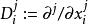
定義運算
一個n -維 多重指標是一個由整數構成的向量
多重指標
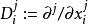
多重指標設 為多重指標,定義:
多重指標
多重指標
多重指標套用最廣的是非負的多重指標,此時可以定義:
多重指標
多重指標
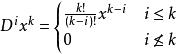
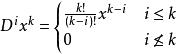
多重指標(假設 )
多重指標
多重指標設 定義
多重指標
多重指標其中
多重指標
多重指標命題:若i,k是非負的n維多重指標,且 則
按定義直接操作即可證明。
套用範圍
多元微積分
多重指標可以將單變元微積分的許多結果直接推廣到多變元。以下是幾個例子:
多元冪級數:有兩個以上變元的冪級數通常寫成
多重指標
多重指標
多重指標其中 是n-維多元指標而 ,以簡化冗長的表法
多重指標多項展開
多重指標
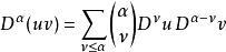
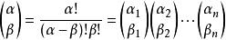
多重指標萊布尼茨公式 :設 存在夠高階的導數,則
多重指標
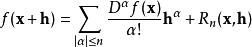
多重指標泰勒展開式: 對一多元解析函式 f,當充分小時有下述展開
多重指標其實這不外是定義,多元指標在此提供了簡練的表示法。
對於存在夠高階導數的函式,我們也有帶餘項的泰勒展開式:
多重指標偏微分運算元
多重指標一個形式上的 n 變元 -階 偏微分運算元能以多重指標寫成
多重指標
多重指標分部積分:對有界定義域 上的緊支集光滑函式,我們有
多重指標此公式用以定義分布與弱導數。
