基礎知識
主值
主值
主值
主值
主值
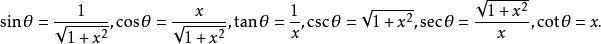
主值反正弦函式 叫做 反正弦函式 的 主值,反餘弦函式 叫做 反餘弦函式 的主值,反正切函式 叫做 反正切函式 的主值,反餘切函式 叫做 反餘切函式 的主值,反正割函式 叫做 反正割函 數 的主值,反餘割函式 叫做 反餘割函式 的主值。
主值
主值區間 叫做函式 的主值區間;
主值
主值區間 叫做函式 的主值區間;
主值
主值區間 叫做函式 的主值區間;
主值
主值區間 叫做函式 的主值區間;
主值
主值
主值區間 和 叫做函式 的主值區間;
主值
主值
主值區間 和 叫做函式 的主值區間。
反三角函式主值恆等式
主值1)若 則有
主值
主值2)若 則有
主值
主值3) 若 則有
主值
主值4) 若 則有
主值
主值5) 若 則有
主值
主值6) 若 則有
主值
