積分學
正文
與微分學聯繫密切,共同組成了分析學的一個基本分支──微積分學。積分學主要研究積分的性質、計算及其在自然科學與技術科學中的套用。積分學的最基本的概念是關於一元函式的定積分與不定積分。蘊含在定積分概念中的基本思想是通過有限逼近無限。因此極限方法就成為建立積分學嚴格理論的基本方法。定積分定義比較完整地概括了積分思想,也比較深刻地揭示了概念的實質。然而這樣定義的積分,除非是在某些極為特殊的情況下,很難直接地用於實際的計算。通常的辦法是先計算被積函式的不定積分,再利用牛頓-萊布尼茨公式算出它的定積分值。不過,即使是對於初等函式,計算不定積分的問題也不能完全地得到解決,因為初等函式的不定積分未必仍然是初等函式。所以不得不考慮進行積分的近似計算並且相應地引進一些非初等函式的新函式。所有這一切使得積分的計算成為很突出的問題。定積分 促成定積分概念形成的一個問題是幾何方面的計算平面上的曲邊形面積。這個問題相當古老。儘管面積概念自古就已被直觀地、經驗地理解著,卻缺乏一般可行的計算方法。如阿基米德等古希臘數學家,用所謂“窮竭法”算出了圓、弓形與拋物線弓形的面積。中國古代數學家劉徽創造了所謂“割圓術”,他從圓內接正六邊形起算,令邊數成倍地增加,再逐個算出正六邊形,正十二邊形,正二十四邊形……的面積,然後用這一串面積序列來逼近圓面積。不過,古代關於計算面積的樸素思想遠未達到形成面積概念的境界。他們只完成了一些特殊的曲邊形面積的計算。直到17世紀,I.牛頓、G.W.萊布尼茨才明確地提出了面積計算的普遍方法。
曲邊梯形的面積 是指【α, b】區間上的非負連續函式ƒ(x)與x軸及直線x=α和x=b圍成的一塊面積。由於曲線形總是用有限個這種圖形組成的,因而計算它的面積是一個基本問題。首先可以把曲邊梯形的面積S 劃分成一些小曲邊梯形的面積 ΔSi之和(圖1
):
,再用小矩形的面積
來代替每一塊小面積ΔSi。 和式
表示各個小矩形面積之和,它與S的差別將隨著小面積劃分的細密程度的增高而愈來愈小。由於小面積的劃分是通過對區間 【α, b】的劃分來實現的,如果令λ為最大的區間長度,即
那么曲邊梯形面積就有極限表示: 
,並用均勻變化過程的計算方法來近似計算 ΔЛi或Δwi。如果ΔЛi是時間間隔【ti-1, ti】中物體運動的路程,則可用在此時間間隔內的勻速運動所行進的路程 υ(ξi)·(ti-ti-1)=υ(ξi)·Δti
來近似地代替ΔЛi,其中 υ(ξi)可以是物體在 ti-1到ti之間任何時刻的速度。如果Δwi是變力F(s)在小段路程間隔【si-1,si】上所作的功,則可用在此小段路程上常力作功 F(ξi)·(si-si-1)=F(ξi)·Δsi來近似代替Δwi,其中F(ξi)可以是物體在路程si-1 到si之間任何一點處所受的力。這時和式

定積分的定義 設函式ƒ(x)定義在區間【α,b】上,在這區間上順序插入任意若干分點:



當【α,b】上的連續函式ƒ(x)≥0時,積分
有著明顯的幾何意義,它表示由曲線y=ƒ(x)及直線x=α,x=b,y=0所圍成的曲邊梯形的面積(圖1)。至於一般的函式,如果規定x軸下面的曲邊形的面積是負的,則積分
給出了如圖2中幾部分“有向”面積的代數和。
積分學


第一中值定理 對於區間[α,b]上一個連續函式ƒ(x)與一個不變號的可積函式φ(x),一定存在該區間上一點ξ,使得


分別是區間【xi-1,xi】 上ƒ(x)的上、下確界。這個充分必要條件刻畫了黎曼可積函式類僅由那些不連續的範圍不甚廣的有界函式所組成。以上結論又可以確切地敘述為:黎曼積分存在的一個充分必要條件是被積函式在積分區間上有界,並且其不連續點能夠被一些區間所覆蓋,而這些區間的總長度可以任意小。 定積分概念可以推廣到廣義積分、含參變數積分、多元函式在相應的高維區域上的積分(見多元微積分學)等。近代尤其重要的推廣是對黎曼積分的定義加以改造而構成勒貝格積分的概念。勒貝格以他關於點集的測度概念為基礎,建立的這一新的積分理論擴充了黎曼可積函式類,克服了黎曼積分在極限運算方面存在的局限性,使有關極限與積分交換次序的理論變得非常簡明(見勒貝格積分)。
不定積分 某些實際問題的解決常常歸結到尋求一個函式,使它以某一個已知函式為導數。例如,研究一個質點的非勻速直線運動,如果知道的是它在各個時刻的瞬時速度υ (t),要想獲得該質點所在的位置對時間的依賴關係,便歸結到尋求一個函式s(t),使它的導數恰等於υ(t)。一般地說,對於給定函式ƒ(x), 求出一個或一族(如果運算結果不惟一)函式,使其導數為ƒ(x)的運算稱為積分ƒ(x)。因此,如果積分ƒ(x)的結果是F(x),則微分F(x)的結果便是ƒ(x),所以積分是微分的逆運算。
原函式 如果函式F(x)的導數是函式ƒ(x),即
,則稱F(x)為ƒ(x)的一個原函式。ƒ(x)的原函式不是惟一的。例如F(x)加上任意常數後,其導數仍然是ƒ(x)。因此重要的事情是弄清楚,ƒ(x)的全體原函式有什麼樣的結構,或者說需要弄清楚ƒ(x)的任何兩個原函式之間的關係。如果F(x)與G(x)都是ƒ(x)的原函式,對函式【F(x)-G(x)】在某一任意區間【x0,x】上套用微分中值定理可得F(x)-G(x)呏常數,這說明了一個函式的任意兩個原函式之間至多只能相差一個常數。 不定積分與原函式 函式 ƒ(x) 的不定積分指的是ƒ(x)的全體原函式,記為
。如果已知ƒ(x)的一個原函式F(x),則有 
積分法 求函式的不定積分的一些基本法則。基於積分與微分的互逆關係,將微分公式倒轉順序,便立刻得到一些簡單的積分公式:




相應於乘積微分公式的積分方法是分部積分法:

求不定積分比求導數要困難得多,即使一些簡單的初等函式,它們的不定積分也不一定能用初等函式的有限形式表達出來。例如
等都是“積不出來”的。但這些不定積分仍然可以用其他形式表明自身作為原函式的存在性。 微分和積分的關係 以計算面積為背景的積分運算,從誕生的時候起,就顯示了與微分運算的密切聯繫。牛頓和萊布尼茨首先在幾何上發現了這個事實。如果ƒ(x)是區間【α,b】上的連續函式,由曲線y=ƒ(x)與x軸及α與x二點的縱坐標線圍成的圖形的面積(圖3
)可以用積分
表示。它是x的函式,記作F(x)。當x有一個改變數 Δx,面積 F(x) 相應地有一個改變數ΔF(x)。幾何上可以看出,表示ΔF(x)的主要部分的一小塊矩形面積可以是 ƒ(x)·Δx 。對這一事實採用微分的符號來表示,就是 
微積分學基本定理 如果函式 ƒ(x)在區間[α ,b]上連續,則
在區間【α,b】內可微,而且
這就是說,對於任何一個連續函式ƒ(x)都有一個可以直接從定積分得到的原函式:
因此對於ƒ(x)的任意一個原函式G(x),也就總可以表示為
比較G(x)在x=α與x=b的不同形式,就得到了真正實現定積分計算的公式: 牛頓-萊布尼茨公式
這個公式說明在ƒ(x)的一個原函式可以求得的先決條件下(許多情況確實如此),定積分
的計算可以轉化為求這個原函式G(x)在兩點的函式值的差。這比直接使用定義去求和、取極限來計算定積分顯然要容易得多。這個公式是微積分學基本定理的直接推論。微積分學基本定理的重要性就在於它把微分與積分從概念上和計算上同時聯繫起來,而成為微積分學形成的理論基礎。 定積分的計算 基於牛頓-萊布尼茨公式,通常套用的方法有換元法和分部積分法。
① 換元法
這裡要求的條件是:ƒ(x)在區間【α,b】上連續;φ(t)在區間【α,β】上連續並且適合φ(α)=α,φ(β)=b,α≤φ(t)≤b;φ ′(t)在區間【α,β】上處處存在並且可積。
② 分部積分法
這裡要求的條件是函式u′,υ′在區間【α,b】上處處存在並且可積。
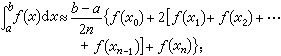
定積分的近似計算 由於不少函式的原函式不是初等函式,有些即使是初等函式,其函式值也不一定容易計算,所以在實際計算這些函式的定積分時,往往要考慮通過被積函式來近似計算。近似計算方法的基本思想是:對被積函式進行適當的分劃、求和,用有限和來代替積分的真值,並且同時給出這種代替的誤差估計。普通的數值積分方法有:
① 矩形法
其誤差
,其中M是 |ƒ″(x)|在區間【α,b】上的最大值。 ②梯形法
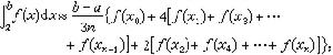
,其中M是|ƒ″(x)|在區間【α,b】上的最大值。 ③拋物線法
,其中M是|ƒ(4)(x)|在區間【α,b】上的最大值。上述近似公式稱為辛普森公式。 以上三個近似公式中的xk(k=0,1,…,n)是等分區間【α,b】的分點,
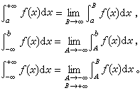
稱為步長,拋物線法中的n應是偶數。 廣義積分 黎曼積分只是在被積函式有界且積分區間為有窮的限制下定義的。但在套用中有時需要取消這些限制。這就導致廣義積分概念的產生。廣義積分包括無窮積分與瑕積分兩種。
無窮積分 即積分區間為無窮的積分,被定義為正常的黎曼積分的極限:

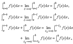
瑕積分 相應於函式ƒ(x)在區間【α,b】的某一端點或某一內點с 附近為無界的情形(該點便稱為函式的瑕點),有

廣義積分的收斂性定義與無窮級數的收斂性定義有許多相似之處。例如在無窮積分中,
的地位恰如無窮級數中的部分和
一樣。符號
也如
一樣,即表示積分本身,在積分收斂時又表示積分值。在無窮積分與瑕積分中也有絕對收斂與條件收斂的概念以及相應的判別法,這些判別法在原則上也與無窮級數中的那些判別法一致(見級數)。 柯西主值 柯西曾結合物理意義提出了積分主值的概念,它的定義是:
,

;
。
假設ƒ(x,t)是一個定義在平面矩形區域R(α≤x≤b;α≤t≤β)上的二元連續函式,考慮它對x在區間【α,b】上的積分,在積分過程中被積函式所依賴的變數t始終保持某一個固定的值。這個積分稱為含參變數 t的積分。由於積分值依賴於t而惟一確定,由此可以定義t的一個函式
。
。
在R上存在並且連續時,則φ(t)在區間(α ,β)內可微,並且
。
,如果對t在其取值區間[α,β]上的一切參變數值,相應的積分都收斂,則可確定函式
。
如果對於任意的ε>0,存在Aε,當A≥Aε時,對於區間[α ,β]上的一切參量t,不等式

在t的區間[α ,β]上一致收斂。 使用一致收斂概念來研究函式φ(t)的分析性質,可得到與含參變數的黎曼積分相似的結論:當函式ƒ(x,t)在區域x≥α, α ≤t≤β上二元連續,積分
在區間【α, β】上一致收斂時,函式
在區間【α,β】上連續,並且
。
, 同時積分
在區間【α,β】上一致收斂時,函式φ(t)在這個區間上可微,並且
。
Γ函式
是利用含參變數的廣義積分確定一個非初等函式的重要例子。這積分若且唯若s>0時收斂;並且在區間α ≤s≤β上一致收斂,其中α與β為任意兩個正數 (0<α<β)。 因此函式 Г(s)在任何s>0處都連續。Г函式的一個基本性質是 Г(s+1)=s·Г(s)。
根據這一性質可得到n!的表達式
。
。

