定義
我們知道,三角函式分為sin(正弦)、cos(餘弦)、tan(正切)、cot(餘切)、sec(正割)、csc(餘割)六種。而雙曲函式也如此。故而,反雙曲函式也有六種。有反雙曲正弦、反雙曲餘弦、反雙曲正切、反雙曲餘切、反雙曲正割、反雙曲餘割六種。這裡,就介紹比較常見的前三種:反雙曲正弦、反雙曲餘弦、反雙曲正切。
反雙曲函式是雙曲函式的反函式。記為(arsinh、arcosh、artanh等等)。與反三角函式不同之處是它的前綴是 ar意即area(面積),而不是arc(弧)。
反雙曲正弦
反雙曲正弦函式圖像反雙曲正弦函式記作y=arsinhx。
反雙曲函式
反雙曲函式雙曲函式y=sinhx的定義是y=sinhx= .那么,取它的反函式,最終得到反雙曲正弦函式的定義是y=arsinhx= 。
反雙曲函式
反雙曲函式反雙曲正弦函式的定義域為 。它是奇函式。在區間 內單調增加。反雙曲正弦函式的圖像如圖所示。
反雙曲函式
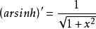
反雙曲函式反雙曲正弦函式的導數是 。不定積分是 (不包含不定積分特有的常數C)。
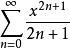
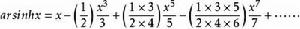
反雙曲正弦函式的冪級數展開式是:
反雙曲函式
反雙曲函式
反雙曲函式。
反雙曲餘弦
反雙曲餘弦函式圖像反雙曲餘弦函式記作y=arcoshx。
反雙曲函式
反雙曲函式雙曲函式y=coshx的定義是y=coshx= .那么,取它的反函式,最終得到反雙曲餘弦函式的定義是y=arcoshx= 。
反雙曲函式
反雙曲函式反雙曲餘弦函式的定義域為 。它是非奇非偶函式。在區間 內單調增加。反雙曲餘弦函式的圖像如圖所示。
反雙曲函式
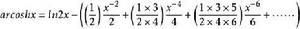
反雙曲函式反雙曲餘弦函式的導數是 。不定積分是 (不包含不定積分特有的常數C)。
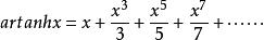
反雙曲餘弦函式的冪級數展開式是:
反雙曲函式
反雙曲函式
反雙曲函式= 。
反雙曲正切
反雙曲正切函式記作y=artanhx。
反雙曲函式
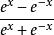
反雙曲函式雙曲函式y=sinhx的定義是y=tanhx= .那么,取它的反函式,最終得到反雙曲正切函式的解析式是y=artanhx= 。
反雙曲函式
反雙曲函式反雙曲正切函式的定義域為 。它是奇函式。在區間 內單調增加。反雙曲正切函式的圖像如圖所示。
反雙曲函式
反雙曲函式
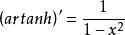
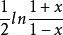
反雙曲函式反雙曲正切函式的導數是 。不定積分是 (不包含不定積分特有的常數C)。需要注意,在反雙曲正切的不定積分中,有條件 ,此不定積分才能成立。
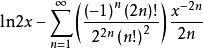
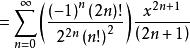
反雙曲正切函式的冪級數展開式是:
反雙曲函式
反雙曲函式
反雙曲函式= 。
對比
在數學中,雙曲函式類似於常見的(也叫圓函式的)三角函式。基本雙曲函式是雙曲正弦“sinh”,雙曲餘弦“cosh”,從它們導出雙曲正切“tanh”等。
求導
雙曲函式求導
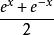
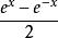
shx = (e^x - e^(-x)/2, (shx) ' =chx
chx = (e^x + e^(-x)/2, (chx) ' =shx
thx = shx / chx, (thx) ' = 1/(chx)^2
反雙曲函式求導
arsinh x = ln[ x+ (x^2+1)^(1/2) ] , (arsinh x) ' = 1/ (x^2+1)^(1/2)
arcosh x = ln[ x+ (x^2-1)^(1/2) ] , (arcosh x) ' = 1/ (x^2-1)^(1/2)
artanh x =(1/2) [ ln(1+x)/(1-x) ], (artanh x) ' = 1/(1-x^2)

