定義
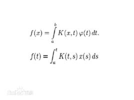
線性積分方程的一般形式是
線性積分方程
線性積分方程
線性積分方程
線性積分方程
線性積分方程
線性積分方程
線性積分方程
線性積分方程
線性積分方程
線性積分方程
線性積分方程
線性積分方程其中 是未知函式, , 和 都是已知函式, ,a,b是常數,變數 和 可取區間(a,b)內的一切值。 稱為積分方程的核, 稱為自由項, 稱為方程的參數 。若 =0,則稱該積分方程為齊次積分方程,否則稱為非齊次積分方程。
線性積分方程與數學的其他分支有緊密而重要的聯繫,例如,微分方程、泛函分析、複分析、計算數學、位勢理論和隨機分析等。甚至它的形成和發展是很多重要數學思想和概念的最初來源和模型。例如,對泛函分析中平方可積函式、平均收斂、運算元等的形成,對一般線性運算元理論的創立,以至於對整個泛函分析的形成都起著重要的推動作用。積分方程論中許多思想和方法,例如,關於第二種弗雷德霍姆(Fredholm)積分方程的弗雷德霍姆理論和奇異積分方程的諾特(Noether)理論以及逐次逼近方法,本身就是數學中經典而優美的理論和方法之一 。
分類
線性積分方程
線性積分方程線性積分方程可分為一維弗雷德霍姆積分方程( 方程)、n維弗雷德霍姆積分方程、沃爾泰拉積分方程等。其中一維弗雷德霍姆積分方程( 方程)又分為三類:
線性積分方程第一類 方程:
線性積分方程
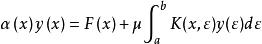
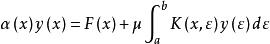
線性積分方程第二類 方程:
線性積分方程
線性積分方程第三類 方程:
線性積分方程n維弗雷德霍姆積分方程:
線性積分方程
線性積分方程
線性積分方程
線性積分方程
線性積分方程
線性積分方程
線性積分方程
線性積分方程
線性積分方程式中,D是n維空間中的區域, ,它們的坐標分別是 和 。其中 , 和 是已知函式, 是未知函式。關於 方程的解法,一維和n維(n>1)完全類似。
發展
D.希爾伯特和E.施密特對第二種弗雷德霍姆積分方程做了重要的工作,特別是關於對稱核積分方程的特徵值存在性,對稱核關於特徵函式序列的展開,以及希爾伯特 -施密特展開定理等。至於第一種弗雷德霍姆積分方程,早在1828年就為G.格林在研究位勢理論以解決拉普拉斯方程的狄利克雷問題時所導出。
線性積分方程理論的發展,始終與數學物理問題的研究緊密相聯,它在工程、力學等方面有著極其廣泛的套用。通常認為,最早自覺套用線性積分方程並求出解的是阿貝爾(Abel),他在1823年研究質點力學問題時引出阿貝爾方程。此前,拉普拉斯(Laplace)於1782年在數學物理中研究拉普拉斯變換的逆變換以及傅立葉(Fourier)於1811年研究傅立葉變換的反演問題實際上都是解第一類積分方程。隨著計算技術的發展,作為工程計算的重要基礎之一,線性積分方程進一步得到了廣泛而有效地套用。如今,“物理問題變得越來越複雜,線性積分方程變得越來越有用”。線性積分方程與數學的其他分支,例如,微分方程、泛函分析、複分析、計算數學、位勢理論和隨機分析等都有著緊密而重要地聯繫。甚至它的形成和發展是很多重要數學思想和概念的最初來源和模型。例如,對泛函分析中平方可積函式、平均收斂、運算元等的形成,對一般線性運算元理論的創立,以至於對整個泛函分析的形成都起著重要的推動作用。線性積分方程論中許多思想和方法,例如,關於第二種弗雷德霍姆(Fredholm)積分方程的弗雷德霍姆理論和奇異積分方程的諾特(Noether)理論以及逐次逼近方法,本身就是數學中經典而優美的理論和方法之一 。

