多重對數定義與對數函式不同,多重對數並非初等函式。由這個定義,其定義域為{z| |z|<1},即所有模小於一的複數的集合。但我們還可以通過解析開拓(analytic continuation)將其定義域拓展至一個更大的區域。
當s=1時,多重對數Li₁(z)= −ln(1−z)),多重對數名稱的來源也與此有關。當s=2和s=3時,這函式分別稱為二重對數(dilogarithm)和三重對數(trilogarithm)。多重對數可以通過重複地積分來獲得,如右圖的公式:
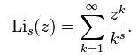
多重對數用積分定義以下暫且把多重對數表示為Li(s,z)。
對於某些整數s,多重對數有以下的表達式:
Li(1,z)=-ln(1-z)
Li(0,z)=z/(1-z)
Li(-1,z)=z/(1-z)^2
Li(-2,z)=z(1+z)/(1-3)^3
當s=-2,-1,0,1,2,3時多重對數的實部和虛部圖像如下:
實部
虛部多重函式與黎曼Zeta函式有以下關係:
Li(s,1)=ζ(s)
在軟體Mathematica中,表示多重對數的函式為PolyLog[s,z]
