基本信息
簡介
變分法的關鍵定理是歐拉-拉格朗日方程。它對應於泛函的臨界點。在尋找函式的極大和極小值時,在一個解附近的微小變化的分析給出一階的一個近似。它分辨不出找到的是最大值還是最小值(或者兩者都不是)。
變分法在理論物理中非常重要:在拉格朗日力學中,以及在最小作用量原理在量子力學的套用中。變分法提供了有限元方法的數學基礎,它是求解邊界值問題的強力工具。它們也在材料學中研究材料平衡中大量使用。而在純數學中的例子有,黎曼在調和函式中使用狄力克雷原理。最優控制的理論是變分法的一個推廣。
同樣的材料可以出現在不同的標題中,例如希爾伯特空間技術,摩爾斯理論,或者辛幾何。 變分一詞用於所有極值泛函問題。微分幾何中的測地線的研究是很顯然的變分性質的領域。極小曲面(肥皂泡)上也有很多研究工作,稱為Plateau問題。
發展簡史
變分法可能是從約翰·伯努利(Johann Bernoulli)1696年提出最速曲線(brachistochrone curve)問題開始出現的. 它立即引起了雅克布·伯努利(Jakob Bernoulli)和洛必達的注意,但歐拉首先詳盡的闡述了這個問題。 他的貢獻始於1733年,他的《變分原理》(Elementa Calculi Variationum)寄予了這門科學這個名字. 拉格朗日對這個理論的貢獻非常大。拉格朗日(1786)確定了一種方法,但在對極大和極小的區別不完全令人滿意。牛頓和萊布尼茨也是在早期關注這一學科。對於這兩者的區別Vincenzo Brunacci(1810), Carl Friedrich Gauss(1829),Simeon Poisson(1831), Mikhail Ostrogradsky(1884),和Carl Jacobi(1837)都曾做出過貢獻。 Sarrus(1842)的由Cauchy(1844)濃縮和修改的是一個重要的具有一般性的成就。 Strauch(1849),Jellett(1850), Otto Hesse(1857),Alfred Clebsch(1858),和Carll(1885)寫了一些其他有價值的論文和研究報告,但可能那個世紀最重要的成果是Weierstrass所取得的。他關於這個理論的著名教材是劃時代的, 並且他可能是第一個將變分法置於一個穩固而不容置疑的基礎上的。1900發表的第20和23個希爾伯特(Hilbert)促進了更深遠的發展. 在20世紀David Hilbert, Emmy Noether,Leonida Tonelli,Henri Lebesgue和Jacques Hadamard 等人做出重要貢獻。Marston Morse 將變分法套用在Morse理論中。 Lev Pontryagin, Ralph Rockafellar和Clarke廣義變分法理想控制論發展了新的數學工具。
歐拉-拉格朗日方程
簡介
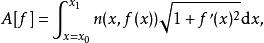
歐拉-拉格朗日方程 (Euler-Lagrange equation) 簡稱E-L方程,在力學中則往往稱為拉格朗日方程。正如上面所說,變分法的關鍵定理是歐拉-拉格朗日方程。它對應於泛函的臨界點。
值得指出的是,E-L方程只是泛函有極值的必要條件,並不是充分條件。就是說,當泛函有極值時,E-L方程成立。在套用中,外界給定的條件可以使得E-L方程在大多數情況下滿足我們的需求。所以儘管下面我們要在比較強的條件下推導,並且這種推導在某些意義上有些不太嚴謹,完全可以在較弱的情況下予以完全嚴謹的證明,但是就我們所要用的層面而言,也是足夠的了。
推導
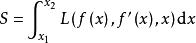
對於泛函
變分法[數學學科概念]固定兩個端點,在泛函S取到極值時的函式記作g(x),定義與這個函式“靠近”的一個函式,h(x)=g(x)+δg(x),其中δg(x)在從x1到x2上都是小量,同時也滿足,
變分法[數學學科概念]這裡δg(x)稱為函式g(x)的變分。
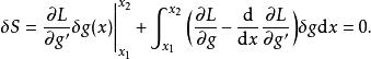
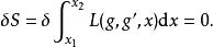
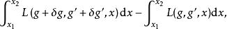
因為在從任何函式代替g(x)都會使得泛函S取不到極值,所以用h(x)代替g(x)使得作用量產生了增量,為,
變分法[數學學科概念]
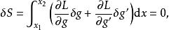
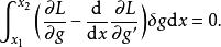
變分法[數學學科概念]將第一項 按照δg(x)和δg'(x)冪級數打開,並且注意到δg(x)和δg'(x)永遠是小量,捨棄掉二次項及以上高次項,可得關於δg(x)和δg'(x)一次項的和。則S取到極值的必要條件就是這些項的和的值為0.這些和稱之為S的一階變分(或者簡稱變分),變分為0記作,
變分法[數學學科概念]按照冪級數打開後,可以得到,
變分法[數學學科概念]將第二項分部積分得:
變分法[數學學科概念]
變分法[數學學科概念]由於 ,於是第一項等於0,換而言之,就是這個等式成立,
變分法[數學學科概念]於是對任何小的函式δg(x)該積分都等於0,於是只有被積函式等於0的時候才有可能。(這個論斷是不嚴謹的,這裡應該由Du Bois Reymond 引理給出)於是我們得到方程,
變分法[數學學科概念]這就是E-L方程。
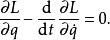
在力學上,這裡的g用任何一個廣義坐標q表示,x用t代替,而L(拉格朗日量)=T(動能)-V(勢能),那么拉格朗日方程則為,
變分法[數學學科概念]物理學套用
物理學中泛函極值問題的提出促進了變分學的建立和發展,而變分學的理論成果則不斷滲透到物理學中。
費馬原理
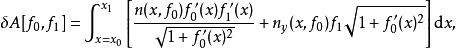
費馬原理指出:光沿所需時間為極值(極大值、恆值、極小值)的路徑傳播。假設 y=f(x) 為光的路徑,則光程可以下式表示:
變分法[數學學科概念]其中折射率n(x,y) 依材料特性而定。
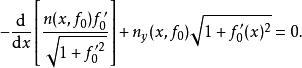
變分法[數學學科概念]若選擇,則 A的一階導數 ( A對ε的微分)為
變分法[數學學科概念]將括弧中的第一項用分部積分處理,可得歐拉-拉格朗日方程
變分法[數學學科概念]光線的路徑可由上述的積分式而得。這可以看作上面E-L方程的特例。
大範圍變分法
18世紀是變分法的草創時期,建立了極值應滿足的歐拉方程並據此解決了大量具體問題。19世紀人們把變分法廣泛套用到數學物理中去,建立了極值函式的充分條件。20世紀伊始,希爾伯特在巴黎國際數學家大會講演中提到的23個著名數學問題中就有三個與變分法有關,變分法的思想貫穿了R.庫朗和希爾伯特所著的《數學物理方法》一書。而H.M.莫爾斯的大範圍變分法則是20世紀變分法發展的標誌(見莫爾斯理論)。
物理學中的變分原理
P. de費馬從歐幾里得確立的光的反射定律出發提出了光的最小時間原理:光線永遠沿用時最短的路徑傳播。他原先懷疑光的折射定律,但在1661年費馬發現從他的光的最小時間原理能夠推導出折射定律,不僅消除了早先的懷疑,而且更加堅信他的原理。拉格朗日把變分法用到動力學上。他引進廣義坐標q1,q2,…,qn,動能T是 q'=(q'1,q'2,…,q'n)的函式,q'表示廣義速度。他又假定力有位勢V,V是q的函式,又假定T+V是常量,即系統無耗散,令L=T-V,稱為作用量,拉格朗日的最小作用原理是說真實的運動使作用量取極小值。通過歐拉方程,拉格朗日建立他的運動方程,據此推出了力學的主要定律,並解決了一些新的問題。這些工作都記載在他在1788年出版的《分析力學》一書中。
量子力學
變分法在量子力學中主要解決基態能量和波函式問題。
經濟學套用
變分法用於求解經濟學中的動態最優問題,即給定目標函式和約束條件的情況下,求解使得目標函式維持最優狀態的控制變數函式,也叫作“古典變分法”。下述兩個問題都可以通過變分法解決,即通過歐拉方程得出其一階條件。
拉姆齊模型(動態)
Max U=∫EXP(-rt)U(C(t))dt (積分區域為(0,T))
s.t. iK(t)+W(t)=C(t)+K*(t)(i是無風險收益率,W是工資,K*(t)是K(t)的變動率)
K(0)=K0,K(T)=KT (終結線)
喬根森模型(企業投資的最優路徑)
Max V(K)=∫EXP(-ρt)(PQ(K)-mI)dt (積分區域為(0,∞))
s.t. I=K*+δK (投資I=資本變動K*+折舊δK)
變分法與微分法
變分法概念與尋常分析中的微分概念很為類似,但所聯繫的不是x的變化,而是函式y(x)的變化。如果函式y(x)使U(y)達其極值,則U的變分δU變為0。
幾乎所有的物理和力學的基本規律都陳述為規定某一泛函的變分應該是0的“變分法原理”,由於這個原故變分法使許多重要的物理問題及技術問題得以解決。
![變分法[數學學科概念] 變分法[數學學科概念]](/img/f/ae3/nBnauM3X3QDN0UDO3YTN5IDN0UTMyITNykTO0EDMwAjMwUzL2UzL4YzLt92YucmbvRWdo5Cd0FmL0E2LvoDc0RHa.jpg)
