歷史
無窮級數英國曼徹斯特大學和埃克塞特大學的研究小組指出,喀拉拉學校也曾發現可用於計算圓周率的無窮級數,並利用它將圓周率的值精確到小數點後第9位和第10位,後來又精確到第17位。研究人員說,一個極有說服力的間接證據是,15世紀,印度人曾經將他們的發現告知造訪印度的精通數學的耶穌會傳教士。“無窮級數”可能最終擺到了牛頓本人的書桌上。
約瑟夫是在通讀字跡模糊的印度文字材料時得出這些發現的,他的暢銷著作《孔雀之冠:非歐洲的數學之根》(The Crest of the Peacock: the Non-European Roots of Mathematics)的第3版將刊登此次發現,該書由普林斯頓大學出版社負責出版。他說:“現代數學的起源通常被視為歐洲人取得的一項成就,但中世紀(14至16世紀)印度的這些發現卻被人們忽視或者遺忘了。17世紀末期,牛頓的工作取得了輝煌的成就。他所做的貢獻是不容人們抹殺的,尤其在提到微積分的運算法則時更是如此。但喀拉拉學校的學者——特別是馬德哈瓦(Madhava)和尼拉坎特哈(Nilakantha)的名字也同樣不能忘記,他們取得的成就足以和牛頓平起平坐,因為正是他們發現了微積分的另一個重要組成部分——無窮級數。”
約瑟夫表示:“喀拉拉學校所做的貢獻未能獲得世人的承認有很多原因,其中一個最重要的原因便是對非歐洲世界的科學發現漠然視之的態度,這種做法無疑是對歐洲殖民主義在科學領域的一種延續。此外,對於中世紀的喀拉拉語、馬拉雅拉姆語等印度當地語言的形態,外人可以說是知之甚少,而諸如《Yuktibhasa》等一些最具有開創性的著作卻又偏偏使用了這些語言。《Yuktibhasa》的大部分篇幅都用來闡述產生重要影響的無窮級數。”他指出:“我們真的無法想像,西方社會能夠拋棄奉行了500年之久的傳統,從印度和伊斯蘭世界‘進口’學識和著作。但我們還是發現了強有力的證據,例如,由於當時的歐洲耶穌會士曾造訪這一地區,所以他們有很多收集相關信息的機會。更為重要的是,這些耶穌會士不但精通數學,同時也精通當地的語言。
約瑟夫說:“他們之所以這么做實際上有很大的動機:教皇格雷戈里八世組建了一個委員會,專門負責為羅馬的儒略曆實現現代化。這個委員會的成員包括德國耶穌會士、天文學家兼數學家克拉維烏斯,他曾多次要求獲得世界其它地區的人如何打造曆法的信息,而喀拉拉學校無疑在這一領域扮演著領導者的角色。”他表示:“類似地,人們對更有效的導航方式的需求也變得越發強烈,包括在探險之旅中如何保持時間的準確性。此外,致力於天文學研究的數學家也可憑藉自己的努力獲得大獎。因此,歐洲重要的耶穌會研究人員的足跡便開始遍布全世界,以獲得相關的知識和信息,而喀拉拉學校的數學家無疑是這一領域的大師。”
概述
無窮級數是對一個有次序的無窮個數求和的方法,無窮級數有發散性和收斂性的區別。只有無窮級數收斂時有一個和;發散的無窮級數沒有和。算術的加法可以對有限個數求和,但無法對無限個數求和,有些數列可以用無窮級數方法求和。
收斂與發散性質
首先我們只是考慮級數的斂散性的問題,也就是存在性問題,而不是如何求極限的問題。關於無窮級數的斂散性,有如下的基本性質:
1.任意改變一個級數的任意有限項的值,都不影響這個級數的斂散性。
原因很顯然,只要對一個級數所作的改變是有限的,就不能使得這個級數,由趨向於無窮而變得趨向於有限,也不能使得這個級數由趨向於有限而變得趨向於無窮,或者是由根本不存在任何極限,而變得出現極限。
2.如果任意有限個無窮級數都是收斂的,那么它們任意的線性組合也必定是收斂的。
注意對於都是發散的級數,則不存在類似的結論。
3.在一個收斂級數的各個項之間任意地填加括弧,得到一個新的級數,收斂於同樣的和。
4.級數收斂的一個必要條件是它的通項以0為極限。
即
無窮級數
無窮級數正項級數及其斂散性判別法
如果一個無窮級數的每一項都大於或等於0,則這個級數就是所謂的正項級數。
正項級數的主要特徵就是如果考慮級數的部分和數列,就得到了一個單調上升數列。而對於單調上升數列是很容易判斷其斂散性的:
正項級數收斂的充要條件是部分和數列有界。
有界性可以通過許多途徑來進行判斷,由此我們可以得到一系列的斂散性判別法。
比較判別法:
(1)一個正項級數,如果從某個有限的項以後,所有的項都小於或等於一個已知收斂的級數的相應項,那么這個正項級數也肯定收斂。
(2)而如果用來作比較的級數已知是發散的話,在同樣條件之下,這個正項級數同樣也是發散的。
如果說逐項的比較還有些麻煩的話,可以採用如下的極限形式:對於正項級數
無窮級數
無窮級數
無窮級數積分判別法:
對於正項級數
無窮級數
無窮級數
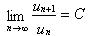
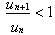
無窮級數比值判別法:
設正項級數
無窮級數
無窮級數
無窮級數同樣這種比較也可以採用極限形式:
設正項級數
無窮級數
無窮級數根值判別法:
對於正項級數
無窮級數
無窮級數
無窮級數同樣這種比較也可以採用極限形式:設正項級數
無窮級數
無窮級數絕對收斂級數。
實際上針對正項級數的斂散性判別法的有效範圍還可以擴大,也就是說,還可以用於判斷更多的級數是收斂的。這是通過引入絕對收斂的概念而得到的。
如果我們把一個任意項的級數的每一項都取絕對值,那么就得到了一個正項級數,如果這個正項級數是收斂的,那么這個任意項級數就被稱為是絕對收斂的。給出絕對收斂這么一類任意項級數的好處,就在於
一個任意項級數如果是絕對收斂的,那么也就一定是收斂的。
絕對收斂級數不僅具有可以套用針對正項級數的斂散性的判別法的特性,還具有如下的性質:
(1)如果把任意項級數
無窮級數
無窮級數
無窮級數
無窮級數
無窮級數
無窮級數從這個性質能夠得到一個推論,即:如果任意項級數
無窮級數
無窮級數作為加法交換律的一個推廣,對於正項級數,如果任意改變它的各項的相加順序,不會改變它的斂散性,同樣,對於絕對收斂級數也有這樣的性質。
(2)對絕對收斂的任意項級數,任意改變它的各項的相加順序,不會改變它的斂散性,並且是收斂於同樣的極限。
不只是對於加法的交換律,對於絕對收斂級數的乘積也有性質:
(3)如果兩個任意項級數都絕對收斂,那么它們的各項的乘積,按照任意方法排列而得到的級數同樣絕對收斂,並且和為兩個任意項級數的和的乘積。
交錯級數。
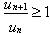
考慮一種特別的級數形式,即相鄰兩項的符號相反,稱為交錯級數。交錯級數具有一個簡單的性質:
如果
無窮級數這種級數稱為萊布尼茲級數。
冪級數
一個任意項級數,如果由它的各項的絕對值所得到的級數收斂,則原來的級數也收斂,如果發散,則原來的級數不一定也發散,如果反而是收斂,則稱這種級數為條件收斂的。實際上,條件收斂的級數,可以通過變換級數各項的順序而使得這個級數收斂於任意實數,包括無窮大。
冪級數。以及冪級數的收斂半徑和收斂區間。
級數的每一項也可以是函式,這種級數稱為函式項級數。
這裡我們討論一種特定的函式項級數,即由如下形式的冪函式組成的級數,稱為冪級數:
無窮級數
無窮級數如果冪級數在點x=k 處收斂,那么它在區間
無窮級數
無窮級數
無窮級數上面的定理使得冪函式的收斂域只能是一個開區間,稱為冪級數的收斂區間。收斂區間的長度的一半稱為收斂半徑。套用對於正項級數的比值判別法和根值判別法的極限形式,可以求出冪級數的收斂半徑。
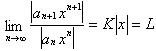
設對於冪級數
無窮級數
無窮級數
無窮級數(1) 如果K大於0,則在L小於1時,冪級數絕對收斂,而L大於1時,冪級數發散,因此此時冪級數的收斂半徑為1/K。
(2) 如果K=0,則對於任意的x冪級數都是絕對收斂的,因為此時L=0,小於1,這時可以認為冪級數的收斂半徑為無窮大。
(3) 如果K為無窮大,則冪級數只在x=0處收斂,而取任意非零的數值時,級數都是發散的,因此可以認為冪級數的收斂半徑為0。
類似地,也可以根據根值判別法的極限形式,得到相同的結論。求出冪級數的收斂半徑以後,即可得到相應的收斂區間和收斂區域。
對於一個冪級數,如果它的收斂半徑大於0,那么在它的收斂區域內,就得到了一個確定的以這個收斂區域為定義域的函式,為這個冪級數的和函式,自然,對於這個和函式也應該能夠套用微積分的方法加以研究。
首先是對和函式的求導:
如果冪級數
無窮級數
無窮級數和函式還具有連續性:如果冪級數
無窮級數經濟套用數學
| 經濟套用數學是高等學校財經類專業的必學內容。此任務主要對微積分的基本知識進行概述講解。提供給剛入門此專業的學生。希望對他們有所幫助。 |

