概念解釋
奇異邊界法是與基本解法相對應的一種邊界型無格線數值離散方法。該方法提出了源點強度因子的概念,克服了傳統基本解方法中最複雜最頭疼的虛擬邊界問題。基於邊界元法中處理奇異積分的數值處理技術, 導出了源點強度因子的解析表達式, 提出了改進的無格線奇異邊界法, 並進一步將該方法套用於三維位勢問題。該方法消除了傳統方法中樣本點的選取, 在不增加計算量的前提下, 極大地提高了奇異邊界法的計算精度與穩定性。
基本原理
奇異邊界法的近似格式
本文以二維Helmholtz方程為例描述奇異邊界法的基本技術路線:
奇異邊界法
奇異邊界法
奇異邊界法
奇異邊界法
奇異邊界法
奇異邊界法
奇異邊界法
奇異邊界法
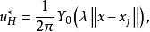
奇異邊界法其中 是待求未知量, 為波數, 是空間坐標, 和 分別代表計算域及其邊界, 和 為已知函式。二維Helmholtz方程的基本解是
奇異邊界法
奇異邊界法
奇異邊界法
奇異邊界法這裡 代表 和 兩點間的歐幾里得距離。
奇異邊界法
奇異邊界法根據基本解法的原理,以基本解 為插值基函式,Helmholtz方程 的待求函式可以近似為
奇異邊界法
奇異邊界法
奇異邊界法
奇異邊界法
奇異邊界法
奇異邊界法
奇異邊界法
奇異邊界法
奇異邊界法其中 是邊界離散點的數目, 為待求插值係數。當配點 和源點 重疊時, 不存在,即產生原點奇異性。為了避免基本解的奇異性,基本解方法的策略是將源點 虛擬地布置在物理域以外的虛假邊界上,而將配點 布置在真實的物理邊界上,即插值源點和配點是兩組完全不同的點。但到目前為止,對於複雜幾何域或多連通幾何域問題,如何較好地布置虛擬源點 以保證計算結果可靠和穩定收斂,仍是基本解方法中一個未能解決的關鍵問題。
奇異邊界法
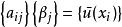
奇異邊界法奇異邊界法不同於基本解方法的關鍵之處在於,插值源點 和配點 是同一組物理邊界的離散點,因而不存在基本解方法中的虛假邊界選取問題。奇異邊界法的插值公式為:
奇異邊界法
奇異邊界法
奇異邊界法
奇異邊界法
奇異邊界法
奇異邊界法
奇異邊界法
奇異邊界法
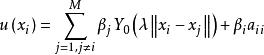
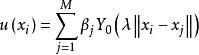
奇異邊界法這裡 是插值點的總數, 是待定插值係數。值得注意的是,插值公式 和 都用基本解為基函式,但插值公式 在配點 和源點 重合處,假設了一個源點強度因子(origin intensity factor) 。
奇異邊界法
奇異邊界法
奇異邊界法
奇異邊界法將插值公式 代入方程 和 ,令 ,因為基本解滿足控制方程,我們得到下面矩陣形式的邊界條件離散代數方程:
奇異邊界法
奇異邊界法
奇異邊界法
奇異邊界法
奇異邊界法源點強度因子 實際上是插值矩陣 的對角線元素。由於基本解的原點奇異性,我們不能夠簡單地用基本解插值基函式來計算 。理想的方法是從數學理論上導出一個計算源點強度因子的公式,但目前這是一個非常有挑戰性的數學物理問題。下面我們通過反插值技術來求解源點強度因子 。
反插值技術
奇異邊界法
奇異邊界法
奇異邊界法
奇異邊界法注意到插值公式 和離散代數方程 中的待求插值係數 與邊界上的配點分布,邊界條件和右邊項有關,而源點強度因子 僅依賴於邊界條件和邊界上的配點分布,與右邊項無關。因而,我們可以設計一個反插值技術來計算對角線元素。
奇異邊界法
奇異邊界法
奇異邊界法
奇異邊界法
奇異邊界法
奇異邊界法
奇異邊界法
奇異邊界法對方程 和 所描述的Helmholtz有限域問題,在其物理域的邊界上布置 個配點 ,在物理域內部布置 個計算輔助點 。對於有基本解的控制方程,容易發現它們的一些已知特解。對Helmholtz方程,有許多已知的簡單特解,例如 。利用插值公式 ,我們有
奇異邊界法
奇異邊界法
奇異邊界法
奇異邊界法
奇異邊界法
奇異邊界法
奇異邊界法
奇異邊界法
奇異邊界法這裡 , 是在邊界配點上的影響係數。因為輔助點和配點完全不重疊,因而沒有奇異性問題。由方程,我們就可以求得影響係數 。
奇異邊界法
奇異邊界法這裡內部輔助點的個數可以等於或多於邊界配點的數目。本文中採取兩種方案:
奇異邊界法
奇異邊界法方案1——在物理區域內部布置與邊界配點相等數目的輔助點(即),可以得到插值方陣;
奇異邊界法
奇異邊界法方案2——在物理區域內部布置輔助點的數目多於邊界配點數(即),可以得到插值矩陣,需用移動最小二乘近似求解。
奇異邊界法下一步,我們將計算輔助點換成邊界源點,即配點和源點完全重疊在邊界上;我們有
奇異邊界法
奇異邊界法
奇異邊界法
奇異邊界法
奇異邊界法
奇異邊界法
奇異邊界法這裡插值矩陣的非對角線元素可由公式得到。因而利用方程中求得的係數,我們就能用方程計算出關鍵的未知對角元素,即源點強度因子。
奇異邊界法利用上面得到的源點強度因子,我們就可以用邊界插值公式,計算具有相同幾何形狀和控制方程的任意問題。

