相關介紹
數學中的“冪”,是“冪”這個字面意思的引申,“冪”原指蓋東西布巾,數學中“冪”是乘方的結果,而乘方的表示是通過在一個數字上加上標的形式來實現的,故這就像在一個數上“蓋上了一頭巾”,在現實中蓋頭巾又有升級的意思,所以把乘方叫做冪正好契合了數學中指數級數快速增長含義,形式上也很契合,所以叫做冪。
冪不符合結合律和交換律。
因為十的次方很易計算,只需在後加零即可,所以科學記數法藉助此簡化記錄數的方式;二的次方在計算機科學中很有用。
定義
冪[數學代數術語]
冪[數學代數術語]
冪[數學代數術語]
冪[數學代數術語]
冪[數學代數術語]
冪[數學代數術語]
冪[數學代數術語]冪指乘方運算的結果。指個相乘()。把看作乘方的結果,叫做的次冪。
冪[數學代數術語]其中,n稱為底數,m稱為指數(寫成上標)。當不能用上標時,例如在程式語言或電子郵件中,通常寫成n^m或n**m,亦可以用高德納箭號表示法,寫成,讀作“n的m次方”或者n的m次冪。
當指數為1時,通常不寫出來,因為那和底的數值一樣;指數為2、3時,可以讀作“n的平方”、“n的立方”。
冪[數學代數術語]
冪[數學代數術語]
冪[數學代數術語]
冪[數學代數術語]的意義亦可視為︰起始值1(乘法的單位元)乘底指數這么多次。這樣定義了後,很易想到如何一般化指數0和負數的情況︰除了0之外所有數的零次方都是1,即;冪的指數是負數時,等於。
冪[數學代數術語]分數為指數的冪定義為。
冪不符合結合律和交換律。
定理
冪[數學代數術語]
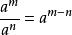
冪[數學代數術語]同底數冪:;
冪[數學代數術語]積的冪:;
大小比較法
計算比較法
先通過冪的計算,然後根據結果的大小,來進行比較的。
底數比較法
在指數相同的情況下,通過比較底數的大小,來確定兩個冪的大小。
指數比較法
在底數相同的情況下,通過比較指數的大小,來確定兩個冪的大小。
求差比較法
將兩個冪相減,根據其差與0的比較情況,來確定兩個冪的大小。
求商比較法
將兩個冪相除,然後通過商與1的大小關係,比較兩個冪的大小。
乘方比較法
將兩個冪乘方後化為同指數冪,通過進行比較結果,來確定兩個冪的大小。
定值比較法
通過選一個與兩個冪中一個冪相接近的冪作定值,然後用兩個冪與所選取的定值相比較,由此來確定兩個冪的大小。
![冪[數學代數術語] 冪[數學代數術語]](/img/4/f61/nBnauM3X2MDM4EDO3ITN0IDN0UTMyITNykTO0EDMwAjMwUzLyUzLwQzLt92YucmbvRWdo5Cd0FmLzE2LvoDc0RHa.jpg)
