奇異積分方程
正文
通常是指帶有柯西核的奇異積分方程,它的一般形式是
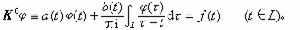
(1)
(2)
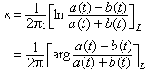
(3)

區別指標的不同情況,有以下結論。①如果k>0,那么齊次方程k0φ=0剛好有k個線性無關解。②如果k≤0,那么齊次方程k0φ=0沒有非零解。③如果k≥0,那么非齊次方程k0φ=ƒ對右端任意ƒ都是可解的。④如果k<0,那么非齊次方程k0φ=ƒ可解的充分必要條件是它的右端ƒ滿足-k個條件:
,
研究一般奇異積分方程 (1)的重要方法之一是把它正則化(這時,奇異積分的換序公式將起重要作用),所謂正則化就是把它歸結為一個在一定意義下與之等價的弗雷德霍姆積分方程。於是,類似於弗雷德霍姆備擇定理,對於方程(1)可以證明以下定理(通常統稱為諾特定理):
定理Ⅰ 方程(1)可解的充分必要條件是滿足關係式
,(4)


定理Ⅱ 齊次方程φ=0之線性無關解的個數k與相聯齊次方程┡ψ=0之線性無關解的個數k┡之差剛好等於運算元的指標k,即k-k┡=k。
在奇異積分方程(1)中代替柯西核
還可以考慮希爾伯特核
,這兩種核可以通過歐拉公式進行轉化。於是關於柯西核積分方程的理論結果,在一定條件下可以相應地轉移到帶有希爾伯特核的奇異積分方程上去。另外,積分主值意義,除了柯西主值以外,還可以考慮阿達馬主值。從而還可以討論具有高階奇異性的積分方程理論。 奇異積分方程的許多理論結果可以推廣到奇異積分方程組上去,這只需要把方程(1)中的α(t)、b)(t)、K(t,τ)理解為函式矩陣,而ƒ(t),φ(t)理解為函式向量。
多維區域上某些類型的奇異積分方程以及非線性奇異積分方程理論近年來也都得到了相應的發展。
