概述
冪等矩陣
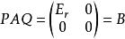
冪等矩陣A是n階方陣,若r(A)=r,存在可逆矩陣P、Q,使得:,則B為冪等矩陣,。
等價命題1:若A是冪等矩陣,則與A相似的任意矩陣是冪等矩陣;
等價命題2:若A是冪等矩陣,則A的AH、AT、A*、E-AH、E-AT都是冪等矩陣;
冪等矩陣等價命題3:若A是冪等矩陣,則對於任意可逆陣T,也為冪等矩陣;
等價命題4:若A是冪等矩陣,A的k次冪仍是冪等矩陣。
由於冪等矩陣所具有的良好性質及其對向量空間的劃分,冪等矩陣在可對角化矩陣的分解中具有重要的作用,同時也為空間的投影過程提供了一種工具。
性質
冪等矩陣的主要性質:
1.冪等矩陣的特徵值只可能是0,1;
2.冪等矩陣可對角化;
3.冪等矩陣的跡等於冪等矩陣的秩,即tr(A)=rank(A);
4.可逆的冪等矩陣為E;
5.方陣零矩陣和單位矩陣都是冪等矩陣;
6.冪等矩陣A滿足:A(E-A)=(E-A)A=0;
7.冪等矩陣A:Ax=x的充要條件是x∈R(A);
8.A的核N(A)等於(E-A)的列空間R(E-A),且N(E-A)=R(A)。考慮冪等矩陣運算後仍為冪等矩陣的要求,可以給出冪等矩陣的運算:
1)設 A₁,A₂都是冪等矩陣,則(A₁+A₂) 為冪等矩陣的充分必要條件為:A₁·A₂ =A₂·A₁=0,且有:R(A₁+A₂) =R (A₁) ⊕R (A₂);N(A₁+A₂) =N(A₁)∩N(A₂);
2)設 A₁, A₂都是冪等矩陣,則(A₁-A₂) 為冪等矩陣的充分必要條件為:A₁·A₂=A₂·A₁=A₂,且有:R(A₁-A₂) =R(A₁)∩N (A₂);N (A₁- A₂) =N (A₁)⊕R (A₂);
3)設 A₁,A₂都是冪等矩陣,若A₁·A₂=A₂·A₁,則A₁·A₂為冪等矩陣,且有:R (A₁·A₂) =R(A₁) ∩R (A₂);N (A₁·A₂) =N (A₁) +N (A₂)。

