基本含義
定義
X軸Y軸幾何,就是研究空間結構及性質的一門學科。它是數學中最基本的研究內容之一,與分析、代數等等具有同樣重要的地位,並且關係極為密切。
名稱由來
幾何[數學的一門分科]幾何這個詞最早來自於希臘語“γεωμετρ?α”,由“γ?α”(土地)和“μετρε ?ν”(測量)兩個詞合成而來,指土地的測量,即測地術。後來拉丁語化為“geometria”。中文中的“幾何”一詞,最早是在明代利瑪竇、徐光啟合譯《幾何原本》時,由徐光啟所創。當時並未給出所依根據,後世多認為一方面幾何可能是拉丁化的希臘語GEO的音譯,另一方面由於《幾何原本》中也有利用幾何方式來闡述數論的內容,也可能是magnitude(多少)的意譯,所以一般認為幾何是geometria的音、意並譯。
1607年出版的《幾何原本》中關於幾何的譯法在當時並未通行,同時代也存在著另一種譯名——形學,如狄考文、鄒立文、劉永錫編譯的《形學備旨》,在當時也有一定的影響。在1857年李善蘭、偉烈亞力續譯的《幾何原本》後9卷出版後,幾何之名雖然得到了一定的重視,但是直到20世紀初的時候才有了較明顯的取代形學一詞的趨勢,如1910年《形學備旨》第11次印刷成都翻刊本徐樹勛就將其改名為《續幾何》。直至20世紀中期,已鮮有“形學”一詞的使用出現。
翻譯者
徐光啟 (1562年4月24日-1633年11月10日)
字子先,號玄扈,教名保祿,漢族,明朝南直隸松江府上海縣人,中國明末數學和科學家、農學家、政治家、軍事家,官至禮部尚書、文淵閣大學士。贈太子太保、少保,諡文定。徐光啟也是中西文化交流的先驅之一,是上海地區最早的天主教徒,被稱為“聖教三柱石”之首。
李善蘭 (1811.1.22~1882.12.9)
中國清代數學家、天文學家、力學家、植物學家。原名心蘭,字竟芳,號秋紉,別號壬叔.浙江海寧人。清嘉慶十五年十二月二十八日(1811年1月22日)生;光緒八年十月二十九日(1882年12月9日)卒於北京。自幼喜好數學,後以諸生應試杭州,得元代著名數學家李冶撰《測圓海鏡》,據以鑽研,造詣日深 。道光間,陸續撰成《四元解》、《麟德術解》、《弧矢啟秘》、《萬圓闡幽》及《對數探源》等,聲名大起。鹹豐初,旅居上海,1852~1859年在上海墨海書館與英國漢學家偉烈亞力合譯歐幾里得《幾何原本》後9卷, 完成明末徐光啟、利瑪竇未竟之業。
古代幾何
國外
最早記載可以追溯到古埃及、古印度、古巴比倫,其年代大約始於公元前3000年。早期的幾何學是關於長度,角度,面積和體積的經驗原理,被用於滿足在測繪,建築,天文,和各種工藝製作中的實際需要。埃及和巴比倫人都在畢達哥拉斯之前1500年就知道了畢達哥拉斯定理(勾股定理);埃及人有方形稜錐的錐台(截頭金字塔形)體積正確公式;而巴比倫有一個三角函式表。
中國
中國文明和其對應時期的文明發達程度相當,因此它可能也有同樣發達的數學,但是沒有那個時代的遺蹟可以使我們確認這一點。也許這是部分由於中國早期對於原始的紙的使用,而不是用陶土或者石刻來記錄他們的成就。
發展分支
幾何學發展
幾何藝術幾何學發展歷史悠長,內容豐富。它和代數、分析、數論等等關係極其密切。幾何思想是數學中最重要的一類思想。暫時的數學各分支發展都有幾何化趨向,即用幾何觀點及思想方法去探討各數學理論。
平面與立體
最早的幾何學當屬平面幾何。平面幾何就是研究平面上的直線和二次曲線(即圓錐曲線,就是橢圓、雙曲線和拋物線)的幾何結構和度量性質(面積、長度、角度)。平面幾何採用了公理化方法,在數學思想史上具有重要的意義。
平面幾何的內容也很自然地過渡到了三維空間的立體幾何。為了計算體積和面積問題,人們實際上已經開始涉及微積分的最初概念。
笛卡爾引進坐標系後,代數與幾何的關係變得明朗, 且日益緊密起來。這就促使了解析幾何的產生。解析幾何是由笛卡爾、費馬分別獨立創建的。這又是一次具有里程碑意義的事件。從解析幾何的觀點出發,幾何圖形的性質可以歸結為方程的分析性質和代數性質。幾何圖形的分類問題(比如把圓錐曲線分為三類),也就轉化為方程的代數特徵分類的問題,即尋找代數不變數的問題。
立體幾何歸結為三維空間解析幾何的研究範疇,從而研究二次曲面(如球面,橢球面、錐面、雙曲面,鞍面)的幾何分類問題,就歸結為研究代數學中二次型的不變數問題。
總體上說,上述的幾何都是在歐氏空間的幾何結構--即平坦的空間結構--背景下考察,而沒有真正關注彎曲空間下的幾何結構。歐幾里得幾何公理本質上是描述平坦空間的幾何特性,特別是第五公設引起了人們對其正確性的疑慮。由此人們開始關注其彎曲空間的幾何, 即“非歐幾何”。非歐幾何中包括了最經典幾類幾何學課題, 比如“球面幾何”,“羅氏幾何”等等。另一方面,為了把無窮遠的那些虛無縹緲的點也引入到觀察範圍內, 人們開始考慮射影幾何。
這些早期的非歐幾何學總的來說,是研究非度量的性質,即和度量關係不大,而只關注幾何對象的位置問題--比如平行、相交等等。 這幾類幾何學所研究的空間背景都是彎曲的空間。
微分幾何
微分幾何為了引入彎曲空間的上的度量(長度、面積等等),我們就需要引進微積分的方法去局部分析空間彎曲的性質。微分幾何於是應運而生。研究曲線和曲面的微分幾何稱為古典微分幾何。但古典微分幾何討論的對象必須事先嵌入到歐氏空間裡,才定義各種幾何概念等等(比如切線、曲率)。一個幾何概念如果和幾何物體所處的空間位置無關,而只和其本身的性態相關,我們就說它是內蘊的。用物理的語言來說,就是幾何性質必須和參考系選取無關。
內蘊幾何
哪些幾何概念是內蘊性質的?這是當時最重要的理論問題。高斯發現了曲面的曲率(即反映彎曲程度的量)竟然是內蘊的---儘管它的原始定義看上去和所處的大空間位置有關。這個重要發現就稱為高斯絕妙定理。古典幾何的另一個重要發現就是高斯-博納特公式,它反映了曲率和彎曲空間裡的三角形三角之和的關係。
研究內蘊幾何的學科首屬黎曼幾何·黎曼在一次著名的演講中,創立了這門奠基性的理論。它首次強調了內蘊的思想, 並將所有此前的幾何學對象都歸納到更一般的範疇里,內蘊地定義了諸如度量等等的幾何概念。 這門幾何理論打開了近代幾何學的大門,具有里程碑的意義。它也成為了愛因斯坦的廣義相對論的數學基礎。
從黎曼幾何出發,微分幾何進入了新的時代,幾何對象擴展到了流形(一種彎曲的幾何物體)上--這一概念由龐加萊引入。由此發展出了諸如張量幾何、黎曼曲面理論、復幾何、霍奇理論、纖維叢理論、芬斯勒幾何、莫爾斯理論、形變理論等等。
從代數的角度看, 幾何學從傳統的解析幾何發展成了更一般的一門理論--代數幾何。傳統代數幾何就是研究多項式方程組的零點集合作為幾何物體所具有的幾何結構和性質--這種幾何體叫做代數簇。解析幾何所研究的直線、圓錐曲線、球面、錐面等等都是其中的特例。稍微推廣一些,就是代數曲線,特別是平面代數曲線, 它相應於黎曼曲面。代數幾何可以用交換代數的環和模的語言來描述,也可以從復幾何、霍奇理論等分析的方法去探討。代數幾何的思想也被引入到數論中, 從而促使了抽象代數幾何的發展,比如算術代數幾何。
拓撲學
拓撲學是和傳統幾何密切相關的一門重要學科,也可以視為一種“柔性”的幾何學, 也是所有幾何學的研究基礎。拓撲學研究始於歐拉,經由龐加萊等人的研究發展,逐漸成為比較成熟的數學分支和活躍的研究方向。拓撲學思想是數學思想中極為關鍵的內容。它討論了刻畫幾何物體最基本的一些特徵,比如虧格(洞眼個數)等等 。由此發展出了同調論、同倫論等等基礎性的理論。
其他學科
除了以上傳統幾何學之外,我們還有閔可夫斯基建立的“數的幾何”; 與近代物理學密切相關的新學科“熱帶幾何”;探討維數理論的“分形幾何”;還有“凸幾何”、“組合幾何”、“計算幾何”、“排列幾何”、“直觀幾何”等等。
幾何作圖
尺規作圖
公元前5世紀,雅典的“智者學派”以上述三大問題為中心,開展研究。正因為不能用尺規來解決,常常使人闖入新的領域中去。例如激發了圓錐曲線、割圓曲線以及三、四次代數曲線的發現。
17世紀解析幾何建立以後,尺規作圖的可能性才有了準則。1837年P.L.旺策爾給出三等分任意角和倍立方不可能用尺規作圖的證明,1882年C.L.F.von林德曼證明了π的超越性,化圓為方的不可能性也得以確立。1895年(C.)F.克萊因總結了前人的研究,著《幾何三大問題》(中譯本,1930)一書,給出三大問題不可能用尺規來作圖的簡明證法,徹底解決了兩千多年的懸案。
雖然如此,還是有許多人不管這些證明,想壓倒前人所有的工作。他們宣稱自己已解決了三大問題中的某一個,實際上他們並不了解所設的條件和不可解的道理。三大問題不能解決,關鍵在工具的限制,如果不限工具,那就根本不是什麼難題,而且早已解決。例如阿基米德就曾用巧妙的方法三等分任意角。下面為了敘述簡單,將原題稍加修改。在直尺邊緣上添加一點p,命尺端為O。設所要三等分的角是∠ACB,以C為心,Op為半徑作半圓交角邊於A、B;使O點在CA延線上移動,p點在圓周上移動,當尺通過B時,聯OpB(見圖)。由於Op=pC=CB,易知。
∠COB=1/3∠ACB
這裡使用的工具已不限於尺規,而且作圖方法也與公設不合。另外兩個問題也可以用別的工具解決。
三大問題
簡單立體幾何體素描古希臘幾何作圖的三大問題是:
①化圓為方,求作一正方形,使其面積等於一已知圓。
②三等分任意角;③倍立方,求作一立方體,使其體積是一已知立方體的兩倍。這些問題的難處,是作圖只許用直尺(沒有刻度,只能作直線的尺)和圓規。
經過兩千多年的探索,最後才證明在尺規的限制下,根本不可能作出所要求的圖形。
希臘人強調作圖只能用直尺、圓規,有下列原因。①希臘幾何的基本精神,是從極少的基本假定(定義、公理、公設)出發,推導出儘可能多的命題。對於作圖工具,自然也相應地限制到不能再少的程度。②受柏拉圖哲學思想的影響。柏拉圖片面強調數學在訓練智力方面的作用而忽視其實用價值。他主張通過幾何學習達到訓練邏輯思維的目的,因此工具要有所限制,正象體育競賽要有器械的限制一樣。③以畢達哥拉斯學派為代表的希臘人認為圓是最完美的平面圖形,圓和直線是幾何學最基本的研究對象。有了尺規,圓和直線已經能夠作出,因此就規定只使用這兩種工具。歷史上最早明確提出尺規限制的是伊諾皮迪斯,以後逐漸成為一種公約,最後總結在歐幾里得的《幾何原本》之中。
幾何原本
歐幾里得在公元前300年左右,曾經到亞歷山大城教學,是一位受人尊敬的、溫良敦厚的教育家。他酷愛數學,深知柏拉圖的一些幾何原理。他非常詳盡的蒐集了當時所能知道的一切幾何事實,按照柏拉圖和亞里士多德提出的關於邏輯推理的方法,整理成一門有著嚴密系統的理論,寫成了數學史上早期的巨著——《幾何原本》。
歷史意義
《幾何原本》的偉大歷史意義在於,它是用公理法建立起演繹的數學體系的最早典範。在這部著作里,全部幾何知識都是從最初的幾個假設除法、運用邏輯推理的方法展開和敘述的。也就是說,從《幾何原本》發表開始,幾何才真正成為了一個有著比較嚴密的理論系統和科學方法的學科。
幾何原本內容
歐幾里得的《幾何原本》共有十三卷,其中第一卷講三角形全等的條件,三角形邊和角的大小關係,平行線理論,三角形和多角形等積(面積相等)的條件;第二卷講如何把三角形變成等積的正方形;第三卷講圓;第四卷討論內接和外切多邊形;第六卷講相似多邊形理論;第五、第七、第八、第九、第十卷講述比例和算術得里論;最後講述立體幾何的內容。
從這些內容可以看出,目前屬於中學課程里的初等幾何的主要內容已經完全包含在《幾何原本》里了。因此長期以來,人們都認為《幾何原本》是兩千多年來傳播幾何知識的標準教科書。屬於《幾何原本》內容的幾何學,人們把它叫做歐幾里得幾何學,或簡稱為歐式幾何。
主要的特色
《幾何原本》最主要的特色是建立了比較嚴格的幾何體系,在這個體系中有四方面主要內容,定義、公理、公設、命題(包括作圖和定理)。《幾何原本》第一卷列有23個定義,5條公理,5條公設。(其中最後一條公設就是著名的平行公設,或者叫做第五公設。它引發了幾何史上最著名的長達兩千多年的關於“平行線理論”的討論,並最終誕生了非歐幾何。)
這些定義、公理、公設就是《幾何原本》全書的基礎。全書以這些定義、公理、公設為依據邏輯地展開他的各個部分的。比如後面出現的每一個定理都寫明什麼是已知、什麼是求證。都要根據前面的定義、公理、定理進行邏輯推理給予仔細證明。
幾何論證的方法
關於幾何論證的方法,歐幾里得提出了分析法、綜合法和歸謬法。所謂分析法就是先假設所要求的已經得到了,分析這時候成立的條件,由此達到證明的步驟;綜合法是從以前證明過的事實開始,逐步的導出要證明的事項;歸謬法是在保留命題的假設下,否定結論,從結論的反面出發,由此導出和已證明過的事實相矛盾或和已知條件相矛盾的結果,從而證實原來命題的結論是正確的,也稱作反證法。
歐幾里得《幾何原本》的誕生在幾何學發展的歷史中具有重要意義。它標誌著幾何學已成為一個有著比較嚴密的理論系統和科學方法的學科 。
幾何基礎
公理系統原則
人們對《幾何原本》中在邏輯結果方面存在的一些漏洞、破綻的發現,正是推動幾何學不斷向前發展的契機。最後德國數學家希爾伯特在總結前人工作的基礎上,在他1899年發表的《幾何基礎》一書中提出了一個比較完善的幾何學的公理體系。這個公理體系就被叫做希爾伯特公理體。
希爾伯特不僅提出了—個完善的幾何體系,並且還提出了建立一個公理系統的原則。就是在一個幾何公理系統中,採取哪些公理,應該包含多少條公理,應當考慮如下三個方面的問題:
第一,共存性(和諧性),就是在一個公理系統中,各條公理應該是不矛盾的,它們和諧而共存在同一系統中。
第二,獨立性,公理體系中的每條公理應該是各自獨立而互不依附的,沒有一條公理是可以從其它公理引伸出來的。
第三,完備性,公理體系中所包含的公理應該是足夠能證明本學科的任何新命題。
這種用公理系統來定義幾何學中的基本對象和它的關係的研究方法,成了數學中所謂的“公理化方法”,而把歐幾里得在《幾何原本》提出的體系叫做古典公理法。
意義
公理化的方法給幾何學的研究帶來了一個新穎的觀點,在公理法理論中,由於基本對象不予定義,因此就不必探究對象的直觀形象是什麼,只專門研究抽象的對象之間的關係、性質。從公理法的角度看,我們可以任意地用點、線、面代表具體的事物,只要這些具體事物之間滿足公理中的結合關係、順序關係、契約關係等,使這些關係滿足公理系統中所規定的要求,這就構成了幾何學。
因此,凡是符合公理系統的元素都能構成幾何學,每一個幾何學的直觀形象不止只有—個,而是可能有無窮多個,每一種直觀形象我們把它叫做幾何學的解釋,或者叫做某種幾何學的模型。平常我們所熟悉的幾何圖形,在研究幾何學的時候,並不是必須的,它不過是一種直觀形象而已。
就此,幾何學研究的對象更加廣泛了,幾何學的含義比歐幾里得時代更為抽象。這些,都對近代幾何學的發展帶來了深遠的影響。
著名定理
1.勾股定理(畢達哥拉斯定理)
2.射影定理(歐幾里德定理)
3.三角形的三條中線交於一點,並且,各中線被這個點分成2:1的兩部分。
4.四邊形兩邊中心的連線與兩條對角線中心的連線交於一點。
5.間隔的連線六邊形的邊的中心所作出的兩個三角形的重心是重合的。
6.三角形各邊的垂直平分線交於一點。
7.三角形的三條高線交於一點。
8.設三角形ABC的外心為O,垂心為H,從O向BC邊引垂線,設垂足為L,則AH=2OL
9.三角形的外心,垂心,重心在同一條直線(歐拉線)上。
10.(九點圓或歐拉圓或費爾巴赫圓)三角形中,三邊中心、從各頂點向其對邊所引垂線的垂足,以及垂心與各頂點連線的中點,這九個點在同一個圓上,
11.歐拉定理:三角形的外心、重心、九點圓圓心、垂心依次位於同一直線(歐拉線)上
12.庫立奇*大上定理:(圓內接四邊形的九點圓)
圓周上有四點,過其中任三點作三角形,這四個三角形的九點圓圓心都在同一圓周上,我們把過這四個九點圓圓心的圓叫做圓內接四邊形的九點圓。
13.(內心)三角形的三條內角平分線交於一點,內切圓的半徑公式:
幾何[數學的一門分科]s為三角形周長的一半
14.(旁心)三角形的一個內角平分線和另外兩個頂點處的外角平分線交於一點
15.中線定理:(巴布斯定理)設三角形ABC的邊BC的中點為P,則有
幾何[數學的一門分科]16.斯圖爾特定理:P將三角形ABC的邊BC內分成m:n,則有n×AB2+m×AC2=(m+n)AP2+mnm+nBC2
17.婆羅摩笈多定理:圓內接四邊形ABCD的對角線互相垂直時,連線AB中點M和對角線交點E的直線垂直於CD
18、阿波羅尼斯定理:到兩定點A、B的距離之比為定比m:n(值不為1)的點P,位於將線段AB分成m:n的內分點C和外分點D為直徑兩端點的定圓周上
19.托勒密定理:設四邊形ABCD內接於圓,則有
幾何[數學的一門分科]20.拿破崙定理:以任意三角形ABC的邊BC、CA、AB為底邊,分別向外作底角都是30度的等腰△BDC、△CEA、△AFB,則△DEF是正三角形,
21.愛爾可斯定理1:若△ABC和△DEF都是正三角形,則由線段AD、BE、CF的中心構成的三角形也是正三角形。
22.愛爾可斯定理2:若△ABC、△DEF、△GHI都是正三角形,則由三角形△ADG、△BEH、△CFI的重心構成的三角形是正三角形。
23.梅涅勞斯定理:設△ABC的三邊BC、CA、AB或其延長線和一條不經過它們任一頂點的直線的交點分別為P、Q、R則有
BPPC×CQQA×ARRB=1
24.梅涅勞斯定理的逆定理:(略)
25.梅涅勞斯定理的套用定理1:設△ABC的∠A的外角平分線交邊CA於Q、∠C的平分線交邊AB於R,、∠B的平分線交邊CA於Q,則P、Q、R三點共線。
26.梅涅勞斯定理的套用定理2:過任意△ABC的三個頂點A、B、C作它的外接圓的切線,分別和BC、CA、AB的延長線交於點P、Q、R,則P、Q、R三點共線
27.塞瓦定理:設△ABC的三個頂點A、B、C的不在三角形的邊或它們的延長線上的一點S連線面成的三條直線,分別與邊BC、CA、AB或它們的延長線交於點P、Q、R,則BPPC×CQQA×ARRB()=1.
28.塞瓦定理的套用定理:設平行於△ABC的邊BC的直線與兩邊AB、AC的交點分別是D、E,又設BE和CD交於S,則AS一定過邊BC的中心M
29.塞瓦定理的逆定理:(略)
30.塞瓦定理的逆定理的套用定理1:三角形的三條中線交於一點
31.塞瓦定理的逆定理的套用定理2:設△ABC的內切圓和邊BC、CA、AB分別相切於點R、S、T,則AR、BS、CT交於一點。
32.西摩松定理:從△ABC的外接圓上任意一點P向三邊BC、CA、AB或其延長線作垂線,設其垂足分別是D、E、R,則D、E、R共線,(這條直線叫西摩松線)
33.西摩松定理的逆定理:(略)
34.史坦納定理:設△ABC的垂心為H,其外接圓的任意點P,這時關於△ABC的點P的西摩松線通過線段PH的中心。
35.史坦納定理的套用定理:△ABC的外接圓上的一點P的關於邊BC、CA、AB的對稱點和△ABC的垂心H同在一條(與西摩松線平行的)直線上。這條直線被叫做點P關於△ABC的鏡象線。
36.波朗傑、騰下定理:設△ABC的外接圓上的三點為P、Q、R,則P、Q、R關於△ABC交於一點的充要條件是:弧AP+弧BQ+弧CR=0(mod2∏).
37.波朗傑、騰下定理推論1:設P、Q、R為△ABC的外接圓上的三點,若P、Q、R關於△ABC的西摩松線交於一點,則A、B、C三點關於△PQR的的西摩松線交於與前相同的一點
38.波朗傑、騰下定理推論2:在推論1中,三條西摩松線的交點是A、B、C、P、Q、R六點任取三點所作的三角形的垂心和其餘三點所作的三角形的垂心的連線段的中點。
39.波朗傑、騰下定理推論3:考查△ABC的外接圓上的一點P的關於△ABC的西摩松線,如設QR為垂直於這條西摩松線該外接原子筆的弦,則三點P、Q、R的關於△ABC的西摩松線交於一點
40.波朗傑、騰下定理推論4:從△ABC的頂點向邊BC、CA、AB引垂線,設垂足分別是D、E、F,且設邊BC、CA、AB的中點分別是L、M、N,則D、E、F、L、M、N六點在同一個圓上,這時L、M、N點關於關於△ABC的西摩松線交於一點。
41.關於西摩松線的定理1:△ABC的外接圓的兩個端點P、Q關於該三角形的西摩松線互相垂直,其交點在九點圓上。
42.關於西摩松線的定理2(安寧定理):在一個圓周上有4點,以其中任三點作三角形,再作其餘一點的關於該三角形的西摩松線,這些西摩松線交於一點。
43.卡諾定理:通過△ABC的外接圓的一點P,引與△ABC的三邊BC、CA、AB分別成同向的等角的直線PD、PE、PF,與三邊的交點分別是D、E、F,則D、E、F三點共線。
44.奧倍爾定理:通過△ABC的三個頂點引互相平行的三條直線,設它們與△ABC的外接圓的交點分別是L、M、N,在△ABC的外接圓取一點P,則PL、PM、PN與△ABC的三邊BC、CA、AB或其延長線的交點分別是D、E、F,則D、E、F三點共線
45.清宮定理:設P、Q為△ABC的外接圓的異於A、B、C的兩點,P點的關於三邊BC、CA、AB的對稱點分別是U、V、W,這時,QU、QV、QW和邊BC、CA、AB或其延長線的交點分別是D、E、F,則D、E、F三點共線
46.他拿定理:設P、Q為關於△ABC的外接圓的一對反點,點P的關於三邊BC、CA、AB的對稱點分別是U、V、W,這時,如果QU、QV、QW與邊BC、CA、AB或其延長線的交點分別為ED、E、F,則D、E、F三點共線。(反點:P、Q分別為圓O的半徑OC和其延長線的兩點,如果OC2=OQ×OP 則稱P、Q兩點關於圓O互為反點)
47.朗古來定理:在同一圓同上有A1B1C1D14點,以其中任三點作三角形,在圓周取一點P,作P點的關於這4個三角形的西摩松線,再從P向這4條西摩松線引垂線,則四個垂足在同一條直線上。
48.九點圓定理:三角形三邊的中點,三高的垂足和三個歐拉點[連結三角形各頂點與垂心所得三線段的中點]九點共圓[通常稱這個圓為九點圓[nine-point circle],或歐拉圓,費爾巴哈圓。
49.一個圓周上有n個點,從其中任意n-1個點的重心,向該圓周的在其餘一點處的切線所引的垂線都交於一點。
50.康托爾定理1:一個圓周上有n個點,從其中任意n-2個點的重心向餘下兩點的連線所引的垂線共點。
51、康托爾定理2:一個圓周上有A、B、C、D四點及M、N兩點,則M和N點關於四個三角形△BCD、△CDA、△DAB、△ABC中的每一個的兩條西摩松的交點在同一直線上。這條直線叫做M、N兩點關於四邊形ABCD的康托爾線。
52、康托爾定理3:一個圓周上有A、B、C、D四點及M、N、L三點,則M、N兩點的關於四邊形ABCD的康托爾線、L、N兩點的關於四邊形ABCD的康托爾線、M、L兩點的關於四邊形ABCD的康托爾線交於一點。這個點叫做M、N、L三點關於四邊形ABCD的康托爾點。
53、康托爾定理4:一個圓周上有A、B、C、D、E五點及M、N、L三點,則M、N、L三點關於四邊形BCDE、CDEA、DEAB、EABC中的每一個康托爾點在一條直線上。這條直線叫做M、N、L三點關於五邊形A、B、C、D、E的康托爾線。
54、費爾巴赫定理:三角形的九點圓與內切圓和旁切圓相切。
55、莫利定理:將三角形的三個內角三等分,靠近某邊的兩條三分角線相得到一個交點,則這樣的三個交點可以構成一個正三角形。這個三角形常被稱作莫利正三角形。
56、牛頓定理1:四邊形兩條對邊的延長線的交點所連線段的中點和兩條對角線的中點,三條共線。這條直線叫做這個四邊形的牛頓線。
57、牛頓定理2:圓外切四邊形的兩條對角線的中點,及該圓的圓心,三點共線。
58、笛沙格定理1:平面上有兩個三角形△ABC、△DEF,設它們的對應頂點(A和D、B和E、C和F)的連線交於一點,這時如果對應邊或其延長線相交,則這三個交點共線。
59、笛沙格定理2:相異平面上有兩個三角形△abc、△def,設它們的對應頂點(a和d、b和e、c和f)的連線交於一點,這時如果對應邊或其延長線相交,則這三個交點共線。
60、布利安松定理:連結外切於圓的六邊形ABCDEF相對的頂點A和D、B和E、C和F,則這三線共點。
61、巴斯加定理:圓內接六邊形ABCDEF相對的邊AB和DE、BC和EF、CD和FA的(或延長線的)交點共線。
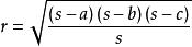
62.秦九韶——海倫公式:已知三角形三邊:a,b,c計算三角形面積S
S為根號下:p(p-a)(p-b)(p-c) p為該三角形周長的一半
63.帕斯卡定理:內接於一個非退化二階曲線的簡單六邊形的三對對邊的交點共線,這條直線稱為帕斯卡直線。
64.角平分線上的一點到角兩邊的距離相等
到角兩邊的距離相等的點在這個角的的平分線上
65.垂直平分線上的一點到他所在的線段的兩個端點的距離相等
到線段的兩個端點的距離相等的點在這個線段的垂直平分線上
66.直角三角形兩直角邊的平方和等於斜邊的平方.
67.在直角三角形中,兩個銳角互余.
68.在直角三角形中,斜邊上的中線等於斜邊的一半(即直角三角形的外 心位於斜邊的中點,外接圓半徑R=C/2)
69.直角三角形的兩直角邊的乘積等於斜邊與斜邊上高的乘積,即ab=ch.
70.直角三角形垂心位於直角頂點.
71.直角三角形的內切圓半徑等於兩直角邊之和減去斜邊的差的一半,即r=a+b-c/2
72.直角三角形中,斜邊上的高是兩條直角邊在斜邊上的射影比例中項.
73.直角三角形中,每一條直角邊是這條直角邊在斜邊上的射影和斜邊的 比例中項.由此,直角三角形兩條直角邊的平方比等於它們在斜邊上的射影比.
74.含30°的直角三角形三邊之比為1:√3:2
75.含45°角的直角三角形三邊之比為1:1:√2
相關名言
1.不懂 幾何者勿入。 ——柏拉圖
2. 幾何看來有時候要領先於分析,但事實上,幾何的先行於分析,只不過像一個僕人走在主人的前面一樣,是為主人開路的。——西爾維斯特
3.分形 幾何不僅展示了數學之美,也揭示了世界的本質,還改變了人們理解自然奧秘的方式;可以說分形 幾何是真正描述大自然的 幾何學,對它的研究也極大地拓展了人類的認知疆域。——周海中
4.笛卡兒的解析 幾何於牛頓的微積分已被擴張到羅巴切夫斯基、黎曼、高斯和塞爾維斯托的奇異的數學方法中。事實上,數學不僅是各門學科所必不可少的工具,而且它從不顧及直觀感覺的約束而自由地飛翔著。——尼古拉斯·默里·巴特勒
![幾何[數學的一門分科] 幾何[數學的一門分科]](/img/b/b06/nBnauM3XwMTMyETNwkDO0IDN0UTMyITNykTO0EDMwAjMwUzL5gzLxgzLt92YucmbvRWdo5Cd0FmLyE2LvoDc0RHa.jpg)
