黎曼可積
黎曼可積在實分析中, 由黎曼創立的黎曼積分首次對函式在給定區間上的積分給出了一個精確定義。黎曼積分在技術上的某些不足之處可由後來的黎曼-斯蒂爾傑斯積分和勒貝格積分得到修補。
概念
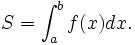
黎曼可積作為曲線與坐標軸所夾面積的黎曼積分對於一在區間[a,b]上之給定非負函式f(x),我們想要確定f(x)所代表的曲線與X坐標軸所夾圖形的面積,我們可以將此記為黎曼積分的核心思想就是試圖通過無限逼近來確定這個積分值。同時請注意,如f(x)取負值,則相應的面積值S亦取負值。
一列黎曼和。右上角的數字表示分割的矩形數。這列黎曼和趨於一個定值,記為此函式的黎曼積分。
區間的分割
一個閉區間[a,b]的一個分割是指在此區間中取一個有限的點列。每個閉區間[xi,xi + 1]叫做一個子區間。定義λ 為這些子區間長度的最大值:λ = max(xi + 1 − xi),其中。
再定義取樣分割。一個閉區間[a,b]的一個取樣分割是指在進行分割後,於每一個子區間中[xi,xi + 1]取出一點 。λ的定義同上。
精細化分割:設已經構成了閉區間[a,b]的一個取樣分割,和是另一個分割。如果對於任意,都存在r(i)使得xi = yr(i),並存在使得ti = sj,那么就把分割:、稱作分割、的一個精細化分割。簡單來說,就是說後一個分割是在前一個分割的基礎上添加一些分點和標記。
於是我們可以在此區間的所有取樣分割中定義一個偏序關係,稱作“精細”。如果一個分割是另外一個分割的精細化分割,就說前者比後者更“精細”。
黎曼和
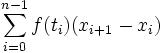
黎曼可積對一個在閉區間[a,b]有定義的實值函式f,f關於取樣分割 、的黎曼和定義為以下和式:
}-
和式中的每一項是子區間長度xi + 1 − xi與在ti處的函式值f(ti)的乘積。直觀地說,就是以標記點ti到X軸的距離為高,以分割的子區間為長的矩形的面積。
黎曼積分
不太嚴格地來說,黎曼積分就是當分割越來越“精細”的時候,黎曼和趨向的極限。下面的證明中,會對“越來越‘精細’”作出嚴格的定義。
要使得“越來越‘精細’”有效,需要把λ趨於0。如此[xi,xi + 1]中的函式值才會與f(ti)接近,矩形面積的和與“曲線下方”的面積的差也會越來越小。實際上,這就是黎曼積分定義的大概描述。
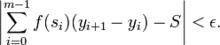
黎曼可積嚴格定義如下:S是函式f在閉區間[a,b]上的黎曼積分,若且唯若對於任意的ε > 0,都存在δ > 0,使得對於任意的取樣分割、,只要它的子區間長度最大值足夠小 ,就有:
}-
也就是說,對於一個函式f,如果在閉區間[a,b]上,無論怎樣進行取樣分割,只要它的子區間長度最大值足夠小,函式f的黎曼和都會趨向於一個確定的值,那么f在閉區間[a,b]上的黎曼積分存在,並且定義為黎曼和的極限,這時候稱函式f為黎曼可積的。
這個定義的缺陷是沒有可操作性,因為要檢驗所有的取樣分割是難以做到的。下面引進另一個定義,然後證明它們是等價的。
另一個定義: S是函式f在閉區間[a,b]上的黎曼積分,若且唯若對於任意的ε > 0,都存在一個取樣分割、,使得對於任何比其“精細”的分割 and ,都有:
黎曼可積}-
黎曼可積這兩個定義是等價的。如果有一個S滿足了其中一個定義,那么它也滿足另一個。首先,如果有一個S滿足第一個定義,那么只需要在子區間長度最大值的分割中任取一個。對於比其精細的分割,子區間長度最大值顯然也會小於δ,於是滿足
}-
其次,如果有一個S滿足第二個定義,首先引進達布積分的概念。首先第二個定義和達布積分的定義是等價的,具體見達布積分。其次我們證明達布積分的定義滿足第一個定義。任選一個分割使得它的上達布和與下達布和都與S相差不超過 。令r等於,其中Mi和mi是f在[xi,xi + 1]上的上確界和下確界。再令δ是和}-中的較小者。可以看出,當一個分割的子區間長度最大值小於δ時, f關於它的黎曼和與上達布和或下達布和至多相差,所以和S至多相差ε。
黎曼積分的事實
黎曼可積黎曼積分是線性變換;也就是說,如果f和g在區間[a,b]上黎曼可積,α和β是常數,則:
[a,b]上的實函式f是黎曼可積的,若且唯若它是有界和幾乎處處連續的。
如果[a,b]上的實函式是黎曼可積的,則它是勒貝格可積的。
黎曼可積如果fn是[a,b]上的一個一致收斂序列,其極限為f,那么:
如果一個實函式在區間[a,b],上是單調的,則它是黎曼可積的。
黎曼積分的推廣
黎曼積分可推廣到值屬於n維空間的函式。積分是線性定義的,即如果,則。特別地,由於複數是實數vector space,故值為複數的函式也可定義積分。
黎曼可積黎曼積分只定義在有界區間上,擴展到無界區間並不方便。可能最簡單的擴展是通過極限來定義積分,即如同瑕積分(improper integral)一樣。我們可以令
黎曼可積不幸的是,這並不是很合適。平移不變性(如果向左或向右平移一個函式,它的黎曼積分應該保持不變)喪失了。例如,令f(x) = 1 若x > 0,f(0) = 0,f(x) = − 1若x < 0。則對所有x
.
黎曼可積但如果我們將f(x)向右平移一個單位得到f(x − 1),則對所有x > 1,我們得到
. 此時,如果嘗試對上面的f積分,我們得到,因為我們先使用了極限。如果使用相反的極限順序,我們得到。
這同樣也是不可接受的,我們要求積分存在且與積分順序無關。即使這滿足,依然不是我們想要的,因為黎曼積分與一致極限不再具有可交換性。例如,令fn(x) = 1 / n在[0,n]上,其它域上等於0。對所有n,。但fn一致收斂於0,因此的積分是0。因此。即使這是正確的值,可看出對於極限與普通積分可交換的重要準則對瑕積分(improper integral)不適用。這限制了黎曼積分的套用。
一個更好的途徑是拋棄黎曼積分而採用勒貝格積分勒貝格積分。雖然勒貝格積分是黎曼積分的擴展這點看上去並不是顯而易見,但不難證明每個黎曼可積函式都是勒貝格可積的,並且當二者都有定義時積分值也是一致的。
事實上黎曼積分的一個直接擴展是Henstock-Kurzweil integral。
擴展黎曼積分的另一種途徑是替換黎曼累加定義中的因子xi − xi + 1,粗略地說,這給出另一種意義上長度間距的積分。這是Riemann-Stieltjes integral所採用的方法。

