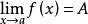
定義
冪指函式冪指函式指數和底數都是變數的函式,形如 是數集)的函式稱為冪指函式,其中 u,v 是 E 上的函式。
冪指函式
冪指函式
冪指函式當不給出 u(x)與 v(x) 當具體形式是,總要求 。因此,冪指函式可改寫成由 與 複合而成的函式 f(g(x)),從而當 u,v 連續時它連續,u,v 可微時它也可微。
冪指函式既像冪函式,又像指數函式,二者的特點兼而有之。作為冪函式,其冪指數確定不變,而冪底數為自變數;相反地,指數函式卻是底數確定不變,而指數為自變數。冪指函式就是冪底數和冪指數同時都為自變數的函式。這種函式的推廣,就是廣義冪指函式。
具體例子
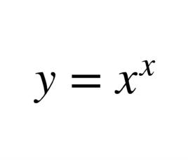
最簡單的冪指函式就是y=x 。說簡單,其實並不簡單,因為當你真正深入研究這種函式時,就會發現,在x<0時,函式圖象存在“黑洞”——無數個間斷點,如右圖所示(用虛線表示)。
圖1.最簡單的冪指函式在x>0時,函式曲線是連續的,並且在x=1/e處取得最小值,約為0.6922,在區間(0,1/e]上單調遞減,而在區間[1/e,+∞)上單調遞增,並過(1,1)點。
此外,從函式y=x 的圖象可以清楚看出,0的0次方是不存在的。這就是在初等代數中明文規定“任意非零實數的零次冪都等於1,零的任意非零非負次冪都等於零”的真正原因。
函式極限
冪指函式本段中所有 的記號,表示的是各種可能的趨向,即 *可以是a、a-0、a+0 、∞ 、-∞ 或+∞ 。
一般方法
冪指函式
冪指函式
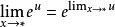
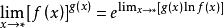
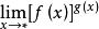
冪指函式利用恆等變形(即換底變形) 及複合函式 求極限法則 ,有
冪指函式待定型
冪指函式
冪指函式
冪指函式
冪指函式
冪指函式是兩個函式乘積的極限,我們知道若且唯若 和 中有一個等於0,另一個為 時,極限 才是待定型。
冪指函式
冪指函式
冪指函式
冪指函式所以冪指函式極限 僅有三種待定型: 型、 型、 型。
肯定型
冪指函式冪指函式的極限 除了上述三種待定型外沒有第四種待定型了。
冪指函式
冪指函式
冪指函式
冪指函式若 、 ,因為規定l了 ,所以必有 ,則
冪指函式
冪指函式
冪指函式
冪指函式
冪指函式(1) ,(i) , ;(ii) , ;
冪指函式
冪指函式
冪指函式(2) , , ;
冪指函式
冪指函式
冪指函式
冪指函式
冪指函式
冪指函式
冪指函式(3) ,(i) 為 , ;(ii) 為為 , ;
冪指函式
冪指函式
冪指函式
冪指函式
冪指函式
冪指函式
冪指函式(4) ,(i) 為 , ;(ii) 為為 , ;
冪指函式
冪指函式
冪指函式
冪指函式
冪指函式
冪指函式
冪指函式
冪指函式(5) 為+ ,(i) 或 , ;(ii) 或 , 。
典例分析
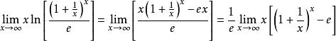
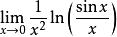
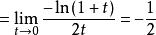
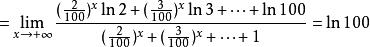
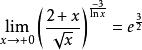
冪指函式(1)求 ,
冪指函式
冪指函式解 這個極限式“ 型”待定型,先求 ,所以
冪指函式
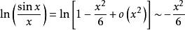
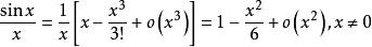
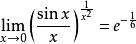
冪指函式(2)求 ,
冪指函式
冪指函式解這個極限式是“ 型”待定型,先求 ,其中
冪指函式
冪指函式
冪指函式利用等價無窮小關係公式 可作等價無窮小代換 ,即可得
冪指函式
冪指函式所以 。
冪指函式(3)求
冪指函式
冪指函式
冪指函式解 這個極限式是“ 型”待定型,先求 待定型 ,根據洛必達法則可得
冪指函式
冪指函式
冪指函式所以 。
冪指函式注 本題也可以等價無窮大替代,或經過放大縮小 後再用夾逼準則計算。
冪指函式(4)求 。
冪指函式
冪指函式
冪指函式
冪指函式
冪指函式
冪指函式解這個極限式是“ 型”待定型,先計算 ,由於 ,可知 是 時的無窮小量,利用等價無窮小關係 ,可得
冪指函式
冪指函式
冪指函式
冪指函式所以 。
冪指函式
冪指函式注 (1)這裡“ 型”待定型中不能先把“底的極限1”先算出來,錯成 。
(2)解這種問題時除了使用洛必達法則外,經常會用到等價無窮小替代及換元方法。
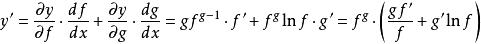
求導方法
冪指函式下面給出一般冪指函式的求導方法。為書寫方便,把f(x)和g(x)分別用f和g代替,即
指數求導法
冪指函式由於冪指函式定義中f(x)>0,因此可以利用對數的性質將函式改寫。 ,再對指數函式進行求導。
冪指函式對數求導法
這種方法是在兩邊取對數,再利用隱函式的求導法則求出y‘。
冪指函式
冪指函式
冪指函式多元複合函式求導法
冪指函式根據一元與多元函式複合的求導法則, 的導數為
冪指函式
