定理定義
韋達定理設一元二次方程 中,兩根x₁、x₂有如下關係:
韋達定理
韋達定理數學推導
韋達定理套用實例
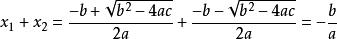
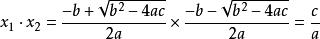
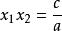
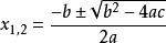
韋達定理由一元二次方程求根公式知:
則有:
韋達定理
韋達定理定理推廣
逆定理
韋達定理
韋達定理
韋達定理如果兩數α和β滿足如下關係:α+β=,α·β=,那么這兩個數α和β是方程的根。
通過韋達定理的逆定理,可以利用兩數的和積關係構造一元二次方程。
推廣定理
韋達定理不僅可以說明一元二次方程根與係數的關係,還可以推廣說明一元n次方程根與係數的關係。
定理:
韋達定理
韋達定理
韋達定理設 (i=1、2、3、……n)是方程: 的n個根,記 (k為整數),則有:
韋達定理。
發展簡史
弗朗索瓦韋達法國數學家弗朗索瓦·韋達於1615年在著作《論方程的識別與訂正》中改進了三、四次方程的解法,還對n=2、3的情形,建立了方程根與係數之間的關係,現代稱之為韋達定理。
韋達最早發現代數方程的根與係數之間有這種關係,因此,人們把這個關係稱為韋達定理。韋達在16世紀就得出這個定理,證明這個定理要依靠代數基本定理,而代數基本定理卻是在1799年才由高斯作出第一個實質性的論性。
定理意義
韋達定理在求根的對稱函式,討論二次方程根的符號、解對稱方程組以及解一些有關二次曲線的問題都凸顯出獨特的作用。
韋達定理一元二次方程的根的判別式為(a,b,c分別為一元二次方程的二次項係數,一次項係數和常數項)。韋達定理與根的判別式的關係更是密不可分。
根的判別式是判定方程是否有實根的充要條件,韋達定理說明了根與係數的關係。無 論方程有無實數根,實係數一元二次方程的根與係數之間適合韋達定理。判別式與韋達定理的結合,則更有效地說明與判定一元二次方程根的狀況和特徵。
韋達定理最重要的貢獻是對代數學的推進,它最早系統地引入代數符號,推進了方程論的發展,用字母代替未知數,指出了根與係數之間的關係。韋達定理為數學中的一元方程的研究奠定了基礎,對一元方程的套用創造和開拓了廣泛的發展空間。
利用韋達定理可以快速求出兩方程根的關係,韋達定理套用廣泛,在初等數學、解析幾何、平面幾何、方程論中均有體現。

