定義
設函式Y=f(u)的定義域為D,函式u=φ(x)的值域為Z,如果D∩Z,則y通過u構成x的函式,稱為x的複合函式,記作Y=f[φ(x)]。x為自變數,y為因變數,而u稱為中間變數。
複合函式如等都是複合函式。
複合函式而就不是複合函式,因為任何x都不能使y有意義。由此可見,不是任何兩個函式放在一起都能構成一個複合函式。
複合函式通俗地說就是函式套函式,是把幾個簡單的函式複合為一個較為複雜的函式。複合函式中不一定只含有兩個函式,有時可能有兩個以上,如y=f(u),u=φ(v),v=ψ(x),則函式y=f{φ[ψ(x)]}是x的複合函式,u、v都是中間變數。
定義域
若函式 y= f( u)的定義域是B, u= g( x)的定義域是A,則複合函式 y= f[ g( x)]的定義域是D={ x| x∈A,且 g( x)∈B} 綜合考慮各部分的x的取值範圍,取他們的交集。
求函式的定義域主要應考慮以下幾點:
⑴當為整式或奇次根式時,R的值域;
⑵當為偶次根式時,被開方數不小於0(即≥0);
⑶當為分式時,分母不為0;當分母是偶次根式時,被開方數大於0;
⑷當為指數式時,對零指數冪或負整數指數冪,底不為0(如,中)。
⑸當是由一些基本函式通過四則運算結合而成的,它的定義域應是使各部分都有意義的自變數的值組成的集合,即求各部分定義域集合的交集。
⑹分段函式的定義域是各段上自變數的取值集合的並集。
⑺由實際問題建立的函式,除了要考慮使解析式有意義外,還要考慮實際意義對自變數的要求
⑻對於含參數字母的函式,求定義域時一般要對字母的取值情況進行分類討論,並要注意函式的定義域為非空集合。
⑼對數函式的真數必須大於零,底數大於零且不等於1。
⑽三角函式中的切割函式要注意對角變數的限制。
周期性
設y=f(u)的最小正周期為T,μ=φ(x)的最小正周期為T,則y=f(μ)的最小正周期為T*T,任一周期可表示為k*T*T(k屬於R).
單調(增減)性
決定因素
依y=f(u),μ=φ(x)的單調性來決定。即“增+增=增;減+減=增;增+減=減;減+增=減”,可以簡化為“ 同增異減”。
基本步驟
判斷複合函式的單調性的步驟如下:
⑴求複合函式的定義域;
⑵將複合函式分解為若干個常見函式(一次、二次、冪、指、對函式);
⑶判斷每個常見函式的單調性;
⑷將中間變數的取值範圍轉化為自變數的取值範圍;
⑸求出複合函式的單調性。
例題
複合函式例如:討論函式y= 的單調性。
解:函式定義域為R;
令u=x -4x+3,y=0.8 ;
指數函式y=0.8 在(-∞,+∞)上是減函式;
u=x -4x+3在(-∞,2]上是減函式,在[2,+∞)上是增函式;
複合函式∴ 函式y= 在(-∞,2]上是增函式,在[2,+∞)上是減函式。
複合函式求導
規則
複合函式求導的前提:複合函式本身及所含函式都可導。
法則1:設u=g(x),對f(u)求導得:f'(x)=f'(u)*g'(x);
法則2:設u=g(x),a=p(u),對f(a)求導得:f'(x)=f'(a)*p'(u)*g'(x);
複合函式的導數套用舉例
1、求:函式f(x)=(3x+2) +3的導數。
解:設u=g(x)=3x+2;
f(u)=u +3;
f'(u)=3u =3(3x+2) ;
g'(x)=3;
f'(x)=f'(u)*g'(x)=3(3x+2) *3=9(3x+2) ;
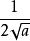
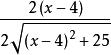
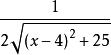
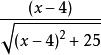
複合函式2、求f(x)= 的導數。
解:設u=g(x)=x-4,a=p(u)=u +25
複合函式f(a)= ;
複合函式
複合函式f'(a)= = ;
p'(u)=2u=2(x-4);
g'(x)=1;
複合函式
複合函式f'(x)=f'(a)*p'(u)*g'(x)= = .

