定義
在伯努利試驗中,記每次試驗中事件A發生的機率為p,試驗進行到事件A出現時停止,此時所進行的試驗次數為X,其分布列為:
幾何分布此分布列是幾何數列的一般項,因此稱X服從幾何分布,記為X ~ GE(p) 。
實際中有不少隨機變數服從幾何分布,譬如,某產品的不合格率為0.05,則首次查到不合格品的檢查次數X ~ GE(0.05) 。
分類
它分兩種情況:
(1)為得到1次成功而進行n次伯努利試驗,n的機率分布,取值範圍為1,2,3,...;
這種情況的期望和方差如下:
幾何分布
幾何分布(2)m = n-1次失敗,第n次成功,m的機率分布,取值範圍為0,1,2,3,...。
這種情況的期望和方差如下:
幾何分布
幾何分布比如,假設不停地擲骰子,直到得到 1。投擲次數是隨機分布的,取值範圍是無窮集合{ 1, 2, 3, ... },並且是一個 p= 1/6的幾何分布。
參數p的幾何分布
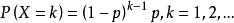
機率為p的事件A,以X記A首次發生所進行的試驗次數,則X的分布列:
幾何分布
幾何分布,
具有這種分布列的隨機變數X,稱為服從參數p的幾何分布,記為 X~ Geo( p)。
幾何分布
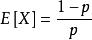
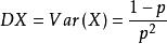
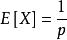
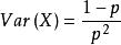
幾何分布幾何分布的期望 ,方差 。
幾何分布的推廣
推廣1
幾何分布現進行如下試驗,在伯努利試驗中,記每次試驗中事件A發生的機率為p,試驗進行到事件A和都出現後停止,此時所進行的試驗次數為X,則有:
幾何分布其中,q=1-p,k=2,3,...。
幾何分布
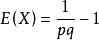
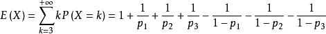
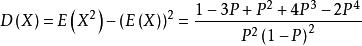
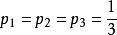
幾何分布因此,上式可以成為一個分布列,此分布列是兩個幾何數列一般項的和,在這裡稱X服從兩事件下推廣的幾何分布,記為X ~ PGE(2;p) ,數學期望為:。當P =時,E(X) 取最小值,此時E(X)= 3.
幾何分布由於,因此可以得到:
幾何分布推廣2
幾何分布
幾何分布
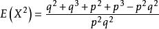
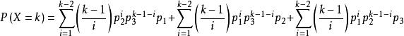
幾何分布現進行獨立重複試驗,每次試驗會有三個事件A、B、C中的其中一個發生,記每次試驗中事件A、B、C發生的機率分別為,且。試驗進行到事件A、B、C都發生後停止,此時所進行的試驗次數為X,則有:
幾何分布
幾何分布
幾何分布其中,k=3,4,...。因此上式也可以作為一個分布列,此分布列是六個幾何數列一般項的和與差,稱X服從三事件下推廣的幾何分布,記為X ~ PGE(3;)。數學期望為:
幾何分布
幾何分布容易驗證,當時,E(X)有最小值,此時E(X)=5.5 。

