簡介
積分方程理論的發展,始終與數學物理問題的研究緊密相聯,它在工程、力學等方面有著極其廣泛的套用。通常認為,最早自覺套用積分方程並求出解的是阿貝爾(Abel),他在1823年研究質點力學問題時引出阿貝爾方程。此前,拉普拉斯(Laplace)於1782年在數學物理中研究拉普拉斯變換的逆變換以及傅立葉(Fourier)於1811年研究傅立葉變換的反演問題實際上都是解第一類積分方程。隨著計算技術的發展,作為工程計算的重要基礎之一,積分方程進一步得到了廣泛而有效地套用。如今,“物理問題變得越來越複雜,積分方程變得越來越有用”。
積分方程與數學的其他分支,例如,微分方程、泛函分析、複分析、計算數學、位勢理論和隨機分析等都有著緊密而重要地聯繫。甚至它的形成和發展是很多重要數學思想和概念的最初來源和模型。例如,對泛函分析中平方可積函式、平均收斂、運算元等的形成,對一般線性運算元理論的創立,以至於對整個泛函分析的形成都起著重要的推動作用。積分方程論中許多思想和方法,例如,關於第二種弗雷德霍姆(Fredholm)積分方程的弗雷德霍姆理論和奇異積分方程的諾特(Noether)理論以及逐次逼近方法,本身就是數學中經典而優美的理論和方法之一。
定義
積分方程即為關於未知函式Φ (x) 的積分方程。
許多微分方程的求解問題可以歸結為積分方程的 求解問題。積分方程論主要研究積分方程解的存在 性、唯一性、求解方法以及關於它的特徵值和特徵函 數的理論。其具體研究內容分為如下幾個方向:①揭 示新的積分方程類,其成立線性代數方程組的基本定 理及弗雷德霍姆關於特徵值的分布定理;②與正交分 解和對稱核相關的理論;③與經典的弗雷德霍姆定理 不成立的線性積分方程的問題;④與物理、力學、工 程技術相關的非線性方程,特別是哈默斯坦 (Hammerstein) 方程;⑤介於機率論與積分方程之間 的邊緣學科——隨機積分方程; 6各類積分—微分方 程; 各類積分方程的數值解法。
起源
積分號下含有未知函式的方程。其中未知函式以線性形式出現的,稱為線性積分方程;否則稱為非線性積分方程。積分方程起源於物理問題。牛頓第二運動定律的出現,促進了微分方程理論的迅速發展,然而對積分方程理論發展的影響卻非如此。1823年,N.H.阿貝爾在研究地球引力場中的一個質點下落軌跡問題時提出的一個方程,後人稱之為阿貝爾方程,是歷史上出現最早的積分方程,但是在較長的時期未引起人們的注意。“積分方程”一詞是 P.du B.雷蒙德於1888年首先提出的。19世紀的最後兩年,瑞典數學家(E.)I.弗雷德霍姆和義大利數學家V.沃爾泰拉開創了研究線性積分方程理論的先河。從此,積分方程理論逐漸發展成為數學的一個分支。 1899年,弗雷德霍姆在給他的老師(M.)G.米塔-列夫勒的信中,提出如下的方程
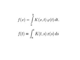
公式, (1)
式中 φ( x)是未知函式; λ是參數, K( x, y)是在區域0 ≤ x, y≤1上連續的已知函式; ψ( x)是在區間0≤ x≤1上連續的已知函式。並認為方程(1)的解可表為關於 λ的兩個整函式之商。1900年,弗雷德霍姆在其論文中把(1)稱為“積分方程”, 並初次建立了 K( x, y)的行列式 D( λ)和 D( x, y, λ),證明了它們都是 λ的整函式, 以及當 λ是 D( λ)的一個零點時, 則(1)的齊次方程 φ
公式有不恆等於零的解。1903年,他又指出,若行列式 D(1)≠0,則有一個且只有一個函式 φ( x)滿足方程(1)( λ=1),此時 φ( x)可表為
公式從此,積分方程理論的發展進入了一個新的時期。以下形式的積分方程
公式, (2)
公式, (4)
分別稱為第一種、第二種、第三種弗雷德霍姆積分方程,其中 K( x, y)是在區域 α≤ x、 y≤ b上連續的已知函式,稱為方程的核; A( x)、 ψ( x)都是在區間 α≤ x≤ b上連續的已知函式, φ( x)是未知函式, λ是參數。 第一、二種弗雷德霍姆積分方程是第三種弗雷德霍姆積分方程的特殊情形。但是,第一種方程與第二種方程卻有本質上的區別。與弗雷德霍姆幾乎同時,沃爾泰拉研究了如下形式的積分方程
公式(5)
公式, (6)
公式, (7)
分別稱為第一種、第二種、第三種沃爾泰拉積分方程,式中 λ、 φ( x)、 ψ( x)和 A( x)如前所述, K( x, y)是定義在三角形區域 α≤ y≤ x≤ b上的已知連續函式。弗雷德霍姆積分方程中的核 K( x, y)當 x< y時為零,就是沃爾泰拉積分方程。因此沃爾泰拉積分方程是弗雷德霍姆積分方程的特殊情形。但是這兩類方程的本質是不同的。例如,第二種沃爾泰拉積分方程對於一切 λ值總可用疊代法求解,而第二種弗雷德霍姆積分方程卻出現了特徵值問題;又如,第一種沃爾泰拉積分方程在一定條件下可以化為等價的某個第二種沃爾泰拉積分方程,而第一種弗雷德霍姆積分方程的討論卻困難得多。
弗雷德霍姆積分方程和沃爾泰拉積分方程的理論可以推廣到多個未知函式的方程組的情形。這時只需要把 φ( x)視為未知函式向量φ( x)=( φ1( x), φ2( x),…, φn( x)), K( x, y)看作 n階方陣( Kij( x, y)), i, j=1,2,…, n,ψ( x)=(ψ1( x),ψ2( x),…,ψn(x))看作已知函式向量。
發展
D.希爾伯特和E.施密特對第二種弗雷德霍姆積分方程做了重要的工作,特別是關於對稱核積分方程的特徵值存在性,對稱核關於特徵函式序列的展開,以及希爾伯特 -施密特展開定理等。至於第一種弗雷德霍姆積分方程,早在1828年就為G.格林在研究位勢理論以解決拉普拉斯方程的狄利克雷問題時所導出。格林當時還指出,關於這類方程沒有一般的理論。20世紀初,E.施密特得到了方程(2)有解的必要條件。其後(C.-)É.皮卡指出,該條件在核 K( x, y)的特徵函式序列是完備時也是充分的。但是,這一結果並沒有提供一個一般的方便解法。第一種弗雷德霍姆積分方程的系統理論,尚未建立。
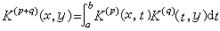
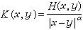
積分方程的核常是非連續的。例如,在一維空間,核 K( x, y)是具有如下形式:
公式,式中0< α<1, H( x, y)是有界函式。這樣的核稱為弱奇性核,相應的方程稱為弱奇性方程。可以證明,對弱奇性核施行如下運算:
公式,
( p、 q都是正整數, K(1)(x,y)呏K(x,y),經m 次後,只要
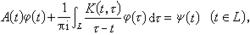
公式,就得到一個有界核K(m)( x, y),而弱奇性消失了。由此可以證明,具有弱奇性核的積分方程同樣具備第二種弗雷德霍姆積分方程的一切性質。對於 n維空間的積分方程,也可以建立相應的結論。 奇異積分方程是與弗雷德霍姆積分方程有本質區別的一類方程。常見的奇異積分方程有兩種:一種是核具有主值意義的奇性,例如柯西核;一種是積分區域為無窮的積分方程,例如維納-霍普夫方程。 前一種奇異積分方程的理論是在弗雷德霍姆積分方程理論建立後的幾年中產生的。希爾伯特在研究解析函式的邊值問題中發現了這種奇異積分方程。幾乎同時,(J.-)H.龐加萊在研究潮汐現象時,也發現了它。他們的工作為這種方程奠定了理論基礎。這種奇異積分方程的一般形式為
公式式中 l是平面上光滑閉圍道,係數 A( t)、 K( t,τ)和 ψ( t)都是給定的在 l上按赫爾德意義連續的函式。方程中的積分在通常意義下是發散的,但在一定假設下,其柯西主值存在。這樣的方程稱為具有柯西核的奇異積分方程。此外,如下具有希爾伯特核的方程 也是一種主值意義下的奇異積分方程。對於這種奇異積分方程的研究成果及套用,蘇聯數學家Η.И.穆斯赫利什維利於1946年發表的專著《奇異積分方程》作了系統的總結。 後一種奇異積分方程的重要例子是維納-霍普夫方程。它是20世紀20年代初在大氣輻射傳輸問題的研究中首先得到的,在許多實際問題中有重要的套用。 相應於弗雷德霍姆定理,對於上述兩種奇異積分方程有諾特定理(此諾特為著名的諾特阿姨的弟弟,見奇異積分方程)。近年來,非線性積分方程的研究,有了很快的發展。例如哈默斯坦型積分方程,即如下形式的非線性積分方程
公式式中 K( x, y)、 ?( y, u)都是已知函式, ?( y, u)關於 u是非線性的。自H.哈默斯坦於1930年提出以來,研究者不乏其人,而且已得到不少有意義的結果。對於非線性奇異積分方程也有不少結果,但是直到現在,對於一般的非線性積分方程還沒有系統的理論,即使是可解性的討論也很困難。
新面貌
自抽象空間這個概念創立以來,如希爾伯特空間、巴拿赫空間以及運算元理論的建立,使古典的積分方程以嶄新的面貌出現。例如,把積分方程(3)中出現的函式看作是巴拿赫空間 X的元素,原來的積分運算以運算元 T代替,於是方程(3)就可寫為
公式(8)
這裡 T是巴拿赫空間 X中的一個全連續運算元, ψ是 X中一個已知元素,而 φ是 X中的未知元素。方程(8)的齊次方程 φ- λTφ=0,若對於某些 λ值有不等於零元素的解,則稱這些 λ值為運算元 T的點譜, 相應的元素稱為特徵元素。對於方程(8)也有在巴拿赫空間 X中類似的弗雷德霍姆定理。運算元 T的譜分解是重要的研究課題,J.馮·諾伊曼在這方面有豐碩的研究成果。 積分方程有廣泛的套用。微分方程某些定解問題的求解可歸結為求解積分方程。例如,為求解常微分方程初值問題, y( x0)= y0, y′( x0)= y1,只要在微分方程兩端積分兩次,並交換積分次序和利用初始條件,就得到與之等價的沃爾泰拉積分方程
公式類似地,對於常微分方程的邊值問題也可得到與之等價的弗雷德霍姆積分方程。又如,偏微分方程中拉普拉斯方程的狄利克雷問題和諾伊曼問題,可分別利用雙層位勢和單層位勢作為中介而歸結為第二種弗雷德霍姆積分方程的求解,而且是等價的。粘性流體力學問題中的維納- 斯托克斯方程的定解問題也可化為非線性積分方程組。這種利用位勢求解微分方程的某些定解問題的方法,已有很多推廣,有相當多的一階或二階橢圓型方程組的某些邊值問題,引進類似於位勢的積分運算元,往往可歸結為弗雷德霍姆積分方程或奇異積分方程。
在地質學中製作地球內部的精細三維圖問題。這種圖對勘探礦產、預報地震等等都很需要,但不能採用實驗的方法來製作,而只能採取間接的方法解決,一般是藉助尖端的精密儀器和人造衛星精確地定出地球外部點處的地球引力位勢,再利用引力位勢的方法歸結出關於地球內部密度的第一種弗雷德霍姆積分方程。在空氣動力學中研究分子運動,考慮非均勻流體中懸浮晶粒的布朗位移和熱擴散,導致了以柯爾莫哥洛夫命名的一類積分方程。在確定飛機機翼的剖面時,需要對環流、升力、阻力等等效應進行計算,也往往導致一個積分方程(如薄翼理論的基本方程、升力線理論的方程等)。其他如中子遷移、電磁波衍射以及經濟學與人口理論等都導致奇異積分方程的研究。 中國有不少學者致力於積分方程的理論和套用方面的研究,得到了許多有意義的結果。

