簡介
定義
中值定理函式與其導數是兩個不同的函式;而導數只是反映函式在一點的局部特徵;如果要了解函式在其定義域上的整體性態,就需要在導數及函式間建立起聯繫,微分中值定理就是這種作用。微分中值定理,包括羅爾定理、拉格朗日定理、柯西定理、泰勒定理。是溝通導數值與函式值之間的橋樑,是利用導數的局部性質推斷函式的整體性質的工具。以羅爾定理、拉格朗日中值定理和柯西中值定理組成的一組中值定理是一整個微分學的理論基礎。拉格朗日中值定理,建立了函式值與導數值之間的定量聯繫,因而可用中值定理通過導數去研究函式的性態;中值定理的主要作用在於理論分析和證明;同時由柯西中值定理還可導出一個求極限的洛必達法則。中值定理的套用主要是以中值定理為基礎,套用導數判斷函式上升,下降,取極值,凹形,凸形和拐點等項的重要性態。從而能把握住函式圖象的各種幾何特徵。在極值問題上也有重要的實際套用。
實際套用
微積分是與實際套用聯繫著發展起來的,它在天文學、力學、化學、生物學、工程學、經濟學等自然科學、社會科學及套用科學等多個分支中,有越來越廣泛的套用。特別是計算機的發明更有助於這些套用的不斷發展。
客觀世界的一切事物,小至粒子,大至宇宙,始終都在運動和變化著。因此在數學中引入了變數的概念後,就有可能把運動現象用數學來加以描述了。
由於函式概念的產生和運用的加深,也由於科學技術發展的需要,一門新的數學分支就繼解析幾何之後產生了,這就是微積分學。微積分學這門學科在數學發展中的地位是十分重要的,可以說它是繼歐氏幾何後,全部數學中的最大的一個創造。
相關概念
微分學
微積分學是微分學和積分學的總稱。它是一種數學思想,‘無限細分’就是微分,‘無限求和’就是積分。十七世紀後半葉,牛頓和萊布尼茨完成了許多數學家都參加過準備的工作,分別獨立地建立了微積分學。他們建立微積分的出發點是直觀的無窮小量,但是理論基礎是不牢固的。因為“無限”的概念是無法用已經擁有的代數公式進行演算,所以,直到十九世紀,柯西和維爾斯特拉斯建立了極限理論,康托爾等建立了嚴格的實數理論,這門學科才得以嚴密化。
微積分相關書籍微積分學基本定理指出,求不定積分與求導函式互為逆運算(把上下限代入不定積分即得到積分值,而微分則是導數值與自變數增量的乘積),這也是兩種理論被統一成微積分學的原因。
極限
學習微積分學,首要的一步就是要理解到,“極限”引入的必要性:因為,代數是人們已經熟悉的概念,但是,代數無法處理“無限”的概念。所以為了要利用代數處理代表無限的量,於是精心構造了“極限”的概念。在“極限”的定義中,繞過了用一個數除以0的麻煩,而引入了一個過程任意小量。就是說,除數不是零,所以有意義,同時,這個過程小量可以取任意小,只要滿足在Δ的區間內,都小於該任意小量,我們就說他的極限為該數。
套用
中值定理
中值定理在一些等式的證明中,我們往往容易思維定式,只是對於原來的式子要從哪去證明,很不容易去聯繫其它,只從式子本身所表達的意思去證明。已知有這樣一個推論,若函式 在區間I上可導,且連續,則 為I上的一個常量函式。它的幾何意義為:斜率處處為0的曲線一定是平行於x軸的直線。這個推論的證明套用拉格朗日中值定理。
無窮小(大)量階的比較時,看到兩個無窮小(大)量之比的極限可能存在,也可能不存在。如果存在,其極限值也不盡相同。稱兩個無窮小量或兩個無窮大量之比的極限為 型或 型不定式極限。解決這種極限的問題通常要用到洛比達法則。這是法則的內容,而在計算時往往都是直接的套用結論,沒有注意到定理本身的證明,而這個定理的證明也套用到了中值定理 。
中值定理在一元函式微分學中,微分中值定理是套用函式的局部性質研究函式在區間上整體性質的重要工具,它在數學分析中占有重要的地位,其中拉格朗日中值定理是核心,羅爾定理是其特殊情況,柯西定理是其推廣。拉格朗日微分中值定理有許多推廣,這些推廣有一些基本的特點,這就是把定理條件中可微性概念拓寬,然後推廣微分中值表達公式。微分中值定理的套用為數學的進一步發展提供了廣闊的天地。
類別
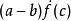
拉格朗日中值定理
中值定理是微積分學中的基本定理,由四部分組成。
內容是說一段連續光滑曲線中必然有一點,它的斜率與整段曲線平均斜率相同(嚴格的數學表達參見下文)。中值定理又稱為微分學基本定理,拉格朗日定理,拉格朗日中值定理,以及有限改變數定理等。
中值定理
中值定理
中值定理如果函式 滿足在閉區間[a,b]上連續;在開區間(a,b)內可導,那么在(a,b)內至少有一點 ,使等式 成立。
羅爾定理
中值定理
中值定理
中值定理
中值定理如果函式 滿足在閉區間[a,b]上連續;在開區間(a,b)內可導;在區間端點處的函式值相等,即 ,那么在(a,b)內至少有一點 ,使得 ;
補充:幾何上,羅爾定理的條件表示,曲線弧 (方程為)是一條連續的曲線弧,除端點外處處有不垂直於 軸的切線,且兩端點的縱坐標相等。而定理結論表明,弧上至少有一點 ,曲線在該點切線是水平的。
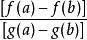
柯西中值定理
中值定理
中值定理如果函式 及 滿足:
⑴在閉區間[a,b]上連續;
⑵在開區間(a,b)內可導;
中值定理⑶對任一x屬於(a,b),F'(x)不等於0
中值定理
中值定理那么在(a,b) 內至少有一點 ,使等式 成立。也叫Cauchy中值定理。
中值定理
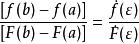
中值定理若令u=f(x),v=g(x),這個形式可理解為參數方程,而 則是連線參數曲線的端點斜率, 表示曲線上某點處的切線斜率,在定理的條件下,可理解如下:用參數方程表示的曲線上至少有一點,它的切線平行於兩端點所在的弦,這一點Lagrange也具有,但是Cauchy中值定理除了適用y=f(x)表示的曲線,還適用於參數方程表示的曲線。
當柯西中值定理中的g(x)=x時,柯西中值定理就是拉格朗日中值定理。
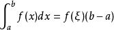
積分中值定理
中值定理f(x)在a到b上的積分等於 ),其中c滿足a<c<b.
如果函式 f(x) 在積分區間[a, b]上連續,則在 [a, b]上至少存在一個點 ξ,使下式成立
中值定理其中(a≤ξ≤b)。
經濟套用數學
| 經濟套用數學是高等學校財經類專業的必學內容。此任務主要對微積分的基本知識進行概述講解。提供給剛入門此專業的學生。希望對他們有所幫助。 |

