正文
又稱考爾德倫-贊格蒙奇異積分運算元,一種特殊的積分變換,是一維希爾伯特變換到高維歐氏空間的推廣,由A.-P.考爾德倫和A.贊格蒙於1952年引入。他們就最基本與最典型的情形,證明了奇異積分運算元的L可積性。這是奇異積分理論的奠基性工作。以後經E.M.施坦、G.韋斯和C.費弗曼等人,把奇異積分同哈代-李特爾伍德極大函式、面積積分、多元調和函式邊界性質、李特爾伍德-佩利理論聯繫起來,組成了近代調和分析的主要工具。同時由J.J.科恩、L.尼倫伯格和L.赫爾曼德爾等人在奇異積分理論和方法的基礎上,發展出偽微分運算元、傅立葉積分運算元等理論,形成偏微分方程近代理論的一個重要方面。
奇異積分特例 考慮n維歐氏空間R(n>2)上的泊松方程Δu=ƒ,試用牛頓位勢
奇異積分驗證這個函式滿足方程,形式地在積分號下微分兩次,得到
(1)
奇異積分式中
奇異積分一般說來,積分(1)是發散的。因為它的核
奇異積分按絕對值的大小來說,在原點x=0附近是不可積的,也即按勒貝格積分的意義說,積分(1)一般不存在。但由於Ωj在R的單位球面S上的平均值等於
奇異積分對“好的”函式來說,只要把積分(2)理解為
(2)
奇異積分就可以證明這極限是存在的,並且可進一步證明,如果ƒ∈L(p>1),那么積分(1)所定義的
也屬於L。按正常意義是發散的積分(1),用(2)來定義,就可能是收斂的。因此人們稱 (1)右方的積分為奇異積分或奇異積分運算元。
奇異積分推廣到一般情形一般的考爾德倫-贊格蒙奇異積分運算元是如下定義的一種積分變換:
(3)
奇異積分式中Ω(y) 是零次齊次函式, 即對任意的 λ>0,滿足Ω(λy)=Ω(y),並且在R的單位球面S上的平均值等於0,即
奇異積分同時還具有一定的光滑性。(1) 中的積分是奇異積分運算元的一個特例。考爾德倫和贊格蒙於1952年的奠基性工作主要就是證明了:如果ƒ∈L(p>1),則由(3)所定義的Tƒ∈L,並且
式中C與ƒ無關。
奇異積分從傅立葉變換的觀點來看,如果ƒ∈L,則Tƒ和ƒ的傅立葉變換可以用等式
奇異積分聯繫起來,其中m(x)是R上的一個零次齊次函式,更準確些,m(x)和(3)中的Ω(x)有下面的關係:
(4)
奇異積分式中
表示x與y的內積。
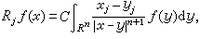
奇異積分里斯變換分別取
奇異積分式中C是一個只依賴於n的常數,這樣的Ωj滿足上面關於Ω所要求的一切條件,這時相應的n個奇異積分運算元為
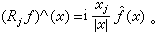
奇異積分Rjƒ稱為ƒ的第j個裡斯變換(j=1,2,…,n)。因此,在n維空間R中,ƒ共有n個裡斯變換。從傅立葉變換的觀點看來,只要計算出(4)中的
奇異積分就可以把里斯變換寫成
(5)
奇異積分n=1時,
奇異積分這時里斯變換就是希爾伯特變換
奇異積分可見里斯變換是希爾伯特變換到高維空間的直接推廣,而一般的考爾德倫-贊格蒙奇異積分運算元正是希爾伯特變換到高維空間的更一般的推廣。
奇異積分同偏微分方程的聯繫奇異積分運算元理論在偏微分方程的許多問題中起著重要的作用。為了說明這點,考慮一個純粹的m階的偏微分運算元
(6)
奇異積分注意對拉普拉斯運算元墹,不難看出有
奇異積分
奇異積分結合偏微商和傅立葉變換的關係以及等式(5),就知道里斯變換實際上就是
奇異積分這樣(6)中的L就可以寫成
。
奇異積分這式子表明,L可以分解為運算元T與(-Δ)
奇異積分的乘積:L=T(-Δ)
奇異積分,式中T實際上是一個變係數的奇異積分運算元,具有下面的形式
奇異積分式中Ω(x,ω)對ω來說,類似於(3)中的Ω,即對每個x有
奇異積分而C(x)是一個無限次可微的函式。換句話說,假如不看因子(-Δ)
,偏微分運算元僅僅是一種特殊類型的奇異積分運算元。
考爾德倫-贊格蒙分解奇異積分運算元(2)的L有界性的證明,用的是馬欽凱維奇運算元內插定理(見運算元內插)。T的(2,2)型是容易從普朗歇爾等式得到的。困難在於證明T是弱(1,1)型的。為證T的弱(1,1)型,1952年考爾德倫和贊格蒙在他們的奠基性論文中,把函式ƒ∈L分解為g+b)兩部分,其中g有較好的性質,例如g∈L,故稱g為“好的”部分,而b)是“壞的”部分,但具有某些特殊性質,如在某些方塊上的積分為0。這就是通常所說的考爾德倫-贊格蒙分解。在此基礎上,以後發展出一整套的實變函式論方法。奇異積分運算元理論和這一整套的實變函式論方法,不僅在近代調和分析和偏微分方程的理論中,而且在多元複變函數論、機率論和位勢理論中,起著重要的作用。
參考書目
A.P.Calderón and A.Zygmund, On the Existenceof Certain Singular Integrals,Acta MatheMatica,Vol. 88, pp.85~139, 1952.
E.M.Stein,Singular Integrals and Different-iability Properties of Functions,Princeton Univ.Press,Princeton,1970.
E.M.Stein and G. Weiss,Introduction to Fourier Analysis on Euclidean Spaces,Princeton Univ.Press,Princeton,1971.

