術語解釋
拋物線軸:拋物線是軸對稱圖形,它的對稱軸簡稱軸。
頂點:拋物線與它的軸的交點叫做拋物線的頂點。
弦:拋物線的弦是連線拋物線上任意兩點的線段。
焦弦:拋物線的焦弦是經過拋物線焦點的弦。
正焦弦:拋物線的正焦弦是垂直於軸的焦弦。
直徑:拋物線的直徑是拋物線一組平行弦中點的軌跡。這條直徑也叫這組平行弦的共軛直徑。
主要直徑:拋物線的主要直徑是拋物線的軸。
拋物線即把物體拋擲出去,落在遠處地面,這物體在空中經過的曲線。
發展歷程
Apollonius所著的八冊《圓錐曲線》(Conics)集其大成,可以說是古希臘解析幾何學一個登峰造極的精擘之作。今日大家熟知的ellipse(橢圓)、parabola(拋物線)、hyperbola(雙曲線)這些名詞,都是Apollonius所發明的。當時對於這種既簡樸又完美的曲線的研究,乃是純粹從幾何學的觀點,研討和圓密切相關的這種曲線;它們的幾何乃是圓的幾何的自然推廣,在當年這是一種純理念的探索,並不寄望也無從預期它們會真的在大自然的基本結構中扮演著重要的角色。
解析幾何
拋物線的標準方程
拋物線y2 =-2px(p>0)(開口向左);
x2 =2py(p>0)(開口向上);
x2 =-2py(p>0)(開口向下);
在拋物線y2 =4cx(c>0)中,焦點是F(c,0),準線l的方程是x=−c;
在拋物線y2 =-4cx(c>0)中,焦點是F(-c,0),準線l的方程是x=c;
在拋物線x2 =4cy(c>0)中,焦點是F(0,c),準線l的方程是y=−c;
在拋物線x2 =-4cy(c>0)中,焦點是F(0,-c),準線l的方程是y=c;
(c=焦點至頂點之距離的絕對值)
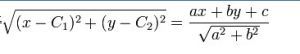
依據基礎定義的公式
拋物線上任意點P(x,y)至準線ax+by+c之距離與P至焦點C(C1,C2)的距離恆等,
故得:
拋物線公式解析式求法
以焦點在X軸上為例
知道P(x0,y0)
令所求為y2=2px
則有y02=2px0
∴2p=y02/x0
∴拋物線為y2=(y02/x0)x
光學性質
經焦點的光線經拋物線反射後的光線平行於拋物線的對稱軸。各種探照燈、汽車燈即利用拋物線(面)的這個性質,讓光源處在焦點處以發射出(準)平行光。
證明:
設P(x0,y0),PT是拋物線在P處的切線,PH⊥PT,拋物線的方程為(a>0),焦點F坐標為(0,)
根據拋物線的定義知PF=y0+
又拋物線導數為
所以切線PN的斜率為2ax0,方程為y-y0=2ax0(x-x0)
令x=0,得
則FT=y0+
所以PF=FT,∠FTP=∠FPT
又∠FPT=∠MPN
所以∠FTP=∠MPN
MP平行於y軸
準線式方程
焦點準線式(標準方程)
焦點:F(m,n)
準線:L:ax+by+c=0
方程為:
b2x2-2abxy+a2y2-2(ac+ma2+mb2)x-2(bc+na2+nb2)y+(m2+n2)(a2+b2)-c2=0
面積和弧長公式
面積Area=2ab/3
弧長ArclengthABC
=√(b^2+16a^2)/2+b^2/8aln((4a+√(b^2+16a^2))/b)
若O(0,0),M(x,y)是拋物線y^2=2px上兩點,拋物線的弧OM的弧長
弧長L=(p/2)*{√[(2x/p)*(1+2x/p)]+ln[√(2x/p)+√(1+2x/p)]}
擴展公式
拋物線就是y等於ax的平方加上bx再加上c
a>0時開口向上
a<0時開口向下
c=0時拋物線經過原點
b=0時拋物線對稱軸為y軸
還有頂點式y=a(x-h)2+k
h是頂點坐標的x
k是頂點坐標的y
一般用於求最大值與最小值
拋物線標準方程:y2=2px
它表示拋物線的焦點在x的正半軸上,焦點坐標為(p/2,0)準線方程為x=-p/2
由於拋物線的焦點可在任意半軸,故共有標準方程y2=2px,y2=-2px,x2=2py,x2=-2py
二次函式圖象
在平面直角坐標系中作出二次函式y=ax2+bx+c的圖像,可以看出,在沒有特定定義域的二次函式圖像是一條永無止境的拋物線。如果所畫圖形準確無誤,那么二次函式圖像將是由平移得到的。
二次函式圖像是軸對稱圖形。對稱軸為直線
對稱軸與二次函式圖像唯一的交點為二次函式圖象的頂點P。
特別地,當b=0時,二次函式圖像的對稱軸是y軸(即直線x=0)。是頂點的橫坐標(即x=?)。
a,b同號,對稱軸在y軸左側
a,b異號,對稱軸在y軸右側
二次函式圖像有一個頂點P,坐標為P(h,k)。
當h=0時,P在y軸上;當k=0時,P在x軸上。即可表示為頂點式y=a(x-h)2+k(a≠0)。
二次項係數a決定二次函式圖像的開口方向和大小。
當a>0時,二次函式圖象向上開口;當a<0時,拋物線向下開口。
|a|越大,則二次函式圖像的開口越小。
一次項係數b和二次項係數a共同決定對稱軸的位置。
當a>0,與b同號時(即ab>0),對稱軸在y軸左;因為對稱軸在左邊則對稱軸小於0,也就是-b/2a<0,所以b/2a要大於0,所以a、b要同號。
當a>0,與b異號時(即ab<0),對稱軸在y軸右。因為對稱軸在右邊則對稱軸要大於0,也就是-b/2a>0,所以b/2a要小於0,所以a、b要異號。
可簡單記憶為左同右異,即當a與b同號時(即ab>0),對稱軸在y軸左;當a與b異號時(即ab<0),對稱軸在y軸右。
事實上,b有其自身的幾何意義:二次函式圖象與y軸的交點處的該二次函式圖像切線的函式解析式(一次函式)的斜率k的值。可通過對二次函式求導得到。
相關結論
A(x1,y1),B(x2,y2),A,B在拋物線y2=2px上,則有:
①x1x2=p²/4,y1y2=-p²(要在直線過焦點時才能成立);
(當A,B在拋物線x²=2py上時,則有x1x2=-p²,y1y2=p²/4,要在直線過焦點時才能成立)
②焦點弦長:|AB|=x1+x2+P=2P/[(sinθ)2];
③(1/|FA|)+(1/|FB|)=2/P;
④若OA垂直OB則AB過定點M(2P,0);
⑤焦半徑:|FP|=x+p/2(拋物線上一點P到焦點F的距離等於P到準線L的距離);
⑥弦長公式:AB=√(1+k2)*│x1-x2│;
⑦△=b2-4ac;
⑧由拋物線焦點到其切線的垂線距離,是焦點到切點的距離,與到頂點距離的比例中項;
⑨標準形式的拋物線在(x0,y0)點的切線是:yy0=p(x+x0)
(注:圓錐曲線切線方程中x²=x*x0,y²=y*y0,x=(x+x0)/2,y=(y+y0)/2)
⑴△=b2-4ac>0有兩個實數根;
⑵△=b2-4ac=0有兩個一樣的實數根;
⑶△=b2-4ac<0沒實數根。
盤點高中數學名詞
| 高中是大學的過渡階段,學好高中數學,才能為學好大學數學打好基礎,那我們盤點下高中數學中有哪些名詞吧。 |

