定理定義
這個公式公布不到兩年,卡當的學生費拉里就找到了四次方程的求根公式。當時數學家們非常樂觀,以為馬上就可以寫出五次方程、六次方程,甚至更高次方程的求根公式了。然而,時光流逝了幾百年,誰也找不出這樣的求根公式。
這樣的求根公式究竟有沒有呢?年輕的挪威數學家阿貝爾做出了回答:“沒有。”阿貝爾從理論上予以證明,無論怎樣用加、減、乘、除及開方運算,無論將方程的係數怎樣排列,它都決不可能是一般五次方程的求根公式。
阿貝爾率先解決了這個引人矚目的難題.所以成為阿貝爾定理
定理1(阿貝爾第一定理)
阿貝爾定理
阿貝爾定理
阿貝爾定理
阿貝爾定理(1)若冪級數① 在 收斂 ,則冪級數①在 都絕對收斂。
阿貝爾定理
阿貝爾定理
阿貝爾定理
阿貝爾定理(2)若冪級數① 在 發散, ,則冪級數①在 都發散。
定理推廣
阿貝爾定理
阿貝爾定理
阿貝爾定理如果冪級數 不是僅在 一點收斂,也不是在整個數軸上都收斂,那么必有一個確定的正數 存在,使得
阿貝爾定理當 時,冪級數絕對收斂;
阿貝爾定理當 時,冪級數發散;
阿貝爾定理當 時,冪級數可能收斂也可能發散。
定理2
阿貝爾定理有冪級數①,即 ,若
阿貝爾定理
阿貝爾定理則冪級數①的收斂半徑為
定理3(阿貝爾第二定理)
阿貝爾定理
阿貝爾定理若冪級數①的收斂半徑 ,則冪級數①在任意閉區間 都一致收斂。
性質1
阿貝爾定理
阿貝爾定理
阿貝爾定理
阿貝爾定理若冪級數 與 的收斂半徑分別是正數 與 ,則r1=r2
性質2
阿貝爾定理
阿貝爾定理
阿貝爾定理
阿貝爾定理若冪級數 的收斂半徑 ,則它的和函式 在區間 連續。
性質3
阿貝爾定理
阿貝爾定理
阿貝爾定理若冪級數 的收斂半徑 ,則它的和函式 由0 到x 可積,且可逐項積分,即
阿貝爾定理性質4
阿貝爾定理
阿貝爾定理
阿貝爾定理
阿貝爾定理若冪級數的收斂半徑 ,則它的和函式 在區間 可導,且可逐項微分
阿貝爾定理
阿貝爾定理
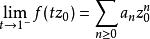
阿貝爾定理設 為一冪級數,其收斂半徑為 R。若對收斂圓(模長為 R的複數的集合)上的某個複數 ,級數收斂,則有: 。
阿貝爾定理若 收斂,則結果顯然成立,無須引用這定理。
例子和套用
阿貝爾定理阿貝爾定理的一個有用套用是計算已知收斂級數。方法是通過在級數每項後加上 項,將問題轉換為冪級數求和,最後再計算 x趨於1 時冪級數的極限。由阿貝爾定理可知,這個極限就是原級數的和。
阿貝爾定理
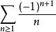
阿貝爾定理1. 為計算收斂級數 ,設
阿貝爾定理於是有
阿貝爾定理
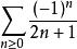
阿貝爾定理2. 為計算收斂級數 ,設
阿貝爾定理因此有

