冪定義
冪(漢語拼音:mì,注音:ㄇㄧˋ,音同“覓”),指乘方運算的結果。n 指將n自乘m次(針對m為正整數的場合)。把n 看作乘方的結果,叫做“n的m次冪”或“n的m次方”。
冪[代數中的冪]其中,n稱為“ 底數”,m稱為“ 指數”(寫成上標)。當不能用上標時,例如在程式語言或電子郵件中,通常寫成 n^m或,也可視為超運算,記為 n[3]m,亦可以用高德納箭號表示法,寫成 n↑m,讀作“n的m次方”。 當指數為1時,通常不寫出來,因為運算出的值和底數的數值一樣;指數為2時,可以讀作“n的平方”;指數為3時,可以讀作“n的立方”。
起始值1(乘法的單位元)乘上底數(n)自乘指數(m)這么多次。這樣定義了後,很易想到如何一般化指數0和負數的情況:除0外所有數的零次方都是1;指數是負數時就等於重複除以底數(或底數的倒數自乘指數這么多次)。
0的0次方數學家沒有給予正式的定義,部分領域中,如組合數學,常用的慣例是定義為1。也有人主張定義為1。
冪不符合結合律和交換律。
因為10的次方很易計算,只需在後加零即可,所以科學記數法藉助此簡化記錄數的方式;二的冪在計算機科學中很有用。
運算規則
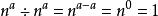
同底數冪相乘,底數不變,指數相加。
同底數冪相除,底數不變,指數相減。
冪的乘方,底數不變,指數相乘。
同指數冪相乘,指數不變,底數相乘。
同指數冪相除,指數不變,底數相除。
有理數指數冪
雖然n 在定義中指將n自乘m次,即n =n×n×n×…×n(共m個n),但對於這樣定義的冪,即使底數可以取任意實數,指數也只能為正整數,因此我們有必要將指數的範圍進行擴大。
零指數冪
冪[代數中的冪]
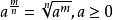
冪[代數中的冪]當底數n≠0時,由於,根據冪的運算規則可知,。因此定義零指數冪如下:
冪[代數中的冪]即任何非0實數a的0次方都等於1。
定義中a≠0是式子成立的必要條件,或者說0的0次方沒有意義。這是因為根據定義的推導,0作除數沒有意義。
補充說明:
負指數冪
有了零指數冪的定義之後,現在來定義負指數冪。
冪[代數中的冪]
冪[代數中的冪]當底數n≠0時,由於,根據冪的運算規則可知,。因此定義負指數冪如下:
冪[代數中的冪]簡單來說,對非0實數a進行負指數次方運算,只要將底數變為它的倒數,指數去掉負號即可。
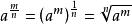
分數指數冪
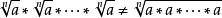
我們來考慮指數為分數的冪該如何定義。為了討論簡便,先考慮分子為1,而分母為正整數的情況。
冪[代數中的冪]設,其中n為正整數。兩邊同時作乘方運算,自乘n次,並根據冪的乘方的運算法則,我們可以得到以下關係式:
冪[代數中的冪]
冪[代數中的冪]我們發現,x恰好就是a的n次方根(的其中一個)。根據根式的定義,,即:
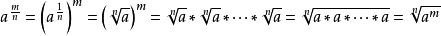
冪[代數中的冪]再考慮分子不為1的情況。根據冪的乘方運算,
冪[代數中的冪]或
冪[代數中的冪]
冪[代數中的冪]兩種對的理解是等價的。
冪[代數中的冪]
冪[代數中的冪]應當指出,當n為奇數時,底數a可以為任何實數。但當n為偶數時,由於負數開偶次方後將得到一個純虛數,在純虛數中,即,這就違背了兩種理解的等價性,此時的a只能取非負數。
冪[代數中的冪]
冪[代數中的冪]所以為了讓任何分數指數冪都存在並且都等於,我們人為規定如下:
冪[代數中的冪]也就是說,分數指數冪要有意義,底數必須不小於0。這就是分數指數冪的定義。
上面已經定義了整數次冪、0指數冪、負指數冪以及分數指數冪,相當於將所有的有理數(不管是整數還是分數,或者正有理數還是負有理數還是0)次冪都進行了定義。
綜合上面的定義,當指數x為有理數時,為了讓a 有意義,底數a必須滿足a>0(因為分數指數冪規定a≥0,而0指數冪和負指數冪規定a≠0,取交集可知a>0)。那么,在a>0的情況下,作指數函式y=a ,並將函式圖像畫在直角坐標系中。我們會發現,無論a是否等於1,函式的圖像總會被挖去無數個點。這些被挖去的點的來源就是當x取無理數時,a 無法定義(從而無法找到點(x,a ))。一旦定義了無理數次冪之後,這些無法定義的點將被找到並填滿y=a 的圖像上被挖去的部分,使指數函式的圖像變成一條沒有任何空隙的曲線。
冪的大小比較
首先必須明確,當a>0,x是有理數時,總有a >0。在這樣的條件下,設有兩個有理數指數冪a 、a ,其中a>0,m、n都是有理數並且m>n。現考慮a 、a 的大小關係。
①當a=1時,不難得到a =a =a;
冪[代數中的冪]②當a≠1時,作商。因m-n>0,根據正指數冪函式的遞增性,若a>1,則a >1 =1;若0<a<1,則a <1 =1.
再根據不等式的性質,當a>1時,有a >a 。當0<a<1時,有a <a 。即對有理數指數冪函式y=a ,當a>1時是增函式,當0<a<1時是減函式。
無理數指數冪
無理數簡單來說就是無限不循環小數。對任何一個無理數x>0,我們可以這樣操作:
第一步,取x的整數部分和小數點後一位,而把其餘部分全部捨去;
第二步,取x的整數部分和小數點後二位,而把其餘部分全部捨去;
……
第n步,取x的整數部分和小數點後n位,而把其餘部分全部捨去;
……
冪[代數中的冪]
冪[代數中的冪]這樣我們就取得了一列有理數列{x}逐漸逼近它。例如,我們取一列有理數
冪[代數中的冪]
冪[代數中的冪]
冪[代數中的冪]
冪[代數中的冪]
冪[代數中的冪]
冪[代數中的冪]顯然這樣取得的有理數列{x}是單調增加並且有上界的,它的極限就是無理數x。以a為底,x為指數作冪,得到一個新的數列。由有理數指數冪的大小比較規律可知,當a>1時,數列{}單調遞增有上界;當0<a<1時,數列{}單調遞減有下界([x]表示不超過x的最大正數,在這裡即是x的整數部分)。根據單調有界定理,{}收斂,我們便把這個數列的極限定義作a 。
有了這個定義之後,指數函式y=a 的定義域便擴充到了全體實數,而其圖像也將變得完整(事實上指數函式的圖像不僅是完整的,還是處處連續、處處可導的)。
![冪[代數中的冪] 冪[代數中的冪]](/img/2/b74/nBnauM3X2UDNzcDM4YjM1EDN0UTMyITNykTO0EDMwAjMwUzL2IzL2czLt92YucmbvRWdo5Cd0FmLzE2LvoDc0RHa.jpg)
