定義
對於連續性,在自然界中有許多現象,如氣溫的變化,植物的生長等都是連續地變化著的。這種現象在函式關係上的反映,就是函式的連續性。
連續函式
連續函式
連續函式
連續函式
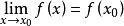
連續函式設函式 在點 的某個鄰域內有定義,如果有 ,則稱函式在點 處連續,且稱 為函式的的連續點。
連續函式
連續函式
連續函式
連續函式
連續函式
連續函式設函式在區間 內有定義,如果 在 的左極限存在且等於 ,即 ,那么就稱函式在點 左連續。
連續函式
連續函式
連續函式
連續函式
連續函式
連續函式
連續函式設函式在區間 內有定義,如果 在 處右極限存在且等於 ,即: ,那么就稱函式 在點 右連續。
連續函式
連續函式
連續函式
連續函式
連續函式一個函式在開區間 內每點連續,則為在 連續,若又在 點右連續, 點左連續,則在閉區間 連續,如果在整個定義域內連續,則稱為連續函式。
顯然,由極限的性質可知,一個函式在某點連續的充要條件是它在該點左右都連續。
等價定義
連續函式
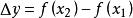
連續函式設變數x從它的一個初值x變到終值x,我們把 叫做x在x處的增量(或變化量)。注意增量 可正可負。
連續函式同樣地,當自變數從x變化到x時,相應的函式值也發生變化。我們把 叫做函式值的增量(或變化量)。
連續函式
連續函式
連續函式
連續函式
連續函式再來分析連續的定義。若令 ,則 等價於 ,於是 等價於 。
連續函式
連續函式而根據極限的定義, ,當 時,有
連續函式因此,得到函式連續的另一個定義:
連續函式這就是說,如果自變數在某一點處的增量趨於0時,對應函式值的增量也趨於0,就把f(x)稱作是在該點處連續的。
注意:在函式極限的定義中曾經強調過,當x→x時f(x)有沒有極限,與f(x)在點x處是否有定義並無關係。但由於現在函式在x處連續,則表示f(x)必定存在,顯然當Δx=0(即x=x)時Δy=0<ε。於是上述推導過程中可以取消0<|Δx|這個條件。
間斷點
連續函式
連續函式
連續函式
連續函式
連續函式
連續函式如果函式 在點 處不連續,則稱 在點 處間斷,並把 稱為 的間斷點。
間斷有以下三種情況:
連續函式
連續函式
連續函式1.在點 處 沒有定義,在 為發散狀態(如圖,y=tanx在x=kπ+π/2處無定義,並且在x=kπ+π/2處發散到無窮大);
連續函式
連續函式2.在 無定義,趨近與 時連續波動(如圖,y=sin(1/x)在x=0處無定義,並且在0的某個去心鄰域內無限振盪);
連續函式
連續函式
連續函式3.雖然 有定義,且 存在,但不等於 (如圖,分段函式在x=0處的左右極限都存在,但不等於f(0))。
連續函式法則
定理一 在某點連續的有限個函式經有限次和、差、積、商(分母不為0) 運算,結果仍是一個在該點連續的函式。
定理二 連續單調遞增 (遞減)函式的反函式,也連續單調遞增 (遞減)。
定理三 連續函式的複合函式是連續的。
這些性質都可以從連續的定義以及極限的相關性質中得出。
連續函式
閉區間上的連續函式具有一些重要的性質,是數學分析的基礎,也是實數理論在函式中的直接體現。下面的性質都基於f(x)是[a,b]上的連續函式得出的結論。
有界性
閉區間上的連續函式在該區間上一定有界。
所謂有界是指,存在一個正數M,使得對於任意x∈[a,b],都有|f(x)|≤M。
證明:利用緻密性定理:有界的數列必有收斂子數列。
反證法,假設f(x)在[a,b]上無上界,則對任意正數M,都存在一個x'∈[a,b],使f(x')>M。
特別地,對於任意正整數n,都存在一個x∈[a,b],使f(x)>n。
連續函式
連續函式
連續函式依次取n=1、2、3、……,得到一個數列{x}⊂[a,b]。顯然,{x}是有界的,則根據緻密性定理,存在一個收斂子列 。記 ,由 及數列極限的保不等式性可知,a≤x≤b(即x∈[a,b])。
連續函式又由歸結原則和函式在點x的連續性可知,
連續函式
連續函式另一方面,由{x}的選取方法可知, ,於是當k→∞時, ,矛盾!
所以假設不成立,f(x)在[a,b]上必有上界。
同理可證f(x)在[a,b]上必有下界,從而f(x)在[a,b]上有界 。
最值性
閉區間上的連續函式在該區間上一定能取得最大值和最小值。
所謂最大值是指,[a,b]上存在一個點x,使得對任意x∈[a,b],都有f(x)≤f(x),則稱f(x)為f(x)在[a,b]上的最大值。最小值可以同樣作定義,只需把上面的不等號反向即可。
證明:利用確界原理:非空有上(下)界的點集必有上(下)確界。
由於已經證明了f(x)在[a,b]上有界,因此由確界原理可知,f(x)的值域f([a,b])必有上確界和下確界。
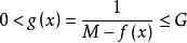
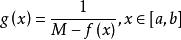
設f([a,b])的上確界為M,則必存在ξ∈[a,b]使f(ξ)=M
若不是這樣,根據上界的定義,對任意x∈[a,b],都有f(x)<M。
連續函式
連續函式令 ,由連續函式的四則運算法則可知g(x)在[a,b]上是連續函式,故g(x)在[a,b]上有上界,設為G。則 。
連續函式整理該式子得 ,這與M是f([a,b])的上確界相矛盾,因此存在ξ∈[a,b],使f(ξ)=M。由上確界的定義可知,M是f(x)的最大值。
同理可證f(x)有最小值。
介值性
若f(a)=A,f(b)=B,且A≠B。則對A、B之間的任意實數C,在開區間(a,b)上至少有一點c,使f(c)=C。
這個性質又被稱作介值定理,其包含了兩種特殊情況:
(1)零點定理。
也就是當f(x)在兩端點處的函式值A、B異號時(此時有0在A和B之間),在開區間(a,b)上必存在至少一點ξ,使f(ξ)=0。
(2)閉區間上的連續函式在該區間上必定取得最大值和最小值之間的一切數值。
也就是設f(x)在[a,b]上的最大值、最小值分別為M、m(M≠m),並且f(x)=M,f(x)=m,x、x∈[a,b]。在閉區間[x,x]或[x,x]上使用介值定理即可。
證明:零點定理可以利用閉區間套定理:如果{[a,b]}是一個閉區間套,那么存在唯一實數ξ屬於所有的閉區間。詳細證法參考相應詞條。
介值定理可以構造輔助函式來證明。
令g(x)=f(x)-C,其中C是A和B之間的任一實數,則g(x)在[a,b]上連續。
不妨設A<C<B,則g(a)=f(a)-C=A-C<0,g(b)=f(b)-C=B-C>0,即g(x)在兩端點處的函式值異號。根據零點定理,在開區間(a,b)上至少存在一點c,使g(c)=f(c)-C=0。∴f(c)=C,c∈(a,b)。
對於B<C<A的情況有完全相同的證法。
一致連續性
閉區間上的連續函式在該區間上一致連續。
所謂一致連續是指,對任意ε>0(無論其多么小),總存在正數δ,當區間I上任意兩個數x、x滿足|x-x|<δ時,有|f(x)-f(x)|<ε,就稱f(x)在I上是一致連續的。
證明:利用有限覆蓋定理:如果H是閉區間[a,b]的一個無限開覆蓋,那么能從H中選擇有限個開區間來覆蓋[a,b]。詳細證法參考相應詞條。
反函式連續性
如果函式f在其定義域D上嚴格單調且連續,那么其反函式f 也在其定義域f(D)(即f的值域)上嚴格單調且連續。
證明:嚴格單調函式必定有嚴格單調反函式,並且單調性相同(證法參考反函式詞條),因此只要證明反函式也在其定義域上連續即可。
設f是定義在D上的嚴格單增的函式(嚴格單減同理)。作輔助函式g(x)=x,顯然g(x)的反函式就是它本身。
由於g(x)在R上是連續的,因此它在D上也是連續的。
①若D是開區間,設x是D上任意一點,由g(x)的連續性可知,對任意ε>0,存在δ>0,使得當|x-x|<δ時,|g(x)-g(x)|<ε。即|x-x|<ε。
於是可取區間(x-δ,x+δ)上滿足x<x<x的兩點(前提是x、x落在D內),根據f的連續性可知開區間(x,x)內的所有x(包括x)都滿足|x-x|<ε。
設y、y、y是x、x、x對應的值,由f的單調性可知y<y<y。
不妨設δ’=min{y-y,y-y}=y-y,(等於y-y同理),則當|y-y|<δ‘,即y-δ’=y<y<y+δ‘<y時,有x<x<x。
根據上述分析,當x<x<x時,就有|x-x|<ε。即對任意ε>0,存在δ’,當|y-y|<δ‘時,|x-x|<ε。這就證明了f 在y處連續。由於x是任意的,因此y也是任意的,因此f 在f(D)上連續。
②若D是半開半閉區間,不妨設D=[a,b),D’=(a,b),則f 在f(D')上連續,因此只要證f 在f(a)處也連續即可得到f 在D上連續。
∵g(x)在x=a處右連續
∴對任意ε>0,存在δ>0,使得當a<x<a+δ時,|g(x)-g(a)|=|x-a|<ε。
可取區間(a,a+δ)上滿足a<x<x的點(前提是x落在D內),根據f的連續性可知開區間(a,x)內的所有x(包括x)都滿足|x-x|<ε。
設f(a)、y、y是a、x、x對應的值,由f的單調性可知f(a)<y<y。
不妨設δ’=min{y-a,y-y}=y-a,(等於y-y同理),則當f(a)<y<y+δ’<y時,有a<x<x。
據上述分析,當a<x<x時,就有|x-x|<ε。即對任意ε>0,存在δ’,當f(a)<y<y+δ’時,|x-x|<ε。這就證明了f 在f(a)處右連續。從而f 在f(D)上連續。
同理可證若D=(a,b]時,f 在f(D)上連續。
③若D是閉區間,則根據①和②,f 在D的左右端點以及D的內部都連續,從而f 在D上連續。
定理得證。
經濟套用數學
| 經濟套用數學是高等學校財經類專業的必學內容。此任務主要對微積分的基本知識進行概述講解。提供給剛入門此專業的學生。希望對他們有所幫助。 |

