歷史發展
實驗時期
一塊古巴比倫石匾(約產於公元前1900年至1600年)清楚地記載了圓周率 = 25/8 = 3.125。 同一時期的古埃及文物,萊因德數學紙草書(Rhind Mathematical Papyrus)也表明圓周率等於分數16/9的平方,約等於3.1605。 埃及人似乎在更早的時候就知道圓周率了。 英國作家 John Taylor (1781–1864) 在其名著《金字塔》(《The Great Pyramid: Why was it built, and who built it?》)中指出,造於公元前2500年左右的胡夫金字塔和圓周率有關。例如,金字塔的周長和高度之比等於圓周率的兩倍,正好等於圓的周長和半徑之比。公元前800至600年成文的古印度宗教巨著《百道梵書》(Satapatha Brahmana)顯示了圓周率等於分數339/108,約等於3.139。
幾何法時期
古希臘作為古代幾何王國對圓周率的貢獻尤為突出。古希臘大數學家阿基米德(公元前287–212 年) 開創了人類歷史上通過理論計算圓周率近似值的先河。阿基米德從單位圓出發,先用內接正六邊形求出圓周率的下界為3,再用外接正六邊形並藉助勾股定理求出圓周率的上界小於4。接著,他對內接正六邊形和外接正六邊形的邊數分別加倍,將它們分別變成內接正12邊形和外接正12邊形,再藉助勾股定理改進圓周率的下界和上界。他逐步對內接正多邊形和外接正多邊形的邊數加倍,直到內接正96邊形和外接正96邊形為止。最後,他求出圓周率的下界和上界分別為223/71 和22/7, 並取它們的平均值3.141851 為圓周率的近似值。阿基米德用到了疊代算法和兩側數值逼近的概念,稱得上是“計算數學”的鼻祖。
圓周率[圓的周長與直徑的比值]
圓周率[圓的周長與直徑的比值]
圓周率[圓的周長與直徑的比值]中國古算書《周髀算經》(約公元前2世紀)的中有“徑一而周三”的記載,意即取 。 漢朝時,張衡得出 ,即 (約為3.162)。這個值不太準確,但它簡單易理解。
圓周率[圓的周長與直徑的比值]公元263年,中國數學家劉徽用“割圓術”計算圓周率,他先從圓內接正六邊形,逐次分割一直算到圓內接正192邊形。他說“割之彌細,所失彌少,割之又割,以至於不可割,則與圓周合體而無所失矣。”,包含了求極限的思想。劉徽給出π=3.141024的圓周率近似值,劉徽在得圓周率=3.14之後,將這個數值和晉武庫中漢王莽時代製造的銅製體積度量衡標準嘉量斛的直徑和容積檢驗,發現3.14這個數值還是偏小。於是繼續割圓到1536邊形,求出3072邊形的面積,得到令自己滿意的圓周率 。
圓周率[圓的周長與直徑的比值]
圓周率[圓的周長與直徑的比值]
圓周率[圓的周長與直徑的比值]
圓周率[圓的周長與直徑的比值]公元480年左右,南北朝時期的數學家祖沖之進一步得出精確到小數點後7位的結果,給出不足近似值3.1415926和過剩近似值3.1415927,還得到兩個近似分數值,密率 和約率 。密率是個很好的分數近似值,要取到 才能得出比 略準確的近似。 (參見丟番圖逼近)
在之後的800年裡祖沖之計算出的π值都是最準確的。其中的密率在西方直到1573年才由德國人奧托(Valentinus Otho)得到,1625年發表於荷蘭工程師安托尼斯(Metius)的著作中,歐洲稱之為Metius' number。
圓周率[圓的周長與直徑的比值]約在公元530年,印度數學大師阿耶波多算出圓周率約為 。婆羅摩笈多採用另一套方法,推論出圓周率等於10的算術平方根。
阿拉伯數學家卡西在15世紀初求得圓周率17位精確小數值,打破祖沖之保持近千年的紀錄。德國數學家魯道夫·范·科伊倫(Ludolph van Ceulen)於1596年將π值算到20位小數值,後投入畢生精力,於1610年算到小數後35位數,該數值被用他的名字稱為魯道夫數。
分析法時期
這一時期人們開始利用無窮級數或無窮連乘積求π,擺脫可割圓術的繁複計算。無窮乘積式、無窮連分數、無窮級數等各種π值表達式紛紛出現,使得π值計算精度迅速增加。
第一個快速算法由英國數學家梅欽(John Machin)提出,1706年梅欽計算π值突破100位小數大關,他利用了如下公式:
圓周率[圓的周長與直徑的比值]其中arctan x可由泰勒級數算出。類似方法稱為“梅欽類公式”。
斯洛維尼亞數學家Jurij Vega於1789年得出π的小數點後首140位,其中只有137位是正確的。這個世界紀錄維持了五十年。他利用了梅欽於1706年提出的數式。
到1948年英國的弗格森(D. F. Ferguson)和美國的倫奇共同發表了π的808位小數值,成為人工計算圓周率值的最高紀錄。
計算機時代
電子計算機的出現使π值計算有了突飛猛進的發展。1949年,美國製造的世上首部電腦-ENIAC(Electronic
圓周率Numerical Integrator And Computer)在阿伯丁試驗場啟用了。次年,里特韋斯納、馮紐曼和梅卓普利斯利用這部電腦,計算出π的2037個小數位。這部電腦只用了70小時就完成了這項工作,扣除插入打孔卡所花的時間,等於平均兩分鐘算出一位數。五年後,IBM NORC(海軍兵器研究計算機)只用了13分鐘,就算出π的3089個小數位。科技不斷進步,電腦的運算速度也越來越快,在60年代至70年代,隨著美、英、法的電腦科學家不斷地進行電腦上的競爭,π的值也越來越精確。在1973年,Jean Guilloud和Martin Bouyer以電腦CDC 7600發現了π的第一百萬個小數位。
在1976年,新的突破出現了。薩拉明(Eugene Salamin)發表了一條新的公式,那是一條二次收斂算則,也就是說每經過一次計算,有效數字就會倍增。高斯以前也發現了一條類似的公式,但十分複雜,在那沒有電腦的時代是不可行的。這算法被稱為布倫特-薩拉明(或薩拉明-布倫特)演算法,亦稱高斯-勒讓德演算法。
1989年美國哥倫比亞大學研究人員用克雷-2型(Cray-2)和IBM-3090/VF型巨型電子計算機計算出π值小數點後4.8億位數,後又繼續算到小數點後10.1億位數。2010年1月7日——法國工程師法布里斯·貝拉將圓周率算到小數點後27000億位。2010年8月30日——日本計算機奇才近藤茂利用家用計算機和雲計算相結合,計算出圓周率到小數點後5萬億位。
2011年10月16日,日本長野縣飯田市公司職員近藤茂利用家中電腦將圓周率計算到小數點後10萬億位,刷新了2010年8月由他自己創下的5萬億位金氏世界紀錄。56歲的近藤茂使用的是自己組裝的計算機,從10月起開始計算,花費約一年時間刷新了紀錄。
計算歷史
| 日期 | 計算者 | 國籍 | 正確位數 | 詳細紀錄 |
| 前20世紀 | 未知 | 古巴比倫王國 | 1 | π= 3.125 |
| 前20世紀 | 未知 | 古印度 | 1 | π= 3.160493... |
| 前12世紀 | 未知 | 中國 | - | π=3 |
| 前6世紀中 | 聖經列王記上7章23節 | - | π=3 | |
| 前3世紀 | 阿基米德 | 古希臘 | 3 | π=3.1418 |
| 公元前20年 | 維特魯威 | 古羅馬 | 1 | π= 3.125 |
| 公元前50年-公元前23年 | 劉歆 | 中國 | 1 | π=3.1547 |
| 130年 | 張衡 | 中國 | 1 | π=3.162277... |
| 150年 | 未知 | 托勒密 | 3 | π=3.141666... |
| 250年 | 王蕃 | 中國 | 1 | π=3.155555... |
| 263年 | 劉徽 | 中國 | 5 | π=3.14159 |
| 480年 | 祖沖之 | 中國 | 7 | 3.1415926<π<3.1415927 |
| 499年 | 阿耶波多 | 印度 | 3 | π=3.1416 |
| 598年 | 婆羅摩笈多 | 印度 | 1 | π=3.162277... |
| 800年 | 花拉子米 | 烏茲別克 | 3 | π=3.1416 |
| 12世紀 | 婆什迦羅第二 | 印度 | 4 | π=3.14156 |
| 1220年 | 斐波那契 | 義大利 | 3 | π=3.141818 |
| 1400年 | Madhava | 10 | π=3.14159265359 | |
| 1424年 | Jamshid Masud Al Kashi | π=16位小數 | ||
| 1573年 | Valentinus Otho | π=6位小數 | ||
| 1593年 | 弗朗索瓦·韋達 | π=9位小數 | ||
| 1593年 | Adriaan van Roomen | π=15位小數 | ||
| 1596年 | 魯道夫·范·科伊倫 | π=20位小數 | ||
| 1615年 | π=32位小數 | |||
| 1621年 | 威理博·司乃耳, 范·科伊倫的學生 | π=35位小數 | ||
| 1665年 | 牛頓 | π=16位小數 | ||
| 1699年 | Abraham Sharp | π=71位小數 | ||
| 1700年 | 關孝和 | π=10位小數 | ||
| 1706年 | John Machin | π=100位小數 | ||
| 1706年 | William Jones | 引入希臘字母π | ||
| 1719年 | De Lagny | π=127位小數(只有112位正確) | ||
| 1723年 | 建部賢弘 | π=41位小數 | ||
| 1730年 | Kamata | π=25位小數 | ||
| 1734年 | 萊昂哈德·歐拉 | 引入希臘字母π並肯定其普及性 | ||
| 1739年 | 松永良弼 | π=50位小數 | ||
| 1761年 | 約翰·海因里希·蘭伯特 | 證明π是無理數 | ||
| 1775年 | 歐拉 | 指出π可能是超越數 | ||
| 1794年 | Jurij Vega | π=140位小數(只有136位正確) | ||
| 1794年 | 阿德里安-馬里·勒讓德 | - | ||
| 1841年 | Rutherford | π=208位小數(只有152位正確) | ||
| 1844年 | Zacharias Dase及Strassnitzky | π=200位小數 | ||
| 1847年 | Thomas Clausen | π=248位小數 | ||
| 1853年 | Lehmann | π=261位小數 | ||
| 1853年 | William Rutherford | π=440位小數 | ||
| 1855年 | Richter | π=500位小數 | ||
| 1874年 | William Shanks | π=707位小數(只有527位正確) | ||
| 1882年 | Lindemann | 證明π是超越數 | ||
| 1946年 | D. F. Ferguson | π=620位小數 | ||
| 1947年 | π=710位小數 | |||
| 1947年 | π=808位小數 | |||
| 1949年 | J. W. Wrench爵士和L. R. Smith | π=2,037位小數(首次使用計算機) | ||
| 1955年 | J. W. Wrench爵士及L. R. Smith | π=3,089位小數 | ||
| 1957年 | G.E.Felton | π=7,480位小數 | ||
| 1958年 | Francois Genuys | π=10,000位小數 | ||
| 1958年 | G.E.Felton | π=10,020位小數 | ||
| 1959年 | Francois Genuys | π=16,167位小數 | ||
| 1961年 | IBM 7090電晶體計算機 | π=20,000位小數 | ||
| 1961年 | J. W. Wrench, Jr,及L. R. Smith | π=100,000位小數 | ||
| 1966年 | π=250,000位小數 | |||
| 1967年 | π=500,000位小數 | |||
| 1974年 | π=1,000,000位小數 | |||
| 1981年 | 金田康正 | π=2,000,000位小數 | ||
| 1982年 | π=4,000,000位小數 | |||
| 1983年 | π=8,000,000位小數 | |||
| 1983年 | π=16,000,000位小數 | |||
| 1985年 | Bill Gosper | π=17,000,000位小數 | ||
| 1986年 | David H. Bailey | π=29,000,000位小數 | ||
| 1986年 | 金田康正 | π=33,000,000位小數 | ||
| 1986年 | π=67,000,000位小數 | |||
| 1987年 | π=134,000,000位小數 | |||
| 1988年 | π=201,000,000位小數 | |||
| 1989年 | 楚諾維斯基兄弟 | π=480,000,000位小數 | ||
| 1989年 | π=535,000,000位小數 | |||
| 1989年 | 金田康正 | π=536,000,000位小數 | ||
| 1989年 | 楚諾維斯基兄弟 | π=1,011,000,000位小數 | ||
| 1989年 | 金田康正 | π=1,073,000,000位小數 | ||
| 1992年 | π=2,180,000,000位小數 | |||
| 1994年 | 楚諾維斯基兄弟 | π=4,044,000,000位小數 | ||
| 1995年 | 金田康正和高橋大介 | π=4,294,960,000位小數 | ||
| 1995年 | π=6,000,000,000位小數 | |||
| 1996年 | 楚諾維斯基兄弟 | π=8,000,000,000位小數 | ||
| 1997年 | 金田康正和高橋大介 | π=51,500,000,000位小數 | ||
| 1999年 | π=68,700,000,000位小數 | |||
| 1999年 | π=206,000,000,000位小數 | |||
| 2002年 | 金田康正的隊伍 | π=1,241,100,000,000位小數 | ||
| 2009年 | 高橋大介 | π=2,576,980,370,000位小數 | ||
| 2009年 | 法布里斯·貝拉 | π=2,699,999,990,000位小數 | ||
| 2010年 | 近藤茂 | π=5,000,000,000,000位小數 | ||
| 2011年 | IBM“藍色基因/p”超級電腦 | π的60,000,000,000,000位二進制小數 | ||
註:上表 正確位數是指小數點後的位數。
算準記錄
| 小數點後位數 | 首次算準者 | 首次算準時間 |
| 1 | 巴比倫人 | 前20世紀 |
| 2-3 | 阿基米德 | 前3世紀(距離上次1700年) |
| 4-5 | 劉徽 | 263年(距離上次563年以上) |
| 6-7 | 祖沖之 | 480年(距離上次217年) |
| 8-10 | Madhava | 1400年(距離上次920年) |
| 11-16 | Jamshid Masud Al Kashi | 1424年(距離上次24年) |
| 17-20 | 魯道夫·范·科伊倫 | 1596年(距離上次172年) |
| 21-32 | 1615年(距離上次19年) | |
| 33-35 | 威理博·司乃耳, 范·科伊倫的學生 | 1621年(距離上次6年) |
| 36-71 | Abraham Sharp | 1699年(距離上次78年) |
| 72-100 | John Machin | 1706年(距離上次7年) |
| 101-112 | De Lagny | 1719年(距離上次13年) |
| 113-136 | Jurij Vega | 1794年(距離上次75年) |
| 137-152 | Rutherford | 1841年(距離上次47年) |
| 153-200 | Zacharias Dase及Strassnitzky | 1844年(距離上次3年) |
| 201-248 | Thomas Clausen | 1847年(距離上次3年) |
| 249-261 | Lehmann | 1853年(距離上次6年) |
| 262-440 | William Rutherford | 1853年(距離上次0年) |
| 441-500 | Richter | 1855年(距離上次2年) |
| 501-527 | William Shanks | 1874年(距離上次19年) |
| 528-620 | D. F. Ferguson | 1946年(距離上次72年) |
| 621-710 | 1947年(距離上次1年) | |
| 711-808 | 1947年(距離上次0年) | |
| 備註:這裡只列出人工計算的最高記錄,808位 | ||
記號
圓周率[圓的周長與直徑的比值]
圓周率[圓的周長與直徑的比值]
圓周率[圓的周長與直徑的比值]
圓周率[圓的周長與直徑的比值]是第十六個希臘字母的小寫。 這個符號,亦是希臘語 περιφρεια (表示周邊,地域,圓周等意思)的首字母。1706年英國數學家威廉·瓊斯(William Jones ,1675-1749)最先使用“π”來表示圓周率 。1736年,瑞士大數學家歐拉也開始用 表示圓周率。從此, 便成了圓周率的代名詞。
圓周率[圓的周長與直徑的比值]要注意不可把 和其大寫Π混用,後者是指連乘的意思。
公式
圓周率[圓的周長與直徑的比值]
圓周率[圓的周長與直徑的比值]
圓周率[圓的周長與直徑的比值]
圓周率[圓的周長與直徑的比值]
圓周率[圓的周長與直徑的比值]
圓周率[圓的周長與直徑的比值]
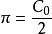
圓周率[圓的周長與直徑的比值]圓周率( )一般定義為一個圓形的周長( )與直徑( )之比:,或直接定義為單位圓的周長的一半。由相似圖形的性質可知,對於任何圓形, 的值都是一樣,這樣就定義出常數 。
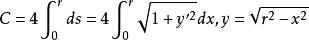
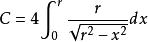
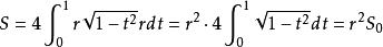
圓周率[圓的周長與直徑的比值]注意:將定義為單位圓的周長的一半是有意義的,這是因為從現代數學的角度來看,直徑為d、半徑為r的圓的周長C由以下積分給出:
圓周率[圓的周長與直徑的比值]
圓周率[圓的周長與直徑的比值]即
圓周率[圓的周長與直徑的比值]上式中令,由定積分的換元法可得:
圓周率[圓的周長與直徑的比值]
圓周率[圓的周長與直徑的比值]
圓周率[圓的周長與直徑的比值]
圓周率[圓的周長與直徑的比值]其中是單位圓周的周長(C的表達式中取r=1即得)。若定義,則,與我們熟知的周長公式相符。
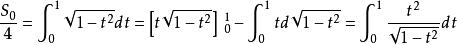
而半徑為r的圓的面積S由以下積分給出:
圓周率[圓的周長與直徑的比值]
圓周率[圓的周長與直徑的比值]令,由定積分的換元法可得:
圓周率[圓的周長與直徑的比值]
圓周率[圓的周長與直徑的比值]其中是單位圓的面積(S的表達式中取r=1即得)。利用分部積分法,
圓周率[圓的周長與直徑的比值]於是,
圓周率[圓的周長與直徑的比值]因此,我們得到關係式:
圓周率[圓的周長與直徑的比值]
圓周率[圓的周長與直徑的比值]這樣一來也得到了我們熟知的圓面積公式
圓周率[圓的周長與直徑的比值]第二個做法是,以圓形半徑為邊長作一正方形,然後把圓形面積和此正方形面積的比例定為 ,即圓形之面積與半徑平方之比。
圓周率[圓的周長與直徑的比值]定義圓周率不一定要用到幾何概念,比如,我們可以定義 為滿足
圓周率[圓的周長與直徑的比值]
圓周率[圓的周長與直徑的比值]的最小正實數 。
這裡的正弦函式定義為冪級數
圓周率[圓的周長與直徑的比值]特性
把圓周率的數值算得這么精確,實際意義並不大。現代科技領域使用的圓周率值,有十幾位已經足夠了。如果以39位精度的圓周率值,來計算宇宙的大小,誤差還不到一個原子的體積 。以前的人計算圓周率,是要探究圓周率是否循環小數。自從1761年蘭伯特證明了圓周率是無理數,1882年林德曼證明了圓周率是超越數後,圓周率的神秘面紗就被揭開了。
π在許多數學領域都有非常重要的作用。
幾何
| 平面圖形 | 周長 | 面積 |
| 圓 | 圓周率[圓的周長與直徑的比值] | 圓周率[圓的周長與直徑的比值] |
| 圓環 | 圓周率[圓的周長與直徑的比值] | |
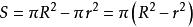
| 扇形 | 圓周率[圓的周長與直徑的比值] | 圓周率[圓的周長與直徑的比值] |
註:① 圓周率[圓的周長與直徑的比值] 圓周率[圓的周長與直徑的比值] 圓周率[圓的周長與直徑的比值] 圓周率[圓的周長與直徑的比值] 圓周率[圓的周長與直徑的比值] 圓周率[圓的周長與直徑的比值] 圓周率[圓的周長與直徑的比值] | ||
| 立體圖形 | 表面積 | 體積 |
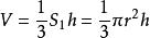
| 圓柱 | 圓周率[圓的周長與直徑的比值] | 圓周率[圓的周長與直徑的比值] |
圓周率[圓的周長與直徑的比值] | ||
圓周率[圓的周長與直徑的比值] | ||
圓周率[圓的周長與直徑的比值] | ||
| 圓錐 | 圓周率[圓的周長與直徑的比值] | 圓周率[圓的周長與直徑的比值] |
圓周率[圓的周長與直徑的比值] | ||
註:① 圓周率[圓的周長與直徑的比值] 圓周率[圓的周長與直徑的比值] 圓周率[圓的周長與直徑的比值] 圓周率[圓的周長與直徑的比值] 圓周率[圓的周長與直徑的比值] 圓周率[圓的周長與直徑的比值] 圓周率[圓的周長與直徑的比值] 圓周率[圓的周長與直徑的比值] | ||
代數
π是個無理數,即不可表達成兩個整數之比,是由瑞士科學家約翰·海因里希·蘭伯特於1761年證明的。 1882年,林德曼(Ferdinand von Lindemann)更證明了π是超越數,即π不可能是任何整係數多項式的根。
圓周率的超越性否定了化圓為方這古老尺規作圖問題的可能性,因所有尺規作圖只能得出代數數,而超越數不是代數數。
數學分析
Leibniz定理:
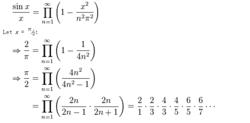
圓周率[圓的周長與直徑的比值]wallis公式:
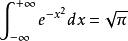
圓周率[圓的周長與直徑的比值]高斯積分:
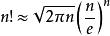
圓周率[圓的周長與直徑的比值]斯特林公式:
圓周率[圓的周長與直徑的比值]歐拉公式:
圓周率[圓的周長與直徑的比值]π的連分數表示:
圓周率[圓的周長與直徑的比值]
圓周率[圓的周長與直徑的比值]數論
圓周率[圓的周長與直徑的比值]兩個任意自然數是互質的機率是 。
圓周率[圓的周長與直徑的比值]任取一個任意整數,該整數沒有重複質因子的機率為 。
圓周率[圓的周長與直徑的比值]一個任意整數平均可用 個方法寫成兩個完全數之和。
機率論
設我們有一個以平行且等距木紋鋪成的地板,隨意拋一支長度比木紋之間距離小的針,求針和其中一條木紋相交的機率。這就是布豐投針問題。1777 年,布豐自己解決了這個問題——這個機率值是 1/π。
統計學
常態分配的機率密度函式:
圓周率[圓的周長與直徑的比值]物理學
海森堡不確定性原理:
圓周率[圓的周長與直徑的比值]相對論的場方程:
圓周率[圓的周長與直徑的比值]國際圓周率日
2011年,國際數學協會正式宣布,將每年的3月14日設為國際數學節,來源則是中國古代數學家祖沖之的圓周率。
國際圓周率日可以追溯至1988年3月14日,舊金山科學博物館的物理學家Larry Shaw,他組織博物館的員工和參與者圍繞博物館紀念碑做3又1/7圈(22/7,π的近似值之一)的圓周運動,並一起吃水果派。之後,舊金山科學博物館繼承了這個傳統,在每年的這一天都舉辦慶祝活動。
2009年,美國眾議院正式通過一項無約束力決議,將每年的3月14日設定為“圓周率日”。決議認為,“鑒於數學和自然科學是教育當中有趣而不可或缺的一部分,而學習有關π的知識是一教孩子幾何、吸引他們學習自然科學和數學的迷人方式……π約等於3.14,因此3月14日是紀念圓周率日最合適的日子。”
趣聞事件
歷史上最馬拉松式的人手π值計算,其一是德國的魯道夫·范·科伊倫(Ludolph van Ceulen),他幾乎耗盡了一生的時間,於1609年得到了圓周率的35位精度值,以至於圓周率在德國被稱為Ludolphine number;其二是英國的威廉·山克斯(William Shanks),他耗費了15年的光陰,在1874年算出了圓周率的小數點後707位,並將其刻在了墓碑上作為一生的榮譽。可惜,後人發現,他從第528位開始就算錯了。
在谷歌公司2005年的一次公開募股中,共集資四十多億美元,A股發行數量是14,159,265股,這當然是由π小數點後的位數得來。(順便一提,谷歌公司2004年的首次公開募股,集資額為$2,718,281,828,與數學常數e有關 )
排版軟體TeX從第三版之後的版本號為逐次增加一位小數,使之越來越接近π的值:3.1,3.14,……當前的最新版本號是3.1415926。
每年3月14日為圓周率日,“終極圓周率日”則是1592年3月14日6時54分,(因為其英式記法為“3/14/15926.54”,恰好是圓周率的十位近似值。)和3141年5月9日2時6分5秒(從前往後,3.14159265)
7月22日為圓周率近似日(英國式日期記作22/7,看成圓周率的近似分數)
有數學家認為應把"真正的圓周率"定義為2π,並將其記為τ(發音:tau)。
![圓周率[圓的周長與直徑的比值] 圓周率[圓的周長與直徑的比值]](/img/5/b0a/nBnauM3XwUDM0gTO5IjN2IDN0UTMyITNykTO0EDMwAjMwUzLyYzL0UzLt92YucmbvRWdo5Cd0FmLyE2LvoDc0RHa.jpg)
圓周率[圓的周長與直徑的比值]
圓周率[圓的周長與直徑的比值]
圓周率[圓的周長與直徑的比值]
圓周率[圓的周長與直徑的比值]
圓周率[圓的周長與直徑的比值]
圓周率[圓的周長與直徑的比值]
圓周率[圓的周長與直徑的比值]
圓周率[圓的周長與直徑的比值]
圓周率[圓的周長與直徑的比值]
圓周率[圓的周長與直徑的比值]
圓周率[圓的周長與直徑的比值]
圓周率[圓的周長與直徑的比值]
圓周率[圓的周長與直徑的比值]
圓周率[圓的周長與直徑的比值]
圓周率[圓的周長與直徑的比值]
圓周率[圓的周長與直徑的比值]
圓周率[圓的周長與直徑的比值]
圓周率[圓的周長與直徑的比值]
圓周率[圓的周長與直徑的比值] 