注意
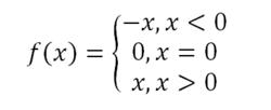
一般說來, 大部分分段函式不是初等函式。如符號函式,狄利克雷函式,gamma函式,誤差函式,Weierstrass函式。但是個別分段函式除外,例如右側的函式:
非初等函式
非初等函式
非初等函式由於此時 ,
非初等函式
非初等函式是由函式 , 複合而成的,所以該函式為初等函式。
然而同時取整函式(向下取整函式):
非初等函式
非初等函式卻不是初等函式。它的取值規定為距離 最近的整數,例如:
非初等函式
非初等函式
向下取整函式的圖像於是又稱這樣的取整函式為“地板函式(Floor)”。它屬於符號函式的範疇。我們可以將其理解為是無窮多段的分段函式,所以說分段函式不一定是初等的,也不一定是非初等的。

