瑕積分
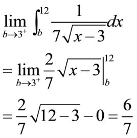
設函式f(x)定義在[a,b)上,而f(x)在x=b的任一左鄰域內f(x)無界(此時稱x=b為f(x)的瑕點)。若f(x)在任意[a,b-ε](0<ε>
類似可定義a為瑕點時的瑕積分。
又設c∈(a,b),函式f(x)以點c為暇點,那么當兩個反常積分∫(a → c) f(x)dx和∫(c → b) f(x)dx均收斂時,反常積分∫(a → b) f(x)dx收斂。其值定義為:
∫(a → b) f(x)dx=∫(a → c) f(x)dx+∫(c → b) f(x)dx
=lim(ε →0+)∫[a→c-ε] f(x)dx+lim(ε →0+)∫[c+ε →b] f(x)dx,
否則該反常積分發散

