簡介
重積分例如求f(x,y)或者f(x,y,z)類型的多元函式的積分。
正如單參數的正函式的定積分代表函式圖像和 x軸之間區域的面積一樣,正的雙變數函式的 雙重積分代表函式所定義的曲面和包含函式定義域的平面之間所夾的區域的體積。(注意同樣的體積也可以通過三變數常函式 f( x, y, z) = 1在上述曲面和平面之間的區域中的 三重積分得到。若有更多變數,則多維函式的多重積分給出超體積。
n元函式 f( x1, x2,…, x n)在定義域 D上的多重積分通常用嵌套的積分號按照演算的逆序標識(最左邊的積分號最後計算),後面跟著被積函式和正常次序的積分參數(最右邊的參數最後使用)。積分域或者對每個積分參數在每個積分號下標識,或者用一個變數標在最右邊的積分號下:
多重積分因為不可能計算多於一個變數的函式的不定積分, 不定多重積分是不存在的。因此所有多重積分都是 定積分。
範例
譬如,邊長為4 × 6 × 5的長方體的體積可以通過兩種方法得到:
多重積分通過函式 f( x, y) = 5在 xy平面中的區域 D,也就是長方體的底上的雙重積分
多重積分或者是常函式1在長方體上的三重積分
數學定義
令 n為大於1的自然數。考慮所謂的半開 n維矩形(下面簡稱 矩形)。對於平面, n= 2,而 多重積分就是雙重積分。
多重積分。
將每個區間[ a i, b i)分成有限個不重疊的子區間,每個都是左閉右開。將子區間記為 I i。則,所有所有如下形式的子矩形的族
多重積分是 T的一個劃分,也即,子矩形 C是互不重疊的,而且它們並集為 T。 C中的子矩形的 直徑按照定義是 C中最大的邊長,而 T的劃分的直徑就是劃分中的子矩形的最大直徑。
令 f: T→ R為定義在 T上的函式。考慮如上定義的 T的劃分
多重積分其中 m是正整數。如下形式的和稱為黎曼和
多重積分其中,對於每個 k,點 P k在 C k中,而m( C k)是笛卡爾積為 C k的區間的邊長之積。
函式 f稱為 黎曼可積,如果如下極限存在
多重積分
多重積分其中極限取遍所有直徑最大為δ的 T的劃分。若 f黎曼可積, S稱為 f在 T上的黎曼積分。記為
定義在任意有界 n維集合上的函式的黎曼和可以通過將函式延拓到一個半開半閉矩形上來求出,其取值在原來的定義域之外為0。然後,原來的函式的積分就定義為延展的函式在矩形區域中的積分(如果存在的話)。
下文中 n維黎曼積分簡稱 多重積分。
性質
而且,和單變數情況一樣,可以用多重積分找出函式在給定集合上的積分。具體來講,給定集合 D Rn和 D上的可積函式 f, f在定義域上的平均值為:
多重積分,
其中 m( D)是 D的測度。
特例
T R2是,積分
多重積分是 f在 T上的 雙重積分,而若 T R3,積分
多重積分是 f在 T上的 三重積分。
注意,按常規,雙重積分用兩個積分號,而三重積分有三個;這只是記法上方便,也是為了通過重複積分來計算多重積分(參看本條目後文)。
積分方法
直接檢驗
有時可以直接獲得積分的結果,而無需任何直接計算。
常數
在常函式的情況中,結果很直接:只要將常函式 c乘以測度就可以了。如果 c= 1,而且是在 R2的子集中積分,則乘積就是區域面積,而在 R3中,它就是區域的體積。
例如:
多重積分。
and 在 D上積分 f:
多重積分。
對稱性
對於二重積分來說,關於x軸對稱,而被積函式關於y為奇函式,則積分為0.
對於 Rn中的函式,只要相關變數對於形成對稱的軸是奇變數就可以了。
例一:
給定 f( x, y) = 2sin x -3 y + 5以及 T= x2 + y2 ≤ 1為積分區域(半徑為1的圓盤,包含邊界)。利用線性性質,積分可以分解為三部分:
多重積分。
2sin x和3 y 都是奇函式,而且顯然 T對於 x和 y軸都是對稱的;因此唯一有貢獻的部分是常函式 5因為其它兩個都貢獻0.
例二:
多重積分考慮函式 f( x, y, z) = xexp( y+ z)以及圓心在原點的半徑為2的球
該球顯然是對於三條軸都對稱,但是只要對於 x軸積分就可以看出結果是0,因為 f對於該變數是奇函式。
簡化公式
簡化公式基於簡單積分區域來將多重積分轉化為單變數積分的序列。它們必須從右至左計算,過程中將其它變數暫時視為常數(和偏導數的計算類似)。
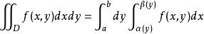
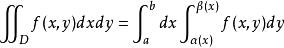
R2常規區域
參見:積分次序
此種方法通用於滿足下述條件的任何定義域 D。
D投影到 x軸或 y軸任一軸,形成一個有邊界的範圍, 以 a, b代表邊界值。
通過 a, b兩點並與 垂直的直線與 D相交後的兩個端點,可以用 2 個函式定義。
x軸
將 D對 x軸做垂直投影,函式是連續函式,並且 D可以視為(定義在[ a, b]區間上的)α( x)和β( x)之間的區域。則
多重積分。
y軸
將 D對 y軸做垂直投影,函式是連續函式,並且 D可以視為(定義在[ a, b]區間上的)α( y)和β( y)之間的區域。則
多重積分。
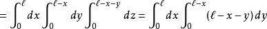
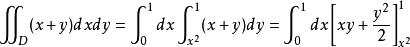
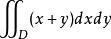
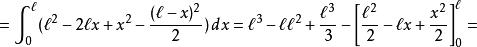
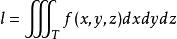
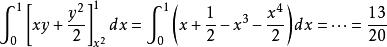
示例
例:可以採用簡化公式的D區域。
考慮區域:
多重積分計算
多重積分
多重積分
多重積分
多重積分該區域可以沿x或者y軸分解。要採用公式,必須先找到限制 D的兩個函式和定義區間。這個例子中,這兩個函式為: 和 。而區間為 (這裡為了直觀起見採用沿x軸分解)。套用簡化公式,得到:
多重積分(首先第二個積分將 x作為常數)。然後就是用積分的基本技術:
多重積分如果沿著y軸分解,可以計算
多重積分並得到同樣的結果。
R3中的分解
這些公式可以推廣到三重積分:
多重積分T是一個可以投影到 xy平面的體,它夾在α ( x, y)和β( x, y)兩個函式之間。那么:
(此定義和其它 R中的分解類似)。
變數替換
積分的極限常常不易交換(區域無法分解或者公式很複雜),這時可以採用 變數替換來重寫積分,令區域更加簡易,從而可以用更簡單的公式表達。為此,函式必須變換到新坐標系下。
例:
多重積分函式為
多重積分
多重積分若採用替換 則
多重積分可以得到新函式
對於定義域要進行類似處理,因為原來是採用變換前的變數表達的(本例中的 x和 y)。
微分 dx和 dy要通過包含被替換的變數對於新變數的偏微分的雅可比行列式來變換。(譬如,極坐標的微分變換)。
常用的變數替換有三種( R中一種, R中兩種);但是,更普遍的變換可以用同樣的原理來發現。
極坐標
參見:極坐標系
在 R中,若定義域有某種圓形對稱性而函式也有某種特徵,則可以採用極坐標變換(參看圖中的例子),也就是說將點 P(x,y)從笛卡爾坐標變換到相應的極坐標中。這使得定義域的形狀改變,從而簡化運算。
該變換的基本關係如下:
多重積分例2-a:
多重積分函式為
多重積分套用該變換得到
例2-b:
多重積分函式為
多重積分這裡有:
這裡使用了勾股定理(在簡化操作時很有用)。
定義域的變換是根據 x和 y通過環厚和角度的幅度來限定ρ, φ的區間。
例2-c:
多重積分區域為 ,圓周半徑2;很明顯,這個區域所覆蓋的角度是整個圓周角,所以φ從0變化到2π,而環半徑從0變化到2(內環為0的環形就是圓)。
例2-d:
多重積分
多重積分區域為 ,這是在正 y半平面中的圓環;注意φ表示平面角而ρ從2變化到3。因此變換出來的區域為矩形:
多重積分該變換的雅可比行列式為:
這可以通過將 x= ρ cos(φ), y= ρ sin(φ)代入關於ρ的第一行和關於φ的第二行的偏微分中得到,所以微分 dx dy變換為ρ dρ dφ.
多重積分一旦函式和區域的變換完成後,可以定義極坐標中的變數變換公式: 。
注意φ在[0, 2π]區間中有效,而ρ測量長度,因此只能取正值。
例:
多重積分函式為 。
多重積分從前面對 D的分析,我們知道ρ的區間為[2,3],而φ的為[0,π].函式變換為:
多重積分最後,套用積分公式:
多重積分一旦區間給定,就可以得到
柱極坐標
R3中,在有圓形底面的定義域上的積分可以通過變換到柱極坐標系來完成;函式的變換用如下的關係進行:
區域的變換可以從圖形中得到,因為底面的形狀可能不同,而高遵循初始區域的形狀。
例(3-a):
多重積分
多重積分區域為 (也即底面為例2-d中的圓環的高度為5的"管道");如果採用變換,可以得到區域 (這是一個底面為例2-d中的矩形而高為5的長方體)。
因為 z分量沒有變化, dx dy dz和在極坐標中一樣變化:變為 ρ dρ dφ dz。
多重積分最後,變換到柱極坐標的最後公式為:
這個方法在柱形或者錐形區域的情況較為適用,也適用於容易分辨 z區間和變換圓形底面和函式的其它情況。
球極坐標
多重積分R中,有些區域有球形對稱性,所以將積分區域的每點用兩個角度和一個距離標識較為合適。因此可以採用變換到球極坐標系;函式變換由如下關係產生:
多重積分注意 z軸上的點沒有唯一表示, 可以在0到2π間變化。
這個方法最為適用的區域顯然是球。
例(4-a):
多重積分
多重積分區域為 (球心在原點半徑為4的球);套用變換後得到: 。
坐標變換的雅可比行列式為:
多重積分{\displaystyle {\frac {\partial (x,y,z)}
因此 dx dy dz變換為ρsin(φ) dρ dθ dφ.
多重積分得到最後公式: 。應當在積分區域為球形對稱 並且函式很容易通過基本三角公式簡化的時候才使用這個方法。(參看例4-b);其它情況下,可能使用柱極坐標更為合適(參看例4-c)。
多重積分。
多重積分
多重積分注意從雅可比行列式來的 和 因子。
注意下面例子中,φ和θ的作用反過來了。
例(4-b):
多重積分D和例4-a相同,而 是被積函式。
多重積分很容易變換為:
多重積分而從 D到 T的變換是已知的:
多重積分套用積分公式:
多重積分並展開:
多重積分數學套用範例
利用上面描述的方法,很容易計算一些立體的體積。
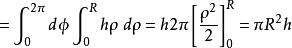
圓柱
半徑為 R的圓形底面作為定義域,將等於高度 h的常函式作為積分對象。可以在極坐標中將體積寫作:
多重積分體積
多重積分驗證:體積=底面積×高 =
球
可以作為常函式 1在球極坐標下的半徑為 R的球中積分:
多重積分體積
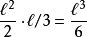
四面體
(三稜錐或者說3維單純形):頂點在原點,三條長度為 l的邊沿著各個笛卡爾坐標系軸向的四面體的體積可以通過簡化公式計算,因為 xy平面和'z'軸互相垂直, x和 y垂直,被積函式是常數 1。
多重積分體積
多重積分
多重積分
多重積分驗證:體積 = 底面積×高/3 = 。
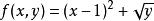
多重廣義積分
定義域無界或者函式值在靠近定義域邊界時無界的情況下,可以引入二重廣義積分或者 三重廣義積分。
多重積分定義
參見:積分次序
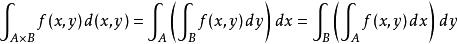
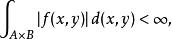
富比尼定理斷言若
多重積分也即,積分絕對收斂,則多重積分和累次積分給出同樣的結果,
多重積分
多重積分一個特例是如果 是有界函式而 A和 B為有界集時。
多重積分如果積分不是絕對收斂,必須小心,不要混淆 多重積分和 累次積分的概念,特別是當它們採用形式上相同的記法的時候。記法
多重積分在某些情況下表示累次積分而非真正的雙重積分。累次積分中,外圍的積分
多重積分是對於如下 x的函式關於 x的積分
多重積分雙重積分卻是定義在 xy平面的區域上。若雙重積分存在,則它等於兩個累次積分中的任何一個(或者" dydx"或者" dxdy"),它也就是通過其中之一來計算的。但是有時這兩個累次積分存在,而雙重積分不存在。這種情況下,有時兩個累次積分不相等,也即,
這是條件收斂的積分的重排序的一個例子。
多重積分如果要強調使用雙重積分而非累次積分時,可以採用如下記法
實際套用
多重積分很普遍地,像單變數一樣,我們通過多重積分可以找到給定集合上的函式的平均值。給定一個集合 D⊆ R和一個在 D上可積的函式 f, f在區域上的平均值是。
其中 m( D)是 D的測度。
此外,這些積分在物理中有大量套用。
多重積分力學中,轉動慣量可以作為密度乘以剛體和轉軸的距離的平方的體積分(三重積分)計算:
多重積分與三維歐氏空間 R中的質量測度 dm表示的質量分布關聯的引力勢:
多重積分如果存在一個連續函式 ρ( x) 表示 x處的密度分布, 那么 dm( x) = ρ( x) d x, 其中 d x是歐幾里得體積元, 那么引力勢就是
多重積分在電磁學中,麥克斯韋方程組可以寫作多重積分,用以計算總磁場和電場。下例中,由電荷分布產生的電場通過向量函式的 三重積分得到:。

