定義
在數學裡, 冪等有兩種主要的定義。
在某二元運算下, 冪等元素是指被自己重複運算(或對於函式是為複合)的結果等於它自己的元素。例如,乘法下僅有兩個冪等實數,為0和1。
某一元運算為 冪等的時,其作用在任一元素兩次後會和其作用一次的結果相同。例如,高斯符號便是冪等的。
一元運算的定義是二元運算定義的特例
二元運算
設 S為一具有作用於其自身的二元運算的集合,則 S的元素 s稱為冪等的(相對於*)當
s * s = s.
特別的是,任一單位元都是冪等的。若 S的所有元素都是冪等的話,則其二元運算*被稱做是冪等的。例如,聯集和交集的運算便都是冪等的。
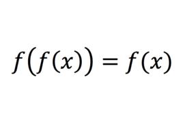
一元運算
設 f為一由 X映射至 X的一元運算,則 f為冪等的,當對於所有在 X內的 x,
f( f( x)) = f( x).
特別的是,恆等函式一定是冪等的,且任一常數函式也都是冪等的。
注意當考慮一由 X至 X的所有函式所組成的集合 S時。在 f在一元運算下為冪等的若且唯若在二元運算下, f相對於其複合運算(標記為 o)會是冪等的。這可以寫成 f o f = f。
一般例子
函式
如上述所說,恆等函式和常數函式總會是冪等的。較不當然的例子有實數或複數引數的絕對值函式,以及實數引數的高斯符號。
將一拓撲空間 X內各子集 U映射至 U閉包的函式在 X的冪集上是冪等的。這是閉包運算元的一個例子;所有個閉包運算元都會是冪等函式。
環的冪等元素
定義上,環的冪等元素為一相對於環乘法為冪等的元素。可以定義一於環冪等上的偏序:若e和f為冪等的,當ef= fe= e時,標記為e≤ f。依其順序,0會是最小冪等元素,而1為最大冪等元素。
若 e在環 R內為冪等的,則 eRe一樣會是個乘法單位元為 e的環。
兩個冪等元素 e和 f被稱為 正交的當 ef= fe=0。在此一情形下, e+ f也是冪等的,且有 e ≤ e + f和 f ≤ e + f。
若 e在環 R內為冪等的,則 f = 1 − e也會是冪等的,且 e和 f正交。
一在 R內的冪等元素 e稱為 核心的,若對所有在 R內的 x, ex= xe。在此情形之下, Re會是個乘法單位元為 e的環。 R的核心冪等元素和 R的分解為環的直和有很直接的關接。若 R為環 R、...、 R的直和,則環 R的單位元在 R內為核心冪等的,相互正交,且其總和為1。相反地,給出 R內給相互正交且總和為1的核心冪等元素 e、...、 e,則 R會是環 Re、...、 Re的直和。所有較有趣的是,每一於 R內的核心冪等 e都會給出一 R的分解- Re和 R(1 − e)的直和。
任一不等於0和1的冪等元素都是零因子(因為 e(1 − e) = 0)。這表示了整環及除環都不會存在此種冪等元素。局部環也沒有此種冪等元素,但理由有點不同。唯一包含於一環的雅各布森根內的冪等元素只有0。共四元數環內會有一冪等元素組成的懸鏈曲面。
所有元素都冪等的環稱做布爾環。可證明在每一此類環內,乘法都是可交換的,且每一元素都有其各自的加法逆元。
其他例子
冪等運算也可以在布林代數內找到。邏輯和與邏輯或便都是冪等運算。
線上性代數裡,投射是冪等的。亦即,每一將向量投射至一子空間V(不需正交)上的線性運算元,都是冪等的。
一冪等半環為其 加法(非乘法)為冪等的半環。

