定義
等邊三角形(又稱正三邊形),為三邊相等的三角形,其三個內角相等,均為60°,它是銳角三角形的一種。等邊三角形也是最穩定的結構。等邊三角形是特殊的等腰三角形,所以等邊三角形擁有等腰三角形的一切性質 。
尺規做法
第一種:可以利用尺規作圖的方式畫出正三角形,其作法相當簡單:先用尺畫出一條任意長度的線段(這條線段的長度決定等邊三角形的邊長),再分別以線段二端點為圓心、線段為半徑畫圓,二圓匯交於二點,任選一點,和原來線段的兩個端點畫線段,則這二條線段和原來線段即構成一正三角形。
第二種:在平面內作一條射線AC,以A為固定端點在射線AC上截取線段AB=等邊三角形邊長,然後保持圓規跨度分別以A,B為端在AB同側點作弧,兩弧交點D即為所求作的三角形的第三個頂點 。
性質
三線合一(1)等邊三角形是銳角三角形,等邊三角形的內角都相等,且均為60°。
(2)等邊三角形每條邊上的中線、高線和角平分線互相重合。(三線合一)
(3)等邊三角形是軸對稱圖形,它有三條對稱軸,對稱軸是每條邊上的中線、高線 或角的平分線所在的直線。
(4)等邊三角形重心、內心、外心、垂心重合於一點,稱為等邊三角形的中心。(四心合一)
(5)等邊三角形內任意一點到三邊的距離之和為定值。(等於其高)
(6)等邊三角形擁有等腰三角形的一切性質。(因為等邊三角形是特殊的等腰三角形)
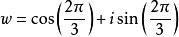
(7)複數性質:
等邊三角形A,B,C三點的複數構成正三角形,等價於
等邊三角形其中 ;
等邊三角形。
判定方法
(1)三邊相等的三角形是等邊三角形(定義)。
等邊三角形(2)三個內角都相等的三角形是等邊三角形。
(3)有一個內角是60度的等腰三角形是等邊三角形。
(4) 兩個內角為60度的三角形是等邊三角形。
說明:可首先考慮判斷三角形是等腰三角形。
提示:
【1】三個判定定理的前提不同,判定(1)和(2)是在三角形的條件下,判定(3)是在等腰三角形的條件下。
【2】判定(3)告訴我們,在等腰三角形中,只要有一個角是60度,不論這個角是頂角還是底角,這個三角形就是等邊三角形。
等邊三角形的性質與判定理解:
首先,明確等邊三角形定義。三邊相等的三角形叫做等邊三角形,也稱正三角形。
其次,明確等邊三角形與等腰三角形的關係。等邊三角形是特殊的等腰三角形,等腰三角形不一定是等邊三角形。
相關公式
等邊三角形相關公式
等邊三角形邊長公式:;
等邊三角形面積公式:。
等邊三角形與圓的有關計算公式
邊長關係
等邊三角形高: ;
等邊三角形
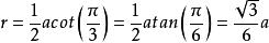
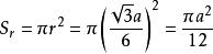
等邊三角形內切圓半徑: ;
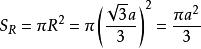
外接圓半徑:
等邊三角形;
等邊三角形;表示內切圓面積,
等邊三角形;表示外接圓面積。
由此可知等邊三角形外接圓面積是內切圓面積的4倍。
運用方法
在全等證明題目中往往把等邊三角形作為背景圖形,在解題時我們要善於運用等邊三角形的特殊性來達到證明全等的目的。如下例題:
已知:△ABC中,∠A=60°,且AB+AC=a,
求證:當三角形的周長最短時,三角形是等邊三角形。
證明:要使三角形的周長最短,只要使BC最短。
AC=a-AB
根據餘弦定理有:
BC =AB +AC -2AB*AC*cosA;
BC =AB +AC -AB*AC=AB +(a-AB) -AB*(a-AB)=3AB -3a*AB+a =3(AB-a/2) +a /4;
所以當AB=a/2=AC時BC最小,為a/2;
這時,周長為AB+AC+BC=a+BC=a+a/2=3a/2最短。

