概念
概念
點差就是在求解圓錐曲線並且題目中交代直線與圓錐曲線相交被截的線段中點坐標的時候,利用直線和圓錐曲線的兩個交點,並把交點代入圓錐曲線的方程,並作差。求出直線的斜率,然後利用中點求出直線方程。
利用點差法可以減少很多的計算,所以在解有關的問題時用這種方法比較好。
具體步驟
點差法
點差法
點差法①設直線和圓錐曲線交點為 , ,其中點坐標為 ,則得到關係式
點差法
點差法, ..
點差法
點差法②把 , 分別代入圓錐曲線的解析式,並作差,利用平方差公式對結果進行因式分解.
點差法因式分解的結果必為 ,其中A和B根據圓錐曲線的類型來決定具體數值,
點差法
點差法一般來說會包含有 和 兩項.
點差法
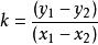
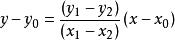
點差法③利用 求出直線斜率,代入點斜式得直線方程為
點差法
點差法④對於橢圓來說
常見問題
弦的斜率與弦的中點問題;
①注意:點差法的不等價性;(考慮Δ>0)在求出直線方程以後,必須將直線方程和圓錐曲線方程聯立得到一個關於x(或y)的一元二次方程,判斷該方程的Δ和0的關係。只有Δ>0,直線才是存在的。
②“點差法”常見題型有:求中點弦方程、求(過定點、平行弦)弦中點軌跡、垂直平分線、定值問題。
在解答平面解析幾何中的某些問題時,如果能適時運用點差法,可以達到“設而不求”的目的,同時,還可以降低解題的運算量,最佳化解題過程. 這類問題通常與直線斜率和弦的中點有關或藉助曲線方程中變數的取值範圍求出其他變數的範圍。
與圓錐曲線的弦的中點有關的問題,我們稱之為圓錐曲線的中弦問題.
解圓錐曲線的中點弦問題的一般方法是:聯立直線和圓錐曲線的方程,藉助於一元二次方程的根的判別式,根與係數的關係,中點坐標公式及參數法求解.
點差法
點差法若設直線與圓錐曲線的交點(弦的端點)坐標,,將這兩點代入圓錐曲線的方程並對所得兩式作差,得到一個與弦的中點和斜率有關的式子,可以大大減少運算量.我們稱這種代點作差的方法為"點差法".
軌跡方程
求直線方程或求點的軌跡方程
點差法
點差法
點差法例 1 拋物線 上的兩點A、B的橫坐標恰是關於x的方程 ,(常數 )的兩個實根,求直線AB的方程.
點差法
點差法
點差法
點差法解:設 、 ,則 ①; ②;
點差法由①、②兩式相減,整理得 ③;
點差法同理 ④.
點差法
點差法∵③、④分別表示經過點 、 的直線,因為兩點確定一條直線.
點差法∴ ,即為所求的直線AB的方程.
點差法
點差法
點差法
點差法
點差法
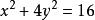
點差法例2 過橢圓內一點作一直線,使直線被橢圓截得的線段恰好被點平分,求直線的方程.
點差法
點差法
點差法
點差法解:設弦的兩端點為、,則,,
點差法
點差法
點差法
點差法
點差法兩式相減,得,因為,,(解釋:因為是直線的中點)
點差法
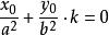
點差法∴等式兩邊同除,有
點差法
點差法
點差法∴,故直線的方程為,
點差法即
求圓錐曲線方程用點差法,特別在橢圓和雙曲線居多.
點差法點差法通用公式:(適用於橢圓類題目)

