定義
純虛數
純虛數形如的數叫作 複數,其中是複數的實部,b是複數的虛部,全體複數組成的集合叫作複數集,用字母 C表示。
純虛數
純虛數複數,當b=0時,就是實數;當b≠0時,叫作 虛數;當時.叫作 純虛數。
純虛數把複數表示成的形式,叫作複數的代數形式。
幾何意義
純虛數從複數相等的定義我們知道,任何一個複數都可以用一個有序實數對(a,b)唯一確定,這樣我們可以用建立了直角坐標系的平面來表示複數。
建立了直角坐標系來表示複數的平面叫作 複平面,x軸叫作實軸,y軸叫作虛軸,這樣,實軸上的點都表示實數,除了原點外, 虛軸上的點都表示純虛數。
純虛數
純虛數
純虛數複數與複平面內的點及向量是一一對應的,複數的模表示複數對應的點到原點的距離。
判別
實數、虛數、純虛數的判別方法
學習了純虛數的定義以後,通過這類題來鞏固對純虛數的理解,請看例題.
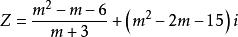
純虛數例題:m為何實數時,複數是實數?虛數?純虛數?
分析:要明確什麼是複數的實部與虛部?何時它們有意義?何時它們為零或非零?從而由實數、虛數、純虛數分別對實部與虛部的要求進行討論。
純虛數
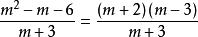
純虛數解:實部:。
純虛數虛部:。
純虛數
純虛數當時,Z是實數;
純虛數
純虛數當 且時,Z是虛數;
純虛數
純虛數當或時,Z是純虛數。
純虛數說明:當時,實部無意義,在討論過程中應排除掉。
小結:對這類題可歸納為如下題型。
欲判別複數
純虛數可化為解代數方程或不等式。
純虛數
純虛數在實部、虛部都有定義的前提下:
純虛數實數(對應點在實軸上);;
純虛數虛數(對應點不在實軸上):;
純虛數
純虛數純虛數(對應點在虛軸上):且;
純虛數對應點在原點:解方程組
純虛數對應點在實軸上方:解不等式
純虛數對應點在虛軸左側:解不等式;
純虛數對應點在複平面的第一象限內:解不等式組
純虛數
純虛數其他情況類推.但應注意所討論的範圍必須在、的定義域內。

