻引力作用下下垂相似。這條曲線稱作懸鏈線。懸鏈線就是雙曲餘弦函式的圖像。
雙曲餘弦函式懸鏈線的數學表達式為 。其中,a為常數。當a=1時,所得的函式(圖像)正好是雙曲餘弦函式(圖像)。
公式
兩角和和兩角差的公式
sinh(x+y)=sinhxcoshy+coshxsinhy
sinh(x-y)=sinhxcoshy-coshxsinhy
cosh(x+y)=coshxcoshy+sinhxsinhy
cosh(x-y)=coshxcoshy-sinhxsinhy
二倍角公式
雙曲餘弦和雙曲正弦的二倍角公式。
雙曲餘弦函式
雙曲餘弦函式三倍角公式
雙曲餘弦函式
雙曲餘弦函式推導:
1、雙曲正弦的三倍角公式:
雙曲餘弦函式
雙曲餘弦函式2、雙曲餘弦的三倍角公式:
雙曲餘弦函式
雙曲餘弦函式
雙曲餘弦函式半角公式
雙曲餘弦以及雙曲正弦的半角公式有:
雙曲餘弦函式
雙曲餘弦函式恆等式
雙曲餘弦函式等式1:
雙曲餘弦函式等式1的證明:
雙曲餘弦函式
雙曲餘弦函式等式2: (雙曲正切的定義式,與三角函式中的正切類似)
雙曲餘弦函式等式3: (雙曲函式和指數函式的關係)
雙曲餘弦函式等式4: (雙曲函式和指數函式的關係)

