導數表
推導過程
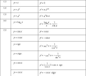
1.y=c(c為常數) y'=0
2.y=x^n y'=nx^(n-1
3.y=a^x y'=a^xlna
y=e^x y'=e^x
4.y=logax y'=logae/x
y=lnx y'=1/x
5.y=sinx y'=cosx
6.y=cosx y'=-sinx
7.y=tanx y'=1/cos^2x
8.y=cotx y'=-1/sin^2x
9.y=arcsinx y'=1/√1-x^2
10.y=arccosx y'=-1/√1-x^2
11.y=arctanx y'=1/1+x^2
12.y=arccotx y'=-1/1+x^2
導數表推導過程
1.顯而易見,y=c是一條平行於x軸的直線,所以處處的切線都是平行於x的,故斜率為0。用導數的定義做也是一樣的:y=c,△y=c-c=0,lim△x→0△y/△x=0。 ⒉這個的推導暫且不證,因為如果根據導數的定義來推導的話就不能推廣到n為任意實數的一般情況。在得到y=e^xy'=e^x和y=lnxy'=1/x這兩個結果後能用複合函式的求導給予證明。 ⒊y=a^x, △y=a^(x+△x)-a^x=a^x(a^△x-1) △y/△x=a^x(a^△x-1)/△x 如果直接令△x→0,是不能導出導函式的,必須設一個輔助的函式β=a^△x-1通過換元進行計算。由設的輔助函式可以知道:△x=loga(1+β)。 所以(a^△x-1)/△x=β/loga(1+β)=1/loga(1+β)^1/β 顯然,當△x→0時,β也是趨向於0的。而limβ→0(1+β)^1/β=e,所以limβ→01/loga(1+β)^1/β=1/logae=lna。 把這個結果代入lim△x→0△y/△x=lim△x→0a^x(a^△x-1)/△x後得到lim△x→0△y/△x=a^xlna。 可以知道,當a=e時有y=e^xy'=e^x。 ⒋y=logax △y=loga(x+△x)-logax=loga(x+△x)/x=loga[(1+△x/x)^x]/x △y/△x=loga[(1+△x/x)^(x/△x)]/x 因為當△x→0時,△x/x趨向於0而x/△x趨向於∞,所以lim△x→0loga(1+△x/x)^(x/△x)=logae,所以有 lim△x→0△y/△x=logae/x。 可以知道,當a=e時有y=lnxy'=1/x。 這時可以進行y=x^ny'=nx^(n-1)的推導了。因為y=x^n,所以y=e^ln(x^n)=e^nlnx, 所以y'=e^nlnx·(nlnx)'=x^n·n/x=nx^(n-1)。 ⒌y=sinx △y=sin(x+△x)-sinx=2cos(x+△x/2)sin(△x/2) △y/△x=2cos(x+△x/2)sin(△x/2)/△x=cos(x+△x/2)sin(△x/2)/(△x/2) 所以lim△x→0△y/△x=lim△x→0cos(x+△x/2)·lim△x→0sin(△x/2)/(△x/2)=cosx ⒍類似地,可以導出y=cosxy'=-sinx。 ⒎y=tanx=sinx/cosx y'=[(sinx)'cosx-sinx(cos)']/cos^2x=(cos^2x+sin^2x)/cos^2x=1/cos^2x ⒏y=cotx=cosx/sinx y'=[(cosx)'sinx-cosx(sinx)']/sin^2x=-1/sin^2x ⒐y=arcsinx x=siny x'=cosy y'=1/x'=1/cosy=1/√1-sin^2y=1/√1-x^2 ⒑y=arccosx x=cosy x'=-siny y'=1/x'=-1/siny=-1/√1-cos^2y=-1/√1-x^2 ⒒y=arctanx x=tany x'=1/cos^2y y'=1/x'=cos^2y=1/sec^2y=1/1+tan^2x=1/1+x^2 ⒓y=arccotx x=coty x'=-1/sin^2y y'=1/x'=-sin^2y=-1/csc^2y=-1/1+cot^2y=-1/1+x^2 ⒔聯立: ①(ln(u^v))'=(v*lnu)' ②(ln(u^v))'=ln'(u^v)*(u^v)'=(u^v)'/(u^v) 另外在對雙曲函式shx,chx,thx等以及反雙曲函式arshx,archx,arthx等和其他較複雜的複合函式求導時通過查閱導數表和運用開頭的公式與 ⒋y=u土v,y'=u'土v' ⒌y=uv,y=u'v+uv' 均能較快捷地求得結果。注釋
另外在對雙曲函式shx,chx,thx等以及反雙曲函式arshx,archx,arthx等和其他較複雜的複合函式求導時通過查閱導數表和運用開頭的公式與
4.y=u土v,y'=u'土v'
5.y=uv,y=u'v+uv'
均能較快捷地求得結果。

