歷史起源
五角星最早對五角星的使用被發現在古巴比倫地區兩河流域文明的文獻資料里,表示一些極像pentemychos的東西。代表五個星球:木星、水星、火星、土星和“天堂的皇后”(Ishtar)金星(代表上位)。
日常使用
有許多國家的國旗設計都包含五角星:如衣索比亞、摩洛哥、越南、朝鮮、中華人民共和國、美國等等。很多時候,五角星的中間被填滿,移除了五角形和五個等腰三角形之間的分界。
內在含義
五角星一直以來,五角星都與對金星和維納斯的崇拜有密切關係。造成這關係的各個可能原因中,最可信的是史前天文學家的觀察。由地球望去,圍著太陽的金星軌道每八年重複一次。它自成的五個交叉點恰好畫出一個近乎完美的五角星。
在古希臘和巴比倫,五角星也有特殊的象徵意義。五角星是魔術的代表符號,是非猶太教徒的符號。初期基督教會亦有用五角星代表耶穌的五個傷口,後則多代表異教徒和撒旦主義者。
五角星在魔法中是一種特別的圖形,用於魔法時,通常稱為“五芒星”。用正的五芒星作魔法陣是白魔法,用倒的五芒星則是象徵黑魔法。
而在東方文明中國的陰陽五行裡面,五行相生相剋的連線剛好是五角星,在日本,五角星更被認為是安倍晴明的桔梗印。
製作方法
五角星1、作圓O.半徑OA;
2、過點A作OA的垂線段AB,使AB=1/2OA;
3、連結OB,在OB上截取BC=AB;
4、以OC為半徑,A為起點,在圓O上依次截取相等的弧AD=DE=EF=FG=GH……=LA.依次連結成一個正十邊形。
5、依次間隔一點連結成正五邊形,
6、連結正五邊形的對角線,即得五角星。
這裡還有一種方法,因為五角星的線段遵循黃金比,那么我們可以通過做一個黃金比來做五角星。
1:作一線段AB;
2:做該線段的中垂線,交線段於C;
3:在中垂線的一側截CD=AB,連線AD;
4:在AD上截AE=AC;
5:在CD上截CF=DE、DG=DE;
6:分別以C、D為圓心,以CG或DF長為半徑畫弧;
7:分別以F、G為圓心,以FG長為半徑畫弧,交6中的兩條弧於H、I;
8:連線DH、CI、FH、GI並延長,DH和CI的延長線交於點J;
9:那么,五邊形FHJIG為正五邊形,五角星就能看得出來了。
數學幾何
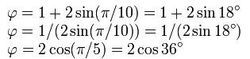
五角星黃金分割比(goldenratio),
公式滿足:
公式在正五邊形和五角星中扮演一個重要的角色。每條邊都被分割成幾段小的線段,如果用一對線段中較長線段的長度除以較短線段的長度將得到φ。
公式大五邊形的一條邊與一條藍色線段等長,同樣的小五角星的一條對角線與一條綠色線段等長。
如果線段有長度(線條),那圖中就有兩個相似的正五邊形。“線段”怎樣,線條就怎樣,並且它們的交點也可能變化。例如,在摩洛哥的國旗上,綠色五角星有一個黑色的外輪廓,它不“穿過”相交的線條。這跟衣索比亞國旗上五角星中的完全黃色和沒有外輪廓,是不一樣的。
五角星五個角的總度數永遠都為180度。

